2025年考出好成绩八年级数学上册青岛版山东专版
注:目前有些书本章节名称可能整理的还不是很完善,但都是按照顺序排列的,请同学们按照顺序仔细查找。练习册 2025年考出好成绩八年级数学上册青岛版山东专版 答案主要是用来给同学们做完题方便对答案用的,请勿直接抄袭。
第74页
- 第1页
- 第2页
- 第3页
- 第4页
- 第5页
- 第6页
- 第7页
- 第8页
- 第9页
- 第10页
- 第11页
- 第12页
- 第13页
- 第14页
- 第15页
- 第16页
- 第17页
- 第18页
- 第19页
- 第20页
- 第21页
- 第22页
- 第23页
- 第24页
- 第25页
- 第26页
- 第27页
- 第28页
- 第29页
- 第30页
- 第31页
- 第32页
- 第33页
- 第34页
- 第35页
- 第36页
- 第37页
- 第38页
- 第39页
- 第40页
- 第41页
- 第42页
- 第43页
- 第44页
- 第45页
- 第46页
- 第47页
- 第48页
- 第49页
- 第50页
- 第51页
- 第52页
- 第53页
- 第54页
- 第55页
- 第56页
- 第57页
- 第58页
- 第59页
- 第60页
- 第61页
- 第62页
- 第63页
- 第64页
- 第65页
- 第66页
- 第67页
- 第68页
- 第69页
- 第70页
- 第71页
- 第72页
- 第73页
- 第74页
- 第75页
- 第76页
- 第77页
- 第78页
- 第79页
- 第80页
- 第81页
- 第82页
- 第83页
- 第84页
- 第85页
- 第86页
- 第87页
- 第88页
- 第89页
- 第90页
- 第91页
- 第92页
- 第93页
- 第94页
- 第95页
- 第96页
- 第97页
- 第98页
- 第99页
- 第100页
- 第101页
- 第102页
- 第103页
- 第104页
- 第105页
- 第106页
- 第107页
- 第108页
- 第109页
- 第110页
- 第111页
- 第112页
- 第113页
- 第114页
- 第115页
- 第116页
- 第117页
- 第118页
- 第119页
1. 在$\triangle ABC$中,其两个内角如下,则能判定$\triangle ABC$为等腰三角形的是(
A.$\angle A = 40^{\circ}$,$\angle B = 50^{\circ}$
B.$\angle A = 40^{\circ}$,$\angle B = 60^{\circ}$
C.$\angle A = 40^{\circ}$,$\angle B = 70^{\circ}$
D.$\angle A = 40^{\circ}$,$\angle B = 80^{\circ}$
C
)A.$\angle A = 40^{\circ}$,$\angle B = 50^{\circ}$
B.$\angle A = 40^{\circ}$,$\angle B = 60^{\circ}$
C.$\angle A = 40^{\circ}$,$\angle B = 70^{\circ}$
D.$\angle A = 40^{\circ}$,$\angle B = 80^{\circ}$
答案:
C
2. (教材P114练习T1改编)如图,$\angle B = \angle C = 36^{\circ}$,$\angle ADE = \angle AED = 72^{\circ}$,则图中的等腰三角形的个数为(

A.3个
B.4个
C.5个
D.6个
D
)A.3个
B.4个
C.5个
D.6个
答案:
D
3. 如图,已知$\angle DAB = \angle CBA$,$AD = BC$,$AC与BD交于点O$。求证:$\triangle OAB$是等腰三角形。

答案:
证明:在△ADB和△BCA中,$\left\{\begin{array}{l} AD=BC,\\ ∠DAB=∠CBA,\\ AB=BA,\end{array}\right. $$\therefore △ADB\cong △BCA(SAS),$$\therefore ∠DBA=∠CAB$,即$∠OBA=∠OAB,$$\therefore △OAB$为等腰三角形.
4. 如图,$\triangle ABC$中,$\angle A = 36^{\circ}$,$AB = AC$,$BD平分\angle ABC$,下列结论错误的是(

A.$\angle C = 2\angle A$
B.$BD = BC$
C.$\triangle ABD$是等腰三角形
D.点$D为线段AC$的中点
D
)A.$\angle C = 2\angle A$
B.$BD = BC$
C.$\triangle ABD$是等腰三角形
D.点$D为线段AC$的中点
答案:
D
5. 如图,在$\triangle ABC$中,$AB = BC$,$AB = 12\ cm$,$F是AB$边上一点,过点$F作FE // BC交AC于点E$,过点$E作ED // AB交BC于点D$。则四边形$BDEF$的周长是

24
cm。
答案:
24
6. 如图,$\angle ACB = 90^{\circ}$,$AC = AD$,$DE \perp AB$。求证:$CE = DE$。

答案:
证明:$\because DE⊥AB,\therefore ∠ADE=90^{\circ }.$ $\because ∠ACB=90^{\circ },\therefore ∠ADE=∠ACB.$ 第4章 图形的轴对称 $\because AC=AD,\therefore ∠ACD=∠ADC,$ $\therefore ∠ACB-∠ACD=∠ADE-∠ADC,$ 即$∠ECD=∠EDC,\therefore CE=DE.$
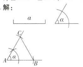
7. 作图题. (要求:用尺规作图,保留作图痕迹,不写作法和证明)
已知:线段$a和\angle \alpha$ (如图)。
求作:$\triangle ABC$,使$AB = AC = a$,$\angle A = \angle \alpha$。

已知:线段$a和\angle \alpha$ (如图)。
求作:$\triangle ABC$,使$AB = AC = a$,$\angle A = \angle \alpha$。
答案:
查看更多完整答案,请扫码查看