第22页
- 第2页
- 第3页
- 第4页
- 第5页
- 第6页
- 第7页
- 第8页
- 第9页
- 第10页
- 第11页
- 第12页
- 第13页
- 第14页
- 第15页
- 第16页
- 第17页
- 第18页
- 第19页
- 第20页
- 第21页
- 第22页
- 第23页
- 第24页
- 第25页
- 第26页
- 第27页
- 第28页
- 第29页
- 第30页
- 第31页
- 第32页
- 第33页
- 第34页
- 第35页
- 第36页
- 第37页
- 第38页
- 第39页
- 第40页
- 第41页
- 第42页
- 第43页
- 第44页
- 第45页
- 第46页
- 第47页
- 第48页
- 第49页
- 第50页
- 第51页
- 第52页
- 第53页
- 第54页
- 第55页
- 第56页
- 第57页
- 第58页
- 第59页
- 第60页
- 第61页
- 第62页
- 第63页
- 第64页
- 第65页
- 第66页
- 第67页
- 第68页
- 第69页
- 第70页
- 第71页
- 第72页
- 第73页
- 第74页
- 第75页
- 第76页
- 第77页
- 第78页
- 第79页
- 第80页
- 第81页
- 第82页
- 第83页
- 第84页
- 第85页
- 第86页
- 第87页
- 第88页
- 第89页
- 第90页
- 第91页
- 第92页
- 第93页
- 第94页
- 第95页
- 第96页
- 第97页
- 第98页
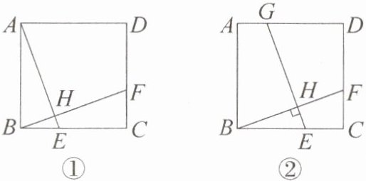
1. (1)如图①,在正方形 $ABCD$ 中,$E$,$F$ 分别是 $BC$,$CD$ 边上的点,且满足 $BE = CF$,连接 $AE$,$BF$ 交于点 $H$,则线段 $AE$ 与 $BF$ 的数量关系为
(2)如图②,在正方形 $ABCD$ 中,$E$,$F$ 分别是 $BC$,$CD$ 边上的点,连接 $BF$,过点 $E$ 作 $EG⊥BF$ 于点 $H$,交 $AD$ 于点 $G$。试判断线段 $BF$ 与 $GE$ 的数量关系,并证明你的结论。(提示:过点 $A$ 作 $GE$ 的平行线)

AE=BF
,位置关系为AE⊥BF
;(2)如图②,在正方形 $ABCD$ 中,$E$,$F$ 分别是 $BC$,$CD$ 边上的点,连接 $BF$,过点 $E$ 作 $EG⊥BF$ 于点 $H$,交 $AD$ 于点 $G$。试判断线段 $BF$ 与 $GE$ 的数量关系,并证明你的结论。(提示:过点 $A$ 作 $GE$ 的平行线)
BF=GE.证明略.
答案:
1.解:
(1)AE=BF AE⊥BF
(2)BF=GE.证明略.
(1)AE=BF AE⊥BF
(2)BF=GE.证明略.
2. 如图,边长为 $4$ 的正方形 $ABCD$ 的对角线的交点为 $O$,另一个边长为 $4$ 的正方形 $OEFG$ 绕着点 $O$ 转动,且边 $OE$,$OG$ 分别交边 $BC$,$CD$ 于点 $M$,$N$。

(1)求证:$\triangle OBM≌\triangle OCN$。
(2)设这两个正方形的重叠部分的面积为 $S$,则 $S$ 是否为定值?若是,求出 $S$ 的值;若不是,请说明理由。
(1)求证:$\triangle OBM≌\triangle OCN$。
(2)设这两个正方形的重叠部分的面积为 $S$,则 $S$ 是否为定值?若是,求出 $S$ 的值;若不是,请说明理由。
答案:
2.
(1)提示:利用“ASA”进行证明.
(2)解:S是定值,为4.
(1)提示:利用“ASA”进行证明.
(2)解:S是定值,为4.
查看更多完整答案,请扫码查看