第86页
- 第1页
- 第2页
- 第3页
- 第4页
- 第5页
- 第6页
- 第7页
- 第8页
- 第9页
- 第10页
- 第11页
- 第12页
- 第13页
- 第14页
- 第15页
- 第16页
- 第17页
- 第18页
- 第19页
- 第20页
- 第21页
- 第22页
- 第23页
- 第24页
- 第25页
- 第26页
- 第27页
- 第28页
- 第29页
- 第30页
- 第31页
- 第32页
- 第33页
- 第34页
- 第35页
- 第36页
- 第37页
- 第38页
- 第39页
- 第40页
- 第41页
- 第42页
- 第43页
- 第44页
- 第45页
- 第46页
- 第47页
- 第48页
- 第49页
- 第50页
- 第51页
- 第52页
- 第53页
- 第54页
- 第55页
- 第56页
- 第57页
- 第58页
- 第59页
- 第60页
- 第61页
- 第62页
- 第63页
- 第64页
- 第65页
- 第66页
- 第67页
- 第68页
- 第69页
- 第70页
- 第71页
- 第72页
- 第73页
- 第74页
- 第75页
- 第76页
- 第77页
- 第78页
- 第79页
- 第80页
- 第81页
- 第82页
- 第83页
- 第84页
- 第85页
- 第86页
- 第87页
- 第88页
- 第89页
- 第90页
- 第91页
- 第92页
- 第93页
- 第94页
- 第95页
- 第96页
- 第97页
- 第98页
- 第99页
- 第100页
- 第101页
- 第102页
- 第103页
- 第104页
- 第105页
- 第106页
- 第107页
- 第108页
- 第109页
- 第110页
- 第111页
8. (2024南充期末)若$x - m与3x - 2的乘积中不含x$的一次项,则$m$的值为(
A.$-\frac{2}{3}$
B.$-\frac{3}{2}$
C.$\frac{3}{2}$
D.$3$
A
)A.$-\frac{2}{3}$
B.$-\frac{3}{2}$
C.$\frac{3}{2}$
D.$3$
答案:
A
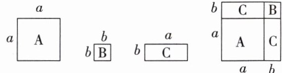
9. (随州中考)设有边长分别为$a和b(a > b)$的A类和B类正方形纸片,长为$a$、宽为$b$的C类长方形纸片若干张,如图所示。要拼一个边长为$a + b$的正方形,需要1张A类纸片,1张B类纸片和2张C类纸片。若要拼一个长为$3a + b$,宽为$2a + 2b$的长方形,则需要C类纸片的张数为(

A.$6$
B.$7$
C.$8$
D.$9$
C
)A.$6$
B.$7$
C.$8$
D.$9$
答案:
C
10. 欢欢和乐乐两人共同计算一道整式乘法题:$(2x + a)(3x + b)$,欢欢由于抄错了第一个多项式中$a$的符号,得到的结果为$6x^{2} - 13x + 6$,乐乐由于漏抄了第二个多项式中$x$的系数,得到的结果为$2x^{2} - x - 6$。求式子中$a$,$b$的值。
答案:
解:欢欢由于抄错了第一个多项式中a的符号,得到的结果为$6x^{2}-13x+6,$则$(2x-a)(3x+b)=6x^{2}+(2b-3a)x-ab=6x^{2}-13x+6,$可得$2b-3a=-13$.①乐乐由于漏抄了第二个多项式中x的系数,得到的结果为$2x^{2}-x-6,$则$(2x+a)(x+b)=2x^{2}+(2b+a)x+ab=2x^{2}-x-6$,可得$2b+a=-1$,②①②联立解得$a=3,b=-2.$
11. 一题多法 已知$m^{2} + m - 1 = 0$,求$m^{3} + 2m^{2} + 2025$的值。
答案:
解:$m^{3}+2m^{2}+2025$$=m^{3}+m^{2}+m^{2}+2025$$=m(m^{2}+m)+m^{2}+2025.$$\because m^{2}+m-1=0,$$\therefore m^{2}+m=1,$$\therefore m(m^{2}+m)+m^{2}+2025$$=m+m^{2}+2025$$=1+2025$$=2026.$
查看更多完整答案,请扫码查看