第34页
- 第4页
- 第5页
- 第6页
- 第7页
- 第8页
- 第9页
- 第10页
- 第11页
- 第12页
- 第13页
- 第14页
- 第15页
- 第16页
- 第17页
- 第18页
- 第19页
- 第20页
- 第21页
- 第22页
- 第23页
- 第24页
- 第25页
- 第26页
- 第27页
- 第28页
- 第29页
- 第30页
- 第31页
- 第32页
- 第33页
- 第34页
- 第35页
- 第36页
- 第37页
- 第38页
- 第39页
- 第40页
- 第41页
- 第42页
- 第43页
- 第44页
- 第45页
- 第46页
- 第47页
- 第48页
- 第49页
- 第50页
- 第51页
- 第52页
- 第53页
- 第54页
- 第55页
- 第56页
- 第57页
- 第58页
- 第59页
- 第60页
- 第61页
- 第62页
- 第63页
- 第64页
- 第65页
- 第66页
- 第67页
- 第68页
- 第69页
- 第70页
- 第71页
- 第72页
- 第73页
- 第74页
- 第75页
- 第76页
- 第77页
- 第78页
- 第79页
- 第80页
- 第81页
- 第82页
- 第83页
- 第84页
- 第85页
- 第86页
- 第87页
- 第88页
- 第89页
- 第90页
- 第91页
- 第92页
- 第93页
- 第94页
- 第95页
- 第96页
- 第97页
- 第98页
- 第99页
- 第100页
- 第101页
- 第102页
- 第103页
- 第104页
- 第105页
- 第106页
- 第107页
1. (2025·璧山区月考)抛物线$y = -(x - 1)^2 - 3$的顶点坐标是 (
A. $(-1, -3)$
B. $(1, -3)$
C. $(1, 3)$
D. $(-1, 3)$
B
)A. $(-1, -3)$
B. $(1, -3)$
C. $(1, 3)$
D. $(-1, 3)$
答案:
B
2. 如图,二次函数$y = a(x + 2)^2 + k$的图象与$x$轴交于点$A$和点$B(-1, 0)$,则下列说法正确的是 (

A. $a < 0$
B. 点$A$的坐标为$(-4, 0)$
C. 当$x < 0$时,$y$随$x$的增大而减小
D. 图象的对称轴为$x = -2$
D
)A. $a < 0$
B. 点$A$的坐标为$(-4, 0)$
C. 当$x < 0$时,$y$随$x$的增大而减小
D. 图象的对称轴为$x = -2$
答案:
D
3. (2024·九龙坡区阶段练习)若点$A(-3, y_1)$,$B(-2, y_2)$,$C(2, y_3)$在二次函数$y = a^2(x - 1)^2 - 5(a ≠ 0)$的图象上,则$y_1$,$y_2$,$y_3$的大小关系是 (
A. $y_1 > y_2 > y_3$
B. $y_1 > y_3 > y_2$
C. $y_2 > y_3 > y_1$
D. $y_2 > y_1 > y_3$
A
)A. $y_1 > y_2 > y_3$
B. $y_1 > y_3 > y_2$
C. $y_2 > y_3 > y_1$
D. $y_2 > y_1 > y_3$
答案:
A
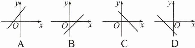
4. 已知二次函数$y = a(x - 1)^2 + c$的图象如图所示,则一次函数$y = ax + c$的大致图象是(


B
)
答案:
B
5. (2025·开州区阶段练习改编)将二次函数$y = 2(x - 1)^2 + 1$的图象向左平移2个单位长度,再向下平移3个单位长度得到的新图象的函数解析式为
$ y = 2(x + 1)^2 - 2 $
.
答案:
$ y = 2(x + 1)^2 - 2 $
6. 已知二次函数$y = (x - 1)^2 - 1$,当$-2 ≤ x ≤ 0$时,$y$的最小值是
0
,最大值是8
.
答案:
0 8
[变式1] (2025·长寿区月考改编)已知二次函数$y = -(x + 1)^2 + 4$,当$-2 ≤ x ≤ 1$时,$y$的取值范围是
$ 0 \leq y \leq 4 $
.
答案:
$ 0 \leq y \leq 4 $
[变式2] 已知二次函数$y = -(x + 1)^2 + 4$,当$a ≤ x ≤ \frac{1}{2}$时,函数值$y$的最小值为1,则$a$的值为
$-1 - \sqrt{3}$
.
答案:
$ -1 - \sqrt{3} $
7. 有下列关于二次函数$y = -(x - m)^2 + m^2 + 1$($m$为常数)的结论:①该函数的图象与函数$y = -x^2$的图象形状相同;②该函数的图象一定经过点$(0, 1)$;③当$x > 0$时,$y$随$x$的增大而减小;④该函数的图象的顶点在函数$y = x^2 + 1$的图象上.其中正确结论的序号是
①②④
.
答案:
①②④
8. 如图,点$A$,$B$的坐标分别为$(1, 4)$和$(4, 4)$,抛物线$y = a(x - m)^2 + n$的顶点在线段$AB$上运动,与$x$轴交于$C$,$D$两点(点$C$在点$D$的左侧),点$C$的横坐标的最小值为$-3$,则点$D$的横坐标的最大值为
8
.
答案:
8
9. 如图,二次函数$y = -(x - 2)^2 + k$的图象经过点$(3, 3)$,且与一次函数$y = \frac{1}{2}x$的图象相交于点$A$.
(1)求$k$的值及抛物线的顶点$P$的坐标;

(2)求点$A$的坐标;
(3)连接$PO$,$PA$,求$\triangle POA$的面积.
(1)求$k$的值及抛物线的顶点$P$的坐标;
(2)求点$A$的坐标;
(3)连接$PO$,$PA$,求$\triangle POA$的面积.
答案:
(1) $ k = 4 $,顶点 $ P $ 的坐标为 $ (2, 4) $
(2) $ \left( \dfrac{7}{2}, \dfrac{7}{4} \right) $
(3) $ \dfrac{21}{4} $
(1) $ k = 4 $,顶点 $ P $ 的坐标为 $ (2, 4) $
(2) $ \left( \dfrac{7}{2}, \dfrac{7}{4} \right) $
(3) $ \dfrac{21}{4} $
查看更多完整答案,请扫码查看