第104页
- 第1页
- 第2页
- 第3页
- 第4页
- 第5页
- 第6页
- 第7页
- 第8页
- 第9页
- 第10页
- 第11页
- 第12页
- 第13页
- 第14页
- 第15页
- 第16页
- 第17页
- 第18页
- 第19页
- 第20页
- 第21页
- 第22页
- 第23页
- 第24页
- 第25页
- 第26页
- 第27页
- 第28页
- 第29页
- 第30页
- 第31页
- 第32页
- 第33页
- 第34页
- 第35页
- 第36页
- 第37页
- 第38页
- 第39页
- 第40页
- 第41页
- 第42页
- 第43页
- 第44页
- 第45页
- 第46页
- 第47页
- 第48页
- 第49页
- 第50页
- 第51页
- 第52页
- 第53页
- 第54页
- 第55页
- 第56页
- 第57页
- 第58页
- 第59页
- 第60页
- 第61页
- 第62页
- 第63页
- 第64页
- 第65页
- 第66页
- 第67页
- 第68页
- 第69页
- 第70页
- 第71页
- 第72页
- 第73页
- 第74页
- 第75页
- 第76页
- 第77页
- 第78页
- 第79页
- 第80页
- 第81页
- 第82页
- 第83页
- 第84页
- 第85页
- 第86页
- 第87页
- 第88页
- 第89页
- 第90页
- 第91页
- 第92页
- 第93页
- 第94页
- 第95页
- 第96页
- 第97页
- 第98页
- 第99页
- 第100页
- 第101页
- 第102页
- 第103页
- 第104页
- 第105页
- 第106页
9. 已知点$P(m,n)$在直线$y = -2x + 1$上,且$2m - 3n\leq0$,则下列不等关系一定成立的是 ( )
A. $\frac{m}{n}\leq\frac{3}{2}$
B. $\frac{m}{n}\leq\frac{2}{3}$
C. $\frac{n}{m}\leq\frac{3}{2}$
D. $\frac{n}{m}\leq\frac{2}{3}$
A. $\frac{m}{n}\leq\frac{3}{2}$
B. $\frac{m}{n}\leq\frac{2}{3}$
C. $\frac{n}{m}\leq\frac{3}{2}$
D. $\frac{n}{m}\leq\frac{2}{3}$
答案:
D
10. 如图,函数$y = kx + b(k\neq0)$的图象经过点$B(2,0)$,与函数$y = 2x$的图象交于点$A$,点$A$的纵坐标为$2$,则不等式$0 < kx + b < 2x$的解集为 ( )

A. $x > 2$
B. $x < 2$
C. $0 < x < 2$
D. $1 < x < 2$
A. $x > 2$
B. $x < 2$
C. $0 < x < 2$
D. $1 < x < 2$
答案:
D
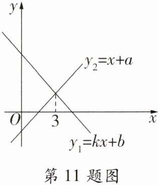
11. 一次函数$y_1 = kx + b$与$y_2 = x + a$的图象如图,甲、乙两位同学给出的下列结论:
甲说:方程$kx + b = x + a$的解是$x = 3$;
乙说:当$x < 3$时,$y_1 < y_2$.
下列说法正确的是 ( )

A. 甲正确,乙错误
B. 乙正确,甲错误
C. 甲乙都正确
D. 甲乙都错误
甲说:方程$kx + b = x + a$的解是$x = 3$;
乙说:当$x < 3$时,$y_1 < y_2$.
下列说法正确的是 ( )
A. 甲正确,乙错误
B. 乙正确,甲错误
C. 甲乙都正确
D. 甲乙都错误
答案:
A
12. 如图,已知函数$y = -2x + m(m$为常数$)$和$y = nx - 2(n$为常数且$n\neq0)$的图象交于点$P(2,a)$,则关于$x$的不等式$-2x + m < nx - 2$的解集是________.

答案:
x>2
13. 已知一次函数$y = mx + n(m\neq0,m,n$为常数$)$,$x$与$y$的对应值如下表:

那么,不等式$mx + n < 0$的解集是________.
那么,不等式$mx + n < 0$的解集是________.
答案:
x<−1
14. 若一次函数$y = kx + b(k < 0)$的图象经过点$A(3,1)$,则不等式$kx + b < \frac{1}{3}x$的解集为________.
答案:
x>3
15. 易错点 忽视一次函数与不等式的关系 一次函数$y_1 = kx + b(b > 5)$与$y_2 = mx - m$交于点$A(3,2)$,有下列结论:
①关于$x$的方程$kx + b = mx - m$的解为$x = 3$;
②关于$x$的不等式组$kx + b > mx - m\geq0$的解集为$1\leq x < 3$;
③$k < -1$;
④若$|y_1 - y_2| = b + 1$,则$x = 0$或$-6$.
其中正确的结论是__________.(填序号)
①关于$x$的方程$kx + b = mx - m$的解为$x = 3$;
②关于$x$的不等式组$kx + b > mx - m\geq0$的解集为$1\leq x < 3$;
③$k < -1$;
④若$|y_1 - y_2| = b + 1$,则$x = 0$或$-6$.
其中正确的结论是__________.(填序号)
答案:
①②③
16. 一次函数$y_1 = kx + b(k\neq0)$和$y_2 = -4x + a$的图象如图所示,且$A(0,4),C(-2,0)$.
(1) 由图可知,不等式$kx + b > 0$的解集是__________;
(2) 若不等式$kx + b > -4x + a$的解集是$x > 1$.
①求点$B$的坐标;
②求$a$的值.

(1) 由图可知,不等式$kx + b > 0$的解集是__________;
(2) 若不等式$kx + b > -4x + a$的解集是$x > 1$.
①求点$B$的坐标;
②求$a$的值.
答案:
解:
(1)x>−2.
(2)①:.A(0,4),C(−2,0)在一次函数y=kx+b的图象上,
∴{b−=24k,+b=0,解得{kb==42.,
∴一次函数y1=2x+4.
∵不等式kx+b>−4x+a的解集是x>1,
∴点B的横坐标是x=1.
点B的横坐标是x=1.当x=1时,y=2×1+4=6,
∴点B的坐标为(1,6).
②
∵点B(1,6)在一次函数y=
−4x+α的图象上,
∴6=−4×1+a,解得α=10.
(1)x>−2.
(2)①:.A(0,4),C(−2,0)在一次函数y=kx+b的图象上,
∴{b−=24k,+b=0,解得{kb==42.,
∴一次函数y1=2x+4.
∵不等式kx+b>−4x+a的解集是x>1,
∴点B的横坐标是x=1.
点B的横坐标是x=1.当x=1时,y=2×1+4=6,
∴点B的坐标为(1,6).
②
∵点B(1,6)在一次函数y=
−4x+α的图象上,
∴6=−4×1+a,解得α=10.
查看更多完整答案,请扫码查看