第12页
- 第4页
- 第5页
- 第6页
- 第7页
- 第8页
- 第9页
- 第10页
- 第11页
- 第12页
- 第13页
- 第14页
- 第15页
- 第16页
- 第17页
- 第18页
- 第19页
- 第20页
- 第21页
- 第22页
- 第23页
- 第24页
- 第25页
- 第26页
- 第27页
- 第28页
- 第29页
- 第30页
- 第31页
- 第32页
- 第33页
- 第34页
- 第35页
- 第36页
- 第37页
- 第38页
- 第39页
- 第40页
- 第41页
- 第42页
- 第43页
- 第44页
- 第45页
- 第46页
- 第47页
- 第48页
- 第49页
- 第50页
- 第51页
- 第52页
- 第53页
- 第54页
- 第55页
- 第56页
- 第57页
- 第58页
- 第59页
- 第60页
- 第61页
- 第62页
- 第63页
- 第64页
- 第65页
- 第66页
- 第67页
- 第68页
- 第69页
- 第70页
- 第71页
- 第72页
- 第73页
- 第74页
- 第75页
- 第76页
- 第77页
- 第78页
- 第79页
- 第80页
- 第81页
- 第82页
- 第83页
- 第84页
- 第85页
- 第86页
- 第87页
- 第88页
- 第89页
- 第90页
- 第91页
- 第92页
- 第93页
- 第94页
- 第95页
- 第96页
- 第97页
- 第98页
- 第99页
- 第100页
- 第101页
- 第102页
- 第103页
- 第104页
- 第105页
- 第106页
- 第107页
1. (2024·贵州)一元二次方程$x^{2}-2x=0$的解是(
A. $x_{1}=3,x_{2}=1$
B. $x_{1}=2,x_{2}=0$
C. $x_{1}=3,x_{2}=-2$
D. $x_{1}=-2,x_{2}=-1$
B
)A. $x_{1}=3,x_{2}=1$
B. $x_{1}=2,x_{2}=0$
C. $x_{1}=3,x_{2}=-2$
D. $x_{1}=-2,x_{2}=-1$
答案:
1.B
2. 若一元二次方程的两个根分别为$x_{1}=-3,$$x_{2}=-4$,则这个方程为(
A. $(x-3)(x+4)=0$
B. $(x+3)(x-4)=0$
C. $(x+3)(x+4)=0$
D. $(x-3)(x-4)=0$
C
)A. $(x-3)(x+4)=0$
B. $(x+3)(x-4)=0$
C. $(x+3)(x+4)=0$
D. $(x-3)(x-4)=0$
答案:
2.C
3. 用因式分解法解方程,下列选项正确的是(
A. $x(x+2)=0,\therefore x+2=0$
B. $(x+4)(x-2)=1,\therefore x+4=1$或$x-2=1$
C. $(x-2)(x-3)=2×3,\therefore x-2=2$或$x-3=3$
D. $(2x-2)(3x-4)=0,\therefore 2x-2=0$或$3x-4=0$
D
)A. $x(x+2)=0,\therefore x+2=0$
B. $(x+4)(x-2)=1,\therefore x+4=1$或$x-2=1$
C. $(x-2)(x-3)=2×3,\therefore x-2=2$或$x-3=3$
D. $(2x-2)(3x-4)=0,\therefore 2x-2=0$或$3x-4=0$
答案:
3.D
4. 设$m$是方程$x^{2}+5x=0$的一个根,$n$是方程$x^{2}-x-6=0$的一个根,则$m+n$的值可能是(
A. -4
B. -3
C. -2
D. 2
C
)A. -4
B. -3
C. -2
D. 2
答案:
4.C
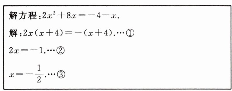
5. 【过程性学习】(2024·重庆南开中学期末)如图,某名同学解方程的过程如下,他是从第
解方程:$2x^{2}+8x=-4-x.$

②
步开始出错的.(填序号)解方程:$2x^{2}+8x=-4-x.$
答案:
5.②
6. (1)方程$3x^{2}-6x=0$的解是
(2)方程$4x(x-2)=x-2$的解是
(3)方程$x^{2}-x=56$的解是
$x_{1}=0,x_{2}=2$
;(2)方程$4x(x-2)=x-2$的解是
$x_{1}=2,x_{2}=\frac {1}{4}$
;(3)方程$x^{2}-x=56$的解是
$x_{1}=-7,x_{2}=8$
.
答案:
6.
(1)$x_{1}=0,x_{2}=2$
(2)$x_{1}=2,x_{2}=\frac {1}{4}$
(3)$x_{1}=-7,x_{2}=8$
(1)$x_{1}=0,x_{2}=2$
(2)$x_{1}=2,x_{2}=\frac {1}{4}$
(3)$x_{1}=-7,x_{2}=8$
7. (2024·青海改编)若一个直角三角形的两边长分别是方程$x^{2}-4x+3=0$的两个实数根,则第三边的长为
$\sqrt {10}$或$2\sqrt {2}$
.
答案:
7.$\sqrt {10}$或$2\sqrt {2}$
8. 用因式分解法解下列方程:
(1)$x^{2}-6x=0;$
(2)$x^{2}-x-2=0;$
(3)$(x+3)^{2}+2x(x+3)=0;$
(4)$(3x+1)^{2}=4(3-x)^{2};$
(5)$(2x-1)^{2}-4(2x-1)+4=0.$
(1)$x^{2}-6x=0;$
(2)$x^{2}-x-2=0;$
(3)$(x+3)^{2}+2x(x+3)=0;$
(4)$(3x+1)^{2}=4(3-x)^{2};$
(5)$(2x-1)^{2}-4(2x-1)+4=0.$
答案:
8.
(1)$x_{1}=0,x_{2}=6$
(2)$x_{1}=2,x_{2}=-1$
(3)$x_{1}=-3,x_{2}=-1$
(4)$x_{1}=-7,x_{2}=1$
(5)$x_{1}=x_{2}=\frac {3}{2}$
(1)$x_{1}=0,x_{2}=6$
(2)$x_{1}=2,x_{2}=-1$
(3)$x_{1}=-3,x_{2}=-1$
(4)$x_{1}=-7,x_{2}=1$
(5)$x_{1}=x_{2}=\frac {3}{2}$
查看更多完整答案,请扫码查看