2025年考出好成绩八年级数学上册青岛版山东专版
注:目前有些书本章节名称可能整理的还不是很完善,但都是按照顺序排列的,请同学们按照顺序仔细查找。练习册 2025年考出好成绩八年级数学上册青岛版山东专版 答案主要是用来给同学们做完题方便对答案用的,请勿直接抄袭。
第43页
- 第1页
- 第2页
- 第3页
- 第4页
- 第5页
- 第6页
- 第7页
- 第8页
- 第9页
- 第10页
- 第11页
- 第12页
- 第13页
- 第14页
- 第15页
- 第16页
- 第17页
- 第18页
- 第19页
- 第20页
- 第21页
- 第22页
- 第23页
- 第24页
- 第25页
- 第26页
- 第27页
- 第28页
- 第29页
- 第30页
- 第31页
- 第32页
- 第33页
- 第34页
- 第35页
- 第36页
- 第37页
- 第38页
- 第39页
- 第40页
- 第41页
- 第42页
- 第43页
- 第44页
- 第45页
- 第46页
- 第47页
- 第48页
- 第49页
- 第50页
- 第51页
- 第52页
- 第53页
- 第54页
- 第55页
- 第56页
- 第57页
- 第58页
- 第59页
- 第60页
- 第61页
- 第62页
- 第63页
- 第64页
- 第65页
- 第66页
- 第67页
- 第68页
- 第69页
- 第70页
- 第71页
- 第72页
- 第73页
- 第74页
- 第75页
- 第76页
- 第77页
- 第78页
- 第79页
- 第80页
- 第81页
- 第82页
- 第83页
- 第84页
- 第85页
- 第86页
- 第87页
- 第88页
- 第89页
- 第90页
- 第91页
- 第92页
- 第93页
- 第94页
- 第95页
- 第96页
- 第97页
- 第98页
- 第99页
- 第100页
- 第101页
- 第102页
- 第103页
- 第104页
- 第105页
- 第106页
- 第107页
- 第108页
- 第109页
- 第110页
- 第111页
- 第112页
- 第113页
- 第114页
- 第115页
- 第116页
- 第117页
- 第118页
- 第119页
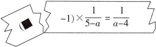
10. 小明在纸上书写了一个正确的演算过程,同桌小亮一不小心撕坏了一角,如图所示,则撕坏的一角中“■”为 (

A.$ \frac{1}{a - 4} $
B.$ \frac{4}{a + 1} $
C.$ \frac{1}{4 - a} $
D.$ - \frac{1}{a + 1} $
A
)A.$ \frac{1}{a - 4} $
B.$ \frac{4}{a + 1} $
C.$ \frac{1}{4 - a} $
D.$ - \frac{1}{a + 1} $
答案:
A
11. 已知 $ x^{2} + 4x + 4 $ 与 $ |y - 2023| $ 互为相反数,则 $ (\frac{x}{y} - \frac{y}{x}) ÷ (x + y) $ 的值为
$\frac{2025}{4046}$
。
答案:
$\frac{2025}{4046}$
12. (2025 烟台中考)先化简,再求值:$ (2 + m + \frac{4}{m - 2}) ÷ \frac{m}{3m - 6} $,其中 $ m = (-1)^{2025} $。
答案:
解:原式=$\frac{m^2}{m-2}÷ \frac{m}{3(m-2)}$
$=\frac{m^2}{m-2}\cdot \frac{3(m-2)}{m}$
$=3m$.
$\because m=(-1)^{2025}=-1$,
$\therefore$原式=$3× (-1)=-3$.
$=\frac{m^2}{m-2}\cdot \frac{3(m-2)}{m}$
$=3m$.
$\because m=(-1)^{2025}=-1$,
$\therefore$原式=$3× (-1)=-3$.
13. 先化简,再求值:$ (1 + \frac{1}{x - 2}) ÷ \frac{x^{2} - 2x + 1}{x^{2} - 4} $,其中 $ 0 \leq x \leq 2 $,选一个合适的整数 $ x $ 代入求值。
答案:
解:原式=$(\frac{x-2}{x-2}+\frac{1}{x-2})\cdot \frac{(x+2)(x-2)}{(x-1)^2}$
$=\frac{x-1}{x-2}\cdot \frac{(x+2)(x-2)}{(x-1)^2}$
$=\frac{x+2}{x-1}$.
$\because 0\leqslant x\leqslant 2$,且$x\neq 1$,$x\neq 2$,
$\therefore$整数$x=0$.
当$x=0$时,原式=$\frac{0+2}{0-1}=-2$.
$=\frac{x-1}{x-2}\cdot \frac{(x+2)(x-2)}{(x-1)^2}$
$=\frac{x+2}{x-1}$.
$\because 0\leqslant x\leqslant 2$,且$x\neq 1$,$x\neq 2$,
$\therefore$整数$x=0$.
当$x=0$时,原式=$\frac{0+2}{0-1}=-2$.
14. 材料阅读 阅读下列材料:
小铭和小雨在学习过程中有如下一段对话:
小铭:“我知道一般当 $ m \neq n $ 时,$ m^{2} + n \neq m + n^{2} $。可是我见到有这样一个神奇的等式:$ (\frac{a}{b})^{2} + \frac{b - a}{b} = \frac{a}{b} + (\frac{b - a}{b})^{2} $(其中 $ a, b $ 为任意实数,且 $ b \neq 0 $)。你相信它成立吗?”
小雨:“我可以先给 $ a, b $ 取几组特殊值验证一下看看。”
完成下列任务:
(1)请选择两组合适的 $ a, b $ 的值,分别代入材料中的等式,写出代入后得到的具体等式并验证它们是否成立。
① 当 $ a = $
② 当 $ a = $
(2)对于任意实数 $ a, b(b \neq 0) $,通过计算说明 $ (\frac{a}{b})^{2} + \frac{b - a}{b} = \frac{a}{b} + (\frac{b - a}{b})^{2} $ 是否成立。
解:
(1)①2;3;$(\frac{2}{3})^2+\frac{1}{3}=\frac{2}{3}+(\frac{1}{3})^2$;成立.
②3;5;$(\frac{3}{5})^2+\frac{2}{5}=\frac{3}{5}+(\frac{2}{5})^2$;成立.
(2)$\because$左边=$(\frac{a}{b})^2+\frac{b-a}{b}=\frac{a^2+b(b-a)}{b^2}=\frac{a^2-ab+b^2}{b^2}$,
右边=$\frac{a}{b}+(\frac{b-a}{b})^2=\frac{ab}{b^2}+\frac{a^2-2ab+b^2}{b^2}=\frac{a^2-ab+b^2}{b^2}$,
$\therefore$左边=右边,
$\therefore$对于任意实数$a$,$b(b\neq 0)$,等式$(\frac{a}{b})^2+\frac{b-a}{b}=\frac{a}{b}+(\frac{b-a}{b})^2$成立.
小铭和小雨在学习过程中有如下一段对话:
小铭:“我知道一般当 $ m \neq n $ 时,$ m^{2} + n \neq m + n^{2} $。可是我见到有这样一个神奇的等式:$ (\frac{a}{b})^{2} + \frac{b - a}{b} = \frac{a}{b} + (\frac{b - a}{b})^{2} $(其中 $ a, b $ 为任意实数,且 $ b \neq 0 $)。你相信它成立吗?”
小雨:“我可以先给 $ a, b $ 取几组特殊值验证一下看看。”
完成下列任务:
(1)请选择两组合适的 $ a, b $ 的值,分别代入材料中的等式,写出代入后得到的具体等式并验证它们是否成立。
① 当 $ a = $
2
,$ b = $3
时,等式为$(\frac{2}{3})^2+\frac{1}{3}=\frac{2}{3}+(\frac{1}{3})^2$
,成立
(填“成立”或“不成立”);② 当 $ a = $
3
,$ b = $5
时,等式为$(\frac{3}{5})^2+\frac{2}{5}=\frac{3}{5}+(\frac{2}{5})^2$
,成立
(填“成立”或“不成立”)。(2)对于任意实数 $ a, b(b \neq 0) $,通过计算说明 $ (\frac{a}{b})^{2} + \frac{b - a}{b} = \frac{a}{b} + (\frac{b - a}{b})^{2} $ 是否成立。
解:
(1)①2;3;$(\frac{2}{3})^2+\frac{1}{3}=\frac{2}{3}+(\frac{1}{3})^2$;成立.
②3;5;$(\frac{3}{5})^2+\frac{2}{5}=\frac{3}{5}+(\frac{2}{5})^2$;成立.
(2)$\because$左边=$(\frac{a}{b})^2+\frac{b-a}{b}=\frac{a^2+b(b-a)}{b^2}=\frac{a^2-ab+b^2}{b^2}$,
右边=$\frac{a}{b}+(\frac{b-a}{b})^2=\frac{ab}{b^2}+\frac{a^2-2ab+b^2}{b^2}=\frac{a^2-ab+b^2}{b^2}$,
$\therefore$左边=右边,
$\therefore$对于任意实数$a$,$b(b\neq 0)$,等式$(\frac{a}{b})^2+\frac{b-a}{b}=\frac{a}{b}+(\frac{b-a}{b})^2$成立.
答案:
解:
(1)①2;3;$(\frac{2}{3})^2+\frac{1}{3}=\frac{2}{3}+(\frac{1}{3})^2$;成立.
②3;5;$(\frac{3}{5})^2+\frac{2}{5}=\frac{3}{5}+(\frac{2}{5})^2$;成立.
(2)$\because$左边=$(\frac{a}{b})^2+\frac{b-a}{b}=\frac{a^2+b(b-a)}{b^2}=\frac{a^2-ab+b^2}{b^2}$,
右边=$\frac{a}{b}+(\frac{b-a}{b})^2=\frac{ab}{b^2}+\frac{a^2-2ab+b^2}{b^2}=\frac{a^2-ab+b^2}{b^2}$,
$\therefore$左边=右边,
$\therefore$对于任意实数$a$,$b(b\neq 0)$,等式$(\frac{a}{b})^2+\frac{b-a}{b}=\frac{a}{b}+(\frac{b-a}{b})^2$成立.
(1)①2;3;$(\frac{2}{3})^2+\frac{1}{3}=\frac{2}{3}+(\frac{1}{3})^2$;成立.
②3;5;$(\frac{3}{5})^2+\frac{2}{5}=\frac{3}{5}+(\frac{2}{5})^2$;成立.
(2)$\because$左边=$(\frac{a}{b})^2+\frac{b-a}{b}=\frac{a^2+b(b-a)}{b^2}=\frac{a^2-ab+b^2}{b^2}$,
右边=$\frac{a}{b}+(\frac{b-a}{b})^2=\frac{ab}{b^2}+\frac{a^2-2ab+b^2}{b^2}=\frac{a^2-ab+b^2}{b^2}$,
$\therefore$左边=右边,
$\therefore$对于任意实数$a$,$b(b\neq 0)$,等式$(\frac{a}{b})^2+\frac{b-a}{b}=\frac{a}{b}+(\frac{b-a}{b})^2$成立.
查看更多完整答案,请扫码查看