第7页
- 第1页
- 第2页
- 第3页
- 第4页
- 第5页
- 第6页
- 第7页
- 第8页
- 第9页
- 第10页
- 第11页
- 第12页
- 第13页
- 第14页
- 第15页
- 第16页
- 第17页
- 第18页
- 第19页
- 第20页
- 第21页
- 第22页
- 第23页
- 第24页
- 第25页
- 第26页
- 第27页
- 第28页
- 第29页
- 第30页
- 第31页
- 第32页
- 第33页
- 第34页
- 第35页
- 第36页
- 第37页
- 第38页
- 第39页
- 第40页
- 第41页
- 第42页
- 第43页
- 第44页
- 第45页
- 第46页
- 第47页
- 第48页
- 第49页
- 第50页
- 第51页
- 第52页
- 第53页
- 第54页
- 第55页
- 第56页
- 第57页
- 第58页
- 第59页
- 第60页
- 第61页
- 第62页
- 第63页
- 第64页
- 第65页
- 第66页
- 第67页
- 第68页
- 第69页
- 第70页
- 第71页
- 第72页
- 第73页
- 第74页
- 第75页
- 第76页
- 第77页
- 第78页
- 第79页
- 第80页
- 第81页
- 第82页
- 第83页
- 第84页
- 第85页
- 第86页
- 第87页
- 第88页
- 第89页
- 第90页
- 第91页
- 第92页
- 第93页
- 第94页
- 第95页
- 第96页
- 第97页
- 第98页
- 第99页
- 第100页
- 第101页
- 第102页
- 第103页
- 第104页
- 第105页
- 第106页
- 第107页
- 第108页
- 第109页
- 第110页
- 第111页
- 第112页
- 第113页
- 第114页
- 第115页
- 第116页
- 第117页
- 第118页
- 第119页
- 第120页
- 第121页
- 第122页
- 第123页
- 第124页
- 第125页
- 第126页
- 第127页
- 第128页
- 第129页
- 第130页
- 第131页
- 第132页
- 第133页
- 第134页
- 第135页
- 第136页
- 第137页
- 第138页
- 第139页
- 第140页
- 第141页
- 第142页
- 第143页
- 第144页
- 第145页
- 第146页
- 第147页
- 第148页
- 第149页
- 第150页
- 第151页
- 第152页
- 第153页
- 第154页
- 第155页
- 第156页
- 第157页
- 第158页
- 第159页
- 第160页
- 第161页
- 第162页
- 第163页
- 第164页
- 第165页
- 第166页
- 第167页
- 第168页
- 第169页
7.用两个相同的电热器给质量同为2kg的物质甲和水加热,理想情况,无热量损失。它们的温度随时间的变化关系如图
所示,下列说法正确的是[c水$= 4.2×10^3J/(kg·℃)](
A.甲物质的比热容为$8.4×10^3J/(kg·℃)$
B.甲物质的比热容为$2.1×10^3J/(kg·℃)$
C.甲物质10min吸收的热量为$5.04×10^8J$
D.甲物质和水10min吸收的热量之比为2:1
B
)$A.甲物质的比热容为$8.4×10^3J/(kg·℃)$
B.甲物质的比热容为$2.1×10^3J/(kg·℃)$
C.甲物质10min吸收的热量为$5.04×10^8J$
D.甲物质和水10min吸收的热量之比为2:1
答案:
B
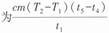
8.(2024成都)某固态物体的质量为m,其物质的比热容为c,用稳定的热源对它加热(物体在相同时间内吸收的热量相等),到$t_3$时刻停止加热,然后让其冷却。上述过程中记录不同时刻的温度,最后绘制出温度随时间变化的图像(如图所示)。下列说法正确的是(


A.在$0~t_2$时间段,该物体吸收的热量为$cm(T_2-T_1)$
B.在$t_2~t_4$时间段,该物质的比热容先增大后减小
C.在$t_4~t_5$时间段,该物体放出的热量为$cm(T_2-T_1)(t_5-t_4)/t_1$
D.该物质在$t_5~t_6$时间段的比热容等于在$0~t_1$时间段的比热容
D
)A.在$0~t_2$时间段,该物体吸收的热量为$cm(T_2-T_1)$
B.在$t_2~t_4$时间段,该物质的比热容先增大后减小
C.在$t_4~t_5$时间段,该物体放出的热量为$cm(T_2-T_1)(t_5-t_4)/t_1$
D.该物质在$t_5~t_6$时间段的比热容等于在$0~t_1$时间段的比热容
答案:
D
9.(2024巴蜀中学期中)甲、乙两个初温和质量相等的物体,它们的比热容之比为c甲:c乙= 2:1,让它们各吸收$Q_1$的热量后,再把它们放在一起相互接触(无热损失),则热传递的方向是从
乙到甲
(选填“甲到乙”或“乙到甲”);在达到热平衡的过程中,它们之间传递的热量为$Q_2,$则$Q_1:Q_2= 3:1
。$
答案:
乙到甲 3:1
10.工匠用钢铁打制刀具时,有一个重要流程叫“淬火”,就是把刚打制成型的刀具放到炉火中充分煅烧,然后将其迅速放入水中骤冷。现有一成型的合金钢刀具的质量为1kg,温度为20℃,放入836℃的炉火中煅烧足够长时间,迅速取出放入5kg、20℃的水中冷却,最后与水达到共同的温度。[不计淬火过程中的热量损失,c水$= 4.2×10^3J/(kg·℃),c$合金钢$= 0.42×10^3J/(kg·℃)]$问:(1)此刀具在炉火中吸收了多少热量?(2)淬火后水的温度为多少摄氏度?_____
答案:
1. (1)解:
根据热量计算公式$Q = cm\Delta t$($\Delta t=t - t_0$),此刀具在炉火中吸收的热量:
$Q_{合吸}=c_{合金钢}m_{合金钢}(t - t_0)$
已知$c_{合金钢}=0.42×10^{3}J/(kg\cdot^{\circ}C)$,$m_{合金钢}=1kg$,$t = 836^{\circ}C$,$t_0 = 20^{\circ}C$。
则$Q_{合吸}=0.42×10^{3}J/(kg\cdot^{\circ}C)×1kg×(836^{\circ}C - 20^{\circ}C)$
$=0.42×10^{3}J/(kg\cdot^{\circ}C)×1kg×816^{\circ}C$
$=3.4272×10^{5}J$。
2. (2)解:
设最后刀具与水达到的共同温度为$t'$,因为不计淬火过程中的热量损失,所以$Q_{水吸}=Q_{合放}$。
根据$Q = cm\Delta t$,$Q_{水吸}=c_{水}m_{水}(t' - t_{0}')$,$Q_{合放}=c_{合金钢}m_{合金钢}(t - t')$。
已知$c_{水}=4.2×10^{3}J/(kg\cdot^{\circ}C)$,$m_{水}=5kg$,$t_{0}' = 20^{\circ}C$,$c_{合金钢}=0.42×10^{3}J/(kg\cdot^{\circ}C)$,$m_{合金钢}=1kg$,$t = 836^{\circ}C$。
则$c_{水}m_{水}(t' - t_{0}')=c_{合金钢}m_{合金钢}(t - t')$。
即$4.2×10^{3}J/(kg\cdot^{\circ}C)×5kg×(t' - 20^{\circ}C)=0.42×10^{3}J/(kg\cdot^{\circ}C)×1kg×(836^{\circ}C - t')$。
展开式子得:$4.2×10^{3}×5× t'-4.2×10^{3}×5×20 = 0.42×10^{3}×836-0.42×10^{3}× t'$。
$21×10^{3}t'-4.2×10^{5}=0.42×10^{3}×836 - 0.42×10^{3}t'$。
移项得:$21×10^{3}t'+0.42×10^{3}t'=0.42×10^{3}×836 + 4.2×10^{5}$。
$(21 + 0.42)×10^{3}t'=0.42×10^{3}×836+4.2×10^{5}$。
$21.42×10^{3}t'=0.42×836×10^{3}+4.2×10^{5}$。
$21.42t'=0.42×836 + 420$。
$21.42t'=351.12+420$。
$21.42t'=771.12$。
解得$t' = 36^{\circ}C$。
综上,(1)刀具在炉火中吸收的热量为$3.4272×10^{5}J$;(2)淬火后水的温度为$36^{\circ}C$。
根据热量计算公式$Q = cm\Delta t$($\Delta t=t - t_0$),此刀具在炉火中吸收的热量:
$Q_{合吸}=c_{合金钢}m_{合金钢}(t - t_0)$
已知$c_{合金钢}=0.42×10^{3}J/(kg\cdot^{\circ}C)$,$m_{合金钢}=1kg$,$t = 836^{\circ}C$,$t_0 = 20^{\circ}C$。
则$Q_{合吸}=0.42×10^{3}J/(kg\cdot^{\circ}C)×1kg×(836^{\circ}C - 20^{\circ}C)$
$=0.42×10^{3}J/(kg\cdot^{\circ}C)×1kg×816^{\circ}C$
$=3.4272×10^{5}J$。
2. (2)解:
设最后刀具与水达到的共同温度为$t'$,因为不计淬火过程中的热量损失,所以$Q_{水吸}=Q_{合放}$。
根据$Q = cm\Delta t$,$Q_{水吸}=c_{水}m_{水}(t' - t_{0}')$,$Q_{合放}=c_{合金钢}m_{合金钢}(t - t')$。
已知$c_{水}=4.2×10^{3}J/(kg\cdot^{\circ}C)$,$m_{水}=5kg$,$t_{0}' = 20^{\circ}C$,$c_{合金钢}=0.42×10^{3}J/(kg\cdot^{\circ}C)$,$m_{合金钢}=1kg$,$t = 836^{\circ}C$。
则$c_{水}m_{水}(t' - t_{0}')=c_{合金钢}m_{合金钢}(t - t')$。
即$4.2×10^{3}J/(kg\cdot^{\circ}C)×5kg×(t' - 20^{\circ}C)=0.42×10^{3}J/(kg\cdot^{\circ}C)×1kg×(836^{\circ}C - t')$。
展开式子得:$4.2×10^{3}×5× t'-4.2×10^{3}×5×20 = 0.42×10^{3}×836-0.42×10^{3}× t'$。
$21×10^{3}t'-4.2×10^{5}=0.42×10^{3}×836 - 0.42×10^{3}t'$。
移项得:$21×10^{3}t'+0.42×10^{3}t'=0.42×10^{3}×836 + 4.2×10^{5}$。
$(21 + 0.42)×10^{3}t'=0.42×10^{3}×836+4.2×10^{5}$。
$21.42×10^{3}t'=0.42×836×10^{3}+4.2×10^{5}$。
$21.42t'=0.42×836 + 420$。
$21.42t'=351.12+420$。
$21.42t'=771.12$。
解得$t' = 36^{\circ}C$。
综上,(1)刀具在炉火中吸收的热量为$3.4272×10^{5}J$;(2)淬火后水的温度为$36^{\circ}C$。
查看更多完整答案,请扫码查看