2025年考出好成绩八年级数学上册青岛版山东专版
注:目前有些书本章节名称可能整理的还不是很完善,但都是按照顺序排列的,请同学们按照顺序仔细查找。练习册 2025年考出好成绩八年级数学上册青岛版山东专版 答案主要是用来给同学们做完题方便对答案用的,请勿直接抄袭。
第36页
- 第1页
- 第2页
- 第3页
- 第4页
- 第5页
- 第6页
- 第7页
- 第8页
- 第9页
- 第10页
- 第11页
- 第12页
- 第13页
- 第14页
- 第15页
- 第16页
- 第17页
- 第18页
- 第19页
- 第20页
- 第21页
- 第22页
- 第23页
- 第24页
- 第25页
- 第26页
- 第27页
- 第28页
- 第29页
- 第30页
- 第31页
- 第32页
- 第33页
- 第34页
- 第35页
- 第36页
- 第37页
- 第38页
- 第39页
- 第40页
- 第41页
- 第42页
- 第43页
- 第44页
- 第45页
- 第46页
- 第47页
- 第48页
- 第49页
- 第50页
- 第51页
- 第52页
- 第53页
- 第54页
- 第55页
- 第56页
- 第57页
- 第58页
- 第59页
- 第60页
- 第61页
- 第62页
- 第63页
- 第64页
- 第65页
- 第66页
- 第67页
- 第68页
- 第69页
- 第70页
- 第71页
- 第72页
- 第73页
- 第74页
- 第75页
- 第76页
- 第77页
- 第78页
- 第79页
- 第80页
- 第81页
- 第82页
- 第83页
- 第84页
- 第85页
- 第86页
- 第87页
- 第88页
- 第89页
- 第90页
- 第91页
- 第92页
- 第93页
- 第94页
- 第95页
- 第96页
- 第97页
- 第98页
- 第99页
- 第100页
- 第101页
- 第102页
- 第103页
- 第104页
- 第105页
- 第106页
- 第107页
- 第108页
- 第109页
- 第110页
- 第111页
- 第112页
- 第113页
- 第114页
- 第115页
- 第116页
- 第117页
- 第118页
- 第119页
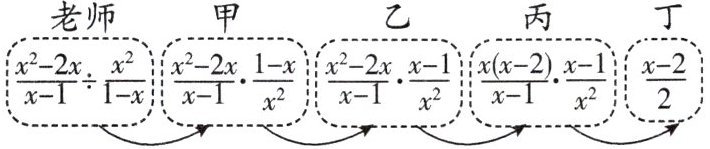
13. 老师设计了接力游戏,用合作的方式完成分式化简,规则是:每人只能看到前一人给的式子,并进行一步计算,再将结果传递给下一人,最后完成化简。过程如图所示:

接力中,自己负责的一步出现错误的是(
A.只有乙
B.甲和丁
C.乙和丙
D.乙和丁
接力中,自己负责的一步出现错误的是(
D
)A.只有乙
B.甲和丁
C.乙和丙
D.乙和丁
答案:
D
14. 计算:
(1) $(-\frac{a}{b})^{2} ÷ \frac{3ac}{4b} \cdot \frac{2b^{2}}{3a}$;
(2) $\frac{x + 3}{x - 2} ÷ (x - 3) \cdot \frac{x^{2} - 4}{x^{2} - 9}$;
(3) $\frac{(x + 5)^{2}}{3x} ÷ (x + 5) \cdot \frac{6x}{x + 5}$;
(4) $(xy - x^{2}) ÷ \frac{x^{2} - 2xy + y^{2}}{xy} \cdot \frac{x - y}{x^{2}}$。
(1) $(-\frac{a}{b})^{2} ÷ \frac{3ac}{4b} \cdot \frac{2b^{2}}{3a}$;
(2) $\frac{x + 3}{x - 2} ÷ (x - 3) \cdot \frac{x^{2} - 4}{x^{2} - 9}$;
(3) $\frac{(x + 5)^{2}}{3x} ÷ (x + 5) \cdot \frac{6x}{x + 5}$;
(4) $(xy - x^{2}) ÷ \frac{x^{2} - 2xy + y^{2}}{xy} \cdot \frac{x - y}{x^{2}}$。
答案:
解:
(1)原式$=\frac {a^{2}}{b^{2}}\cdot \frac {4b}{3ac}\cdot \frac {2b^{2}}{3a}=\frac {8b}{9c}.$
(2)原式$=\frac {x+3}{x-2}\cdot \frac {1}{x-3}\cdot \frac {(x+2)(x-2)}{(x+3)(x-3)}=\frac {x+2}{(x-3)^{2}}.$
(3)原式$=\frac {(x+5)^{2}}{3x}\cdot \frac {1}{x+5}\cdot \frac {6x}{x+5}=2.$
(4)原式$=x(y-x)\cdot \frac {xy}{(x-y)^{2}}\cdot \frac {x-y}{x^{2}}=-y.$
(1)原式$=\frac {a^{2}}{b^{2}}\cdot \frac {4b}{3ac}\cdot \frac {2b^{2}}{3a}=\frac {8b}{9c}.$
(2)原式$=\frac {x+3}{x-2}\cdot \frac {1}{x-3}\cdot \frac {(x+2)(x-2)}{(x+3)(x-3)}=\frac {x+2}{(x-3)^{2}}.$
(3)原式$=\frac {(x+5)^{2}}{3x}\cdot \frac {1}{x+5}\cdot \frac {6x}{x+5}=2.$
(4)原式$=x(y-x)\cdot \frac {xy}{(x-y)^{2}}\cdot \frac {x-y}{x^{2}}=-y.$
15. 水果超市运来凤梨和西瓜两种水果,已知凤梨重$(m - 2)^{2}$kg,西瓜重$(m^{2} - 4)$kg,其中$m > 2$,售完后,两种水果都卖了540元。
(1) 请用含$m$的代数式分别表示这两种水果的单价;
(2) 凤梨的单价是西瓜单价的多少倍?
(1) 请用含$m$的代数式分别表示这两种水果的单价;
(2) 凤梨的单价是西瓜单价的多少倍?
答案:
解:
(1)凤梨的单价为$\frac {540}{(m-2)^{2}}$元,西瓜的单价为$\frac {540}{m^{2}-4}$元.
(2)根据题意,得$\frac {540}{(m-2)^{2}}÷\frac {540}{m^{2}-4}=\frac {540}{(m-2)^{2}}\cdot \frac {(m+2)(m-2)}{540}=\frac {m+2}{m-2},$
∴凤梨的单价是西瓜单价的$\frac {m+2}{m-2}$倍.
(1)凤梨的单价为$\frac {540}{(m-2)^{2}}$元,西瓜的单价为$\frac {540}{m^{2}-4}$元.
(2)根据题意,得$\frac {540}{(m-2)^{2}}÷\frac {540}{m^{2}-4}=\frac {540}{(m-2)^{2}}\cdot \frac {(m+2)(m-2)}{540}=\frac {m+2}{m-2},$
∴凤梨的单价是西瓜单价的$\frac {m+2}{m-2}$倍.
16. 在学习了分式的乘除法之后,老师给出了这样一道题,计算:$(a + \frac{1}{a})(a^{2} + \frac{1}{a^{2}})(a^{4} + \frac{1}{a^{4}})(a^{8} + \frac{1}{a^{8}})(a^{2} - 1)$,同学们都感到无从下手,小明将$a^{2} - 1变形为a(a - \frac{1}{a})$,然后用平方差公式很轻松地得出结论。你知道他是怎么做的吗?
答案:
解:原式$=a(a-\frac {1}{a})(a+\frac {1}{a})(a^{2}+\frac {1}{a^{2}})(a^{4}+\frac {1}{a^{4}})(a^{8}+\frac {1}{a^{8}})=a(a^{2}-\frac {1}{a^{2}})(a^{2}+\frac {1}{a^{2}})(a^{4}+\frac {1}{a^{4}})(a^{8}+\frac {1}{a^{8}})=a(a^{4}-\frac {1}{a^{4}})(a^{4}+\frac {1}{a^{4}})(a^{8}+\frac {1}{a^{8}})=a(a^{8}-\frac {1}{a^{8}})(a^{8}+\frac {1}{a^{8}})=a(a^{16}-\frac {1}{a^{16}})=a^{17}-\frac {1}{a^{15}}.$
查看更多完整答案,请扫码查看