2025年金版新学案高中数学必修1人教版
注:目前有些书本章节名称可能整理的还不是很完善,但都是按照顺序排列的,请同学们按照顺序仔细查找。练习册 2025年金版新学案高中数学必修1人教版 答案主要是用来给同学们做完题方便对答案用的,请勿直接抄袭。
第69页
- 第1页
- 第2页
- 第3页
- 第4页
- 第5页
- 第6页
- 第7页
- 第8页
- 第9页
- 第10页
- 第11页
- 第12页
- 第13页
- 第14页
- 第15页
- 第16页
- 第17页
- 第18页
- 第19页
- 第20页
- 第21页
- 第22页
- 第23页
- 第24页
- 第25页
- 第26页
- 第27页
- 第28页
- 第29页
- 第30页
- 第31页
- 第32页
- 第33页
- 第34页
- 第35页
- 第36页
- 第37页
- 第38页
- 第39页
- 第40页
- 第41页
- 第42页
- 第43页
- 第44页
- 第45页
- 第46页
- 第47页
- 第48页
- 第49页
- 第50页
- 第51页
- 第52页
- 第53页
- 第54页
- 第55页
- 第56页
- 第57页
- 第58页
- 第59页
- 第60页
- 第61页
- 第62页
- 第63页
- 第64页
- 第65页
- 第66页
- 第67页
- 第68页
- 第69页
- 第70页
- 第71页
- 第72页
- 第73页
- 第74页
- 第75页
- 第76页
- 第77页
- 第78页
- 第79页
- 第80页
- 第81页
- 第82页
- 第83页
- 第84页
- 第85页
- 第86页
- 第87页
- 第88页
- 第89页
- 第90页
- 第91页
- 第92页
- 第93页
- 第94页
- 第95页
- 第96页
- 第97页
- 第98页
- 第99页
- 第100页
- 第101页
- 第102页
- 第103页
- 第104页
- 第105页
- 第106页
- 第107页
- 第108页
- 第109页
- 第110页
- 第111页
- 第112页
- 第113页
- 第114页
- 第115页
- 第116页
- 第117页
- 第118页
- 第119页
- 第120页
- 第121页
- 第122页
- 第123页
- 第124页
- 第125页
- 第126页
- 第127页
- 第128页
- 第129页
- 第130页
- 第131页
- 第132页
- 第133页
- 第134页
- 第135页
- 第136页
- 第137页
- 第138页
- 第139页
- 第140页
- 第141页
- 第142页
- 第143页
- 第144页
- 第145页
- 第146页
- 第147页
- 第148页
- 第149页
- 第150页
- 第151页
- 第152页
- 第153页
- 第154页
- 第155页
- 第156页
- 第157页
1. 函数$f(x)=|x - 1| + 1$的部分图象大致是 (

A
)
答案:
A
2. 已知狄利克雷函数$D(x) = \left\{ \begin{matrix} 1,x \in \mathbf{Q}, \\0,x \in \complement_{\mathbf{R}}\mathbf{Q} .\end{matrix} \right.$则$D(D(\sqrt{2})) =$ ( )
A.2
B.$\sqrt{2}$
C.1
D.0
A.2
B.$\sqrt{2}$
C.1
D.0
答案:
C
3. 已知某停车场的收费标准:停车时间在3小时内(包括3小时),车主需交费5元,若停车时间超过3小时,则每多停1小时,车主要多交3元,不足1小时按1小时计算.一辆汽车在该停车场停了7小时20分钟,在离开时车主应交的停车费为 (
A.16元
B.17元
C.18元
D.20元
D
)A.16元
B.17元
C.18元
D.20元
答案:
D
4. 已知函数$f(x) = \left\{ \begin{matrix} x^{2} + 1,x \leq 1, \\|2 + a|x,x > 1 .\end{matrix} \right.$若$f(f(1)) = 4a$,则实数$a =$ ______ .
答案:
2
? 问题导思
(阅读教材 P76-79,完成探究问题 1)
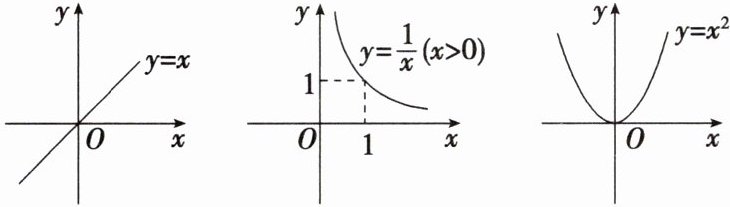
问题 1. 观察下面三个函数图象,它们的图象有什么变化规律?这反映了相应函数值的哪些变化规律?

$y = x$ $y = \frac{1}{x}(x > 0)$ $y = x^2$
(阅读教材 P76-79,完成探究问题 1)
问题 1. 观察下面三个函数图象,它们的图象有什么变化规律?这反映了相应函数值的哪些变化规律?
$y = x$ $y = \frac{1}{x}(x > 0)$ $y = x^2$
答案:
函数y=x的图象从左向右看是上升的,相应函数值随自变量x的增大而增大;函数y=$\frac{1}{x}$(x>0)的图象从左向右看是下降的,相应函数值随自变量x的增大而减小;函数y=x²的图象在y轴左侧是下降的,在y轴右侧是上升的,相应函数值,当x<0时,y随x的增大而减小;当x>0时,y随x的增大而增大.
新知 构建
函数的单调性

[微思考]
1. 在单调性的定义中,能否把“$\forall x_1,x_2 \in I$”改为“$\exists x_1,x_2 \in I$”?
2. $\forall x_1,x_2 \in D$,若$\frac{f(x_2) - f(x_1)}{x_2 - x_1} > 0$,则$y = f(x)$在区间$D$上是增函数吗?若$\frac{f(x_2) - f(x_1)}{x_2 - x_1} < 0$,则$y = f(x)$在区间$D$上是减函数吗?简要说明原因.
函数的单调性
[微思考]
1. 在单调性的定义中,能否把“$\forall x_1,x_2 \in I$”改为“$\exists x_1,x_2 \in I$”?
2. $\forall x_1,x_2 \in D$,若$\frac{f(x_2) - f(x_1)}{x_2 - x_1} > 0$,则$y = f(x)$在区间$D$上是增函数吗?若$\frac{f(x_2) - f(x_1)}{x_2 - x_1} < 0$,则$y = f(x)$在区间$D$上是减函数吗?简要说明原因.
答案:
f(x₁)<f(x₂) f(x₁)>f(x₂)
[微思考] 1.不能,如图所示,虽然f(−1)<f
(2),但原函数在[−1,2]上不单调.
2.是,若$\frac{f(x_2) - f(x_1)}{x_2 - x_1}$>0,则x₂−x₁与f(x₂)−f(x₁)同号,即x₂>x₁时,f(x₂)>f(x₁),所以f(x)在区间D上为增函数.同理,$\frac{f(x_2) - f(x_1)}{x_2 - x_1}$<0时,f(x)在区间D上为减函数
f(x₁)<f(x₂) f(x₁)>f(x₂)
[微思考] 1.不能,如图所示,虽然f(−1)<f
(2),但原函数在[−1,2]上不单调.
2.是,若$\frac{f(x_2) - f(x_1)}{x_2 - x_1}$>0,则x₂−x₁与f(x₂)−f(x₁)同号,即x₂>x₁时,f(x₂)>f(x₁),所以f(x)在区间D上为增函数.同理,$\frac{f(x_2) - f(x_1)}{x_2 - x_1}$<0时,f(x)在区间D上为减函数
查看更多完整答案,请扫码查看