第24页
- 第1页
- 第2页
- 第3页
- 第4页
- 第5页
- 第6页
- 第7页
- 第8页
- 第9页
- 第10页
- 第11页
- 第12页
- 第13页
- 第14页
- 第15页
- 第16页
- 第17页
- 第18页
- 第19页
- 第20页
- 第21页
- 第22页
- 第23页
- 第24页
- 第25页
- 第26页
- 第27页
- 第28页
- 第29页
- 第30页
- 第31页
- 第32页
- 第33页
- 第34页
- 第35页
- 第36页
- 第37页
- 第38页
- 第39页
- 第40页
- 第41页
- 第42页
- 第43页
- 第44页
- 第45页
- 第46页
- 第47页
- 第48页
- 第49页
- 第50页
- 第51页
- 第52页
- 第53页
- 第54页
- 第55页
- 第56页
- 第57页
- 第58页
- 第59页
- 第60页
- 第61页
- 第62页
- 第63页
- 第64页
- 第65页
- 第66页
- 第67页
- 第68页
- 第69页
- 第70页
- 第71页
- 第72页
- 第73页
- 第74页
- 第75页
- 第76页
- 第77页
- 第78页
- 第79页
- 第80页
- 第81页
- 第82页
- 第83页
- 第84页
- 第85页
- 第86页
- 第87页
- 第88页
- 第89页
- 第90页
- 第91页
- 第92页
- 第93页
- 第94页
- 第95页
- 第96页
- 第97页
- 第98页
- 第99页
- 第100页
- 第101页
- 第102页
- 第103页
- 第104页
- 第105页
- 第106页
- 第107页
- 第108页
- 第109页
- 第110页
- 第111页
- 第112页
- 第113页
- 第114页
- 第115页
- 第116页
- 第117页
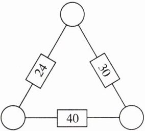
12. 如图是一个有三条边的算法图,每个“$\square$”里有一个数,这个数等于它所在边的两个“$\bigcirc$”里的数之和,请你通过计算确定三个“$\bigcirc$”里的数之和,并且确定三个“$\bigcirc$”里应填入的数.

答案:
[解]如图,把三个“
”里的数分别记作 $x$,$y$,$z$,
则$\begin{cases}x + y = 24,①\\y + z = 40,②\\z + x = 30.③\end{cases}$
① + ② + ③,得 $2(x + y + z)=94$,
即 $x + y + z = 47$. ④
④ - ①,得 $z = 23$.
④ - ②,得 $x = 7$.
④ - ③,得 $y = 17$.
所以三个“
”里的数之和为 $47$,三个“
”里应填入的数按先上后下,先左后右的顺序依次为 $7$,$17$,$23$.
[解]如图,把三个“
则$\begin{cases}x + y = 24,①\\y + z = 40,②\\z + x = 30.③\end{cases}$
① + ② + ③,得 $2(x + y + z)=94$,
即 $x + y + z = 47$. ④
④ - ①,得 $z = 23$.
④ - ②,得 $x = 7$.
④ - ③,得 $y = 17$.
所以三个“
13. 如下表,从左到右在每个小格子中填入一个整数,使得其中任意三个相邻格子中所填整数之和都相等

(1)$a =$_______,$b =$_______,$c =$_______;
(2)第2025个格子中的数为_______;
(3)前$m$个格子中所填整数之和是否能为2026?若能,求$m$的值;若不能,请说明理由.
(1)$a =$_______,$b =$_______,$c =$_______;
(2)第2025个格子中的数为_______;
(3)前$m$个格子中所填整数之和是否能为2026?若能,求$m$的值;若不能,请说明理由.
答案:
[解]
(1)$8$;$-4$;$1$ [点拨]根据题意,得$\begin{cases}1 + a + b = a + b + c\\a + b + c = b + c + 8\\b + c + 8 = c + 8 - 4\end{cases}$,解得$\begin{cases}a = 8,\\b = - 4,\\c = 1.\end{cases}$
(2)$-4$ [点拨]由
(1)可知从左往右格子中的整数以 $1$,$8$,$-4$ 为一个周期循环. 因为 $2025\div3 = 675$,所以第 $2025$ 个格子中的数与第 $3$ 个格子中的数相同为 $-4$.
(3)能. 由
(1)可知每三格一循环,数分别为 $1$,$8$,$-4$,和为 $5$. 因为 $2026\div5 = 405\cdots\cdots1$,所以当 $m = 405×3 + 1 = 1216$ 时,整数之和为 $2026$.
(1)$8$;$-4$;$1$ [点拨]根据题意,得$\begin{cases}1 + a + b = a + b + c\\a + b + c = b + c + 8\\b + c + 8 = c + 8 - 4\end{cases}$,解得$\begin{cases}a = 8,\\b = - 4,\\c = 1.\end{cases}$
(2)$-4$ [点拨]由
(1)可知从左往右格子中的整数以 $1$,$8$,$-4$ 为一个周期循环. 因为 $2025\div3 = 675$,所以第 $2025$ 个格子中的数与第 $3$ 个格子中的数相同为 $-4$.
(3)能. 由
(1)可知每三格一循环,数分别为 $1$,$8$,$-4$,和为 $5$. 因为 $2026\div5 = 405\cdots\cdots1$,所以当 $m = 405×3 + 1 = 1216$ 时,整数之和为 $2026$.
14. [2024苏州期末] 阅读理解:已知实数$x$,$y$满足$3x - y = 5$①,$2x + 3y = 7$②,求$x - 4y$和$7x + 5y$的值. 仔细观察两个方程未知数的系数之间的关系,本题可以通过适当变形整体求得代数式的值,如由① - ②可得$x - 4y = -2$,由① + ②×2可得$7x + 5y = 19$. 这样的解题思想就是通常所说的“整体思想”. 利用“整体思想”,解决下列问题:
(1)已知二元一次方程组$\begin{cases}3x + 2y = 7, \\2x + 3y = 8\end{cases}$,则$x - y =$_______,$x + y =$_______.
(2)已知买20支铅笔,3块橡皮,2本日记本共需32元,买39支铅笔,5块橡皮,3本日记本共需58元,求购买10支铅笔,10块橡皮,10本日记本共需多少元?
(3)对于实数$x$,$y$,定义新运算:$x*y = ax + by + c$,其中$a$,$b$,$c$是常数,等式右边是实数运算. 已知$3*5 = 15$,$4*7 = 28$,求$6*11$的值.
(1)已知二元一次方程组$\begin{cases}3x + 2y = 7, \\2x + 3y = 8\end{cases}$,则$x - y =$_______,$x + y =$_______.
(2)已知买20支铅笔,3块橡皮,2本日记本共需32元,买39支铅笔,5块橡皮,3本日记本共需58元,求购买10支铅笔,10块橡皮,10本日记本共需多少元?
(3)对于实数$x$,$y$,定义新运算:$x*y = ax + by + c$,其中$a$,$b$,$c$是常数,等式右边是实数运算. 已知$3*5 = 15$,$4*7 = 28$,求$6*11$的值.
答案:
[解]
(1)$-1$;$3$
(2)设 $1$ 支铅笔为 $x$ 元,$1$ 块橡皮为 $y$ 元,$1$ 本日记本为 $z$ 元,
由题意,得$\begin{cases}20x + 3y + 2z = 32,①\\39x + 5y + 3z = 58,②\end{cases}$
①×2 - ②,得 $x + y + z = 6$,
所以 $10x + 10y + 10z = 10(x + y + z)=10×6 = 60$.
答:购买 $10$ 支铅笔,$10$ 块橡皮,$10$ 本日记本共需 $60$ 元.
(3)因为 $x*y = ax + by + c$,$3*5 = 15$,$4*7 = 28$,
所以 $3a + 5b + c = 15$③,$4a + 7b + c = 28$④,
④×3 - ③×2,得 $6a + 11b + c = 28×3 - 15×2 = 54$.
因为 $6*11 = 6a + 11b + c$,所以 $6*11$ 的值为 $54$.
(1)$-1$;$3$
(2)设 $1$ 支铅笔为 $x$ 元,$1$ 块橡皮为 $y$ 元,$1$ 本日记本为 $z$ 元,
由题意,得$\begin{cases}20x + 3y + 2z = 32,①\\39x + 5y + 3z = 58,②\end{cases}$
①×2 - ②,得 $x + y + z = 6$,
所以 $10x + 10y + 10z = 10(x + y + z)=10×6 = 60$.
答:购买 $10$ 支铅笔,$10$ 块橡皮,$10$ 本日记本共需 $60$ 元.
(3)因为 $x*y = ax + by + c$,$3*5 = 15$,$4*7 = 28$,
所以 $3a + 5b + c = 15$③,$4a + 7b + c = 28$④,
④×3 - ③×2,得 $6a + 11b + c = 28×3 - 15×2 = 54$.
因为 $6*11 = 6a + 11b + c$,所以 $6*11$ 的值为 $54$.
查看更多完整答案,请扫码查看