2025年金版新学案高中数学必修1人教版
注:目前有些书本章节名称可能整理的还不是很完善,但都是按照顺序排列的,请同学们按照顺序仔细查找。练习册 2025年金版新学案高中数学必修1人教版 答案主要是用来给同学们做完题方便对答案用的,请勿直接抄袭。
第147页
- 第1页
- 第2页
- 第3页
- 第4页
- 第5页
- 第6页
- 第7页
- 第8页
- 第9页
- 第10页
- 第11页
- 第12页
- 第13页
- 第14页
- 第15页
- 第16页
- 第17页
- 第18页
- 第19页
- 第20页
- 第21页
- 第22页
- 第23页
- 第24页
- 第25页
- 第26页
- 第27页
- 第28页
- 第29页
- 第30页
- 第31页
- 第32页
- 第33页
- 第34页
- 第35页
- 第36页
- 第37页
- 第38页
- 第39页
- 第40页
- 第41页
- 第42页
- 第43页
- 第44页
- 第45页
- 第46页
- 第47页
- 第48页
- 第49页
- 第50页
- 第51页
- 第52页
- 第53页
- 第54页
- 第55页
- 第56页
- 第57页
- 第58页
- 第59页
- 第60页
- 第61页
- 第62页
- 第63页
- 第64页
- 第65页
- 第66页
- 第67页
- 第68页
- 第69页
- 第70页
- 第71页
- 第72页
- 第73页
- 第74页
- 第75页
- 第76页
- 第77页
- 第78页
- 第79页
- 第80页
- 第81页
- 第82页
- 第83页
- 第84页
- 第85页
- 第86页
- 第87页
- 第88页
- 第89页
- 第90页
- 第91页
- 第92页
- 第93页
- 第94页
- 第95页
- 第96页
- 第97页
- 第98页
- 第99页
- 第100页
- 第101页
- 第102页
- 第103页
- 第104页
- 第105页
- 第106页
- 第107页
- 第108页
- 第109页
- 第110页
- 第111页
- 第112页
- 第113页
- 第114页
- 第115页
- 第116页
- 第117页
- 第118页
- 第119页
- 第120页
- 第121页
- 第122页
- 第123页
- 第124页
- 第125页
- 第126页
- 第127页
- 第128页
- 第129页
- 第130页
- 第131页
- 第132页
- 第133页
- 第134页
- 第135页
- 第136页
- 第137页
- 第138页
- 第139页
- 第140页
- 第141页
- 第142页
- 第143页
- 第144页
- 第145页
- 第146页
- 第147页
- 第148页
- 第149页
- 第150页
- 第151页
- 第152页
- 第153页
- 第154页
- 第155页
- 第156页
- 第157页
? 问题导思
(阅读教材 P180,完成探究问题 2)
问题 2. 根据三角函数的定义,大家猜测一下三角函数值在各个象限内的符号.
(阅读教材 P180,完成探究问题 2)
问题 2. 根据三角函数的定义,大家猜测一下三角函数值在各个象限内的符号.
答案:
问题导思 2.三角函数值的符号是根据三角函数的定义和各象限内的坐标符号推导出的。根据三角函数的定义可知($\sin\alpha = y$,$\cos\alpha = x$,$\tan\alpha = \frac{y}{x}$),正弦的符号取决于纵坐标$y$的符号,余弦的符号取决于横坐标$x$的符号,正切的符号是由纵坐标$y$和横坐标$x$共同决定的,同号为正,异号为负。
新知 构建
正弦、余弦、正切函数值在各象限内的符号
(1) 图示:

(2) 正弦:
(3) 余弦:
(4) 正切:
(5) 口诀:一全正、二正弦、三正切、四余弦.
正弦、余弦、正切函数值在各象限内的符号
(1) 图示:
(2) 正弦:
一、二
象限正,三、四
象限负;(3) 余弦:
一、四
象限正,二、三
象限负;(4) 正切:
一、三
象限正,二、四
象限负.(5) 口诀:一全正、二正弦、三正切、四余弦.
答案:
(2)一、二 三、四
(3)一、四 二、三
(4)一、三 二、四
(2)一、二 三、四
(3)一、四 二、三
(4)一、三 二、四
典例2 (1) 当$x$为第四象限角时,$\frac{\sin x}{|\sin x|} + \frac{|\cos x|}{\cos x} + \frac{|\tan x|}{\tan x} =$ (
A.1
B.-1
C.3
D.-3
B
)A.1
B.-1
C.3
D.-3
答案:
(1)B
(1)由$x$为第四象限角,得$\sin x < 0$,$\cos x > 0$,$\tan x < 0$,所以$\frac{\sin x}{|\sin x|} + \frac{|\cos x|}{\cos x} + \frac{\tan x}{|\tan x|} = \frac{\sin x}{-\sin x} + \frac{\cos x}{\cos x} + \frac{\tan x}{-\tan x} = -1$。故选B。
(1)B
(1)由$x$为第四象限角,得$\sin x < 0$,$\cos x > 0$,$\tan x < 0$,所以$\frac{\sin x}{|\sin x|} + \frac{|\cos x|}{\cos x} + \frac{\tan x}{|\tan x|} = \frac{\sin x}{-\sin x} + \frac{\cos x}{\cos x} + \frac{\tan x}{-\tan x} = -1$。故选B。
(2)(多选)下列选项中的三角函数值的符号为负的是 (
A.$\sin(-100^{\circ})$
B.$\cos(-220^{\circ})$
C.$\tan 4$
D.$\cos\pi$
ABD
)A.$\sin(-100^{\circ})$
B.$\cos(-220^{\circ})$
C.$\tan 4$
D.$\cos\pi$
答案:
(2)ABD
(2)$-100°$角的终边在第三象限,故$\sin(-100°) < 0$;$-220°$角的终边在第二象限,故$\cos(-220°) < 0$;$4\in\left(\pi, \frac{3\pi}{2}\right)$,其终边在第三象限,故$\tan 4 > 0$;$\cos\pi = -1 < 0$。故选ABD。
(2)ABD
(2)$-100°$角的终边在第三象限,故$\sin(-100°) < 0$;$-220°$角的终边在第二象限,故$\cos(-220°) < 0$;$4\in\left(\pi, \frac{3\pi}{2}\right)$,其终边在第三象限,故$\tan 4 > 0$;$\cos\pi = -1 < 0$。故选ABD。
对点练 2. (1) “$\cos\theta < 0$且$\tan\theta > 0$” 是 “$\theta$为第三象限角” 的 (
A.充要条件
B.必要不充分条件
C.充分不必要条件
D.既不充分也不必要条件
A
)A.充要条件
B.必要不充分条件
C.充分不必要条件
D.既不充分也不必要条件
答案:
(1)A
(1)充分性:由$\cos\theta < 0$可知角$\theta$的终边可能位于第二或第三象限也可能与$x$轴负半轴重合,由$\tan\theta > 0$可知角$\theta$的终边可能位于第一或第三象限,综上可得角$\theta$的终边位于第三象限,于是$\theta$为第三象限角。必要性:若$\theta$为第三象限角,则$\cos\theta < 0$,$\tan\theta > 0$,所以“$\cos\theta < 0$且$\tan\theta > 0$”是“$\theta$为第三象限角”的充要条件。故选A。
(1)A
(1)充分性:由$\cos\theta < 0$可知角$\theta$的终边可能位于第二或第三象限也可能与$x$轴负半轴重合,由$\tan\theta > 0$可知角$\theta$的终边可能位于第一或第三象限,综上可得角$\theta$的终边位于第三象限,于是$\theta$为第三象限角。必要性:若$\theta$为第三象限角,则$\cos\theta < 0$,$\tan\theta > 0$,所以“$\cos\theta < 0$且$\tan\theta > 0$”是“$\theta$为第三象限角”的充要条件。故选A。
(2) 设$\alpha$是三角形的一个内角,则下列有可能取负值的是
①$\sin\alpha$; ②$\cos\alpha$; ③$\tan\alpha$; ④$\tan\frac{\alpha}{2}$.
②③
.(填序号)①$\sin\alpha$; ②$\cos\alpha$; ③$\tan\alpha$; ④$\tan\frac{\alpha}{2}$.
答案:
(2)②③
(2)因为$\alpha\in(0, \pi)$,$\frac{\alpha}{2}\in\left(0, \frac{\pi}{2}\right)$,所以$\sin\alpha$,$\tan\frac{\alpha}{2}$恒为正值,$\cos\alpha$,$\tan\alpha$可能为负值。
(2)②③
(2)因为$\alpha\in(0, \pi)$,$\frac{\alpha}{2}\in\left(0, \frac{\pi}{2}\right)$,所以$\sin\alpha$,$\tan\frac{\alpha}{2}$恒为正值,$\cos\alpha$,$\tan\alpha$可能为负值。
? 问题导思
(阅读教材 P180-181,完成探究问题 3)
问题 3. $30^{\circ},390^{\circ},-330^{\circ}$这三个角的终边有什么关系?它们与单位圆的交点坐标相同吗?这三个角的正弦值、余弦值、正切值分别相等吗?
(阅读教材 P180-181,完成探究问题 3)
问题 3. $30^{\circ},390^{\circ},-330^{\circ}$这三个角的终边有什么关系?它们与单位圆的交点坐标相同吗?这三个角的正弦值、余弦值、正切值分别相等吗?
答案:
问题导思 3.这三个角的终边相同,它们与单位圆的交点坐标相同,这三个角的正弦值、余弦值、正切值分别相等。
新知 构建
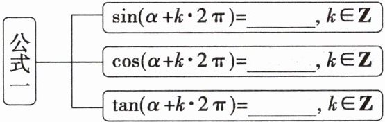
诱导公式一

即终边相同的角的同一三角函数的值相等.
诱导公式一
即终边相同的角的同一三角函数的值相等.
答案:
$\sin\alpha$ $\cos\alpha$ $\tan\alpha$
典例3(链教材 P181 例 5)求下列三角函数的值:
(1)$\sin\frac{25\pi}{3} + \tan(-\frac{15\pi}{4})$;
(2)$\sin810^{\circ} + \cos360^{\circ} - \tan1125^{\circ}$.
听课笔记:
(1)$\sin\frac{25\pi}{3} + \tan(-\frac{15\pi}{4})$;
(2)$\sin810^{\circ} + \cos360^{\circ} - \tan1125^{\circ}$.
听课笔记:
答案:
(1)$\sin\frac{25\pi}{3} + \tan\left(-\frac{15\pi}{4}\right) = \sin\left(8\pi + \frac{\pi}{3}\right) + \tan\left(-4\pi + \frac{\pi}{4}\right) = \sin\frac{\pi}{3} + \tan\frac{\pi}{4} = \frac{\sqrt{3}}{2} + 1$。
(2)$\sin 810° + \cos 360° - \tan 1125°$
$= \sin(2× 360° + 90°) + \cos(360° + 0°) - \tan(3× 360° + 45°) = \sin 90° + \cos 0° - \tan 45°$
$= 1 + 1 - 1 = 1$。
(1)$\sin\frac{25\pi}{3} + \tan\left(-\frac{15\pi}{4}\right) = \sin\left(8\pi + \frac{\pi}{3}\right) + \tan\left(-4\pi + \frac{\pi}{4}\right) = \sin\frac{\pi}{3} + \tan\frac{\pi}{4} = \frac{\sqrt{3}}{2} + 1$。
(2)$\sin 810° + \cos 360° - \tan 1125°$
$= \sin(2× 360° + 90°) + \cos(360° + 0°) - \tan(3× 360° + 45°) = \sin 90° + \cos 0° - \tan 45°$
$= 1 + 1 - 1 = 1$。
查看更多完整答案,请扫码查看