第90页
- 第1页
- 第2页
- 第3页
- 第4页
- 第5页
- 第6页
- 第7页
- 第8页
- 第9页
- 第10页
- 第11页
- 第12页
- 第13页
- 第14页
- 第15页
- 第16页
- 第17页
- 第18页
- 第19页
- 第20页
- 第21页
- 第22页
- 第23页
- 第24页
- 第25页
- 第26页
- 第27页
- 第28页
- 第29页
- 第30页
- 第31页
- 第32页
- 第33页
- 第34页
- 第35页
- 第36页
- 第37页
- 第38页
- 第39页
- 第40页
- 第41页
- 第42页
- 第43页
- 第44页
- 第45页
- 第46页
- 第47页
- 第48页
- 第49页
- 第50页
- 第51页
- 第52页
- 第53页
- 第54页
- 第55页
- 第56页
- 第57页
- 第58页
- 第59页
- 第60页
- 第61页
- 第62页
- 第63页
- 第64页
- 第65页
- 第66页
- 第67页
- 第68页
- 第69页
- 第70页
- 第71页
- 第72页
- 第73页
- 第74页
- 第75页
- 第76页
- 第77页
- 第78页
- 第79页
- 第80页
- 第81页
- 第82页
- 第83页
- 第84页
- 第85页
- 第86页
- 第87页
- 第88页
- 第89页
- 第90页
- 第91页
- 第92页
- 第93页
- 第94页
- 第95页
- 第96页
- 第97页
- 第98页
- 第99页
- 第100页
- 第101页
- 第102页
- 第103页
- 第104页
- 第105页
- 第106页
- 第107页
- 第108页
- 第109页
- 第110页
- 第111页
- 第112页
- 第113页
- 第114页
- 第115页
- 第116页
- 第117页
- 第118页
- 第119页
- 第120页
- 第121页
- 第122页
- 第123页
- 第124页
- 第125页
- 第126页
- 第127页
- 第128页
- 第129页
- 第130页
- 第131页
9. 小明比爸爸小26岁,今年爸爸的年龄恰好是小明的3倍,则小明今年
13
岁.
答案:
13
10. (孝感中考)有一列数,按一定的规律排列成$\frac{1}{3},-1,3,-9,27,-81,…$.若其中某三个相邻数的和是-567,则这三个数中第一个数是
-81
.
答案:
-81
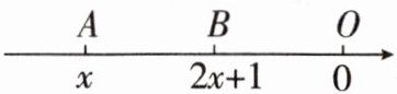
11. 如图,点A,B为数轴上的两点,O为原点,A,B表示的数分别是x,$2x+1$,B,O两点间的距离等于A,B两点间的距离,则x的值是

$-\frac{2}{3}$
.
答案:
$-\frac{2}{3}$ 解析:根据题意得$0-(2x+1)=2x+1-x$,解得$x=-\frac{2}{3}$.
12. (2024·陕西中考)塞罕坝机械林场经过三代务林人的接续奋斗,已知现在该林场的林木总蓄积比原来增加了1007万立方米,已成为目前世界上最大的人工林场;又知现在该林场的林木总蓄积比原来的31倍还多17万立方米,请问该林场原来的林木总蓄积是多少万立方米?
答案:
设该林场原来的林木总蓄积是x万立方米,则现在该林场的林木总蓄积是$(31x+17)$万立方米, 根据题意,得$31x+17-x=1007$,解得$x=33$. 答:该林场原来的林木总蓄积是33万立方米.
13. 某工艺品车间有20名工人,平均每人每天可制作12个大花瓶或10个小饰品,已知2个大花瓶与5个小饰品配成一套,需分别安排多少名工人制作大花瓶和小饰品,才能使每天制作的大花瓶和小饰品刚好配套?
答案:
设需安排x名工人制作大花瓶,安排$(20-x)$名工人制作小饰品. 根据题意,得$\frac{12x}{2}=\frac{10(20-x)}{5}$,解得$x=5$,则$20-x=20-5=15$. 答:需安排5名工人制作大花瓶,15名工人制作小饰品,才能使每天制作的大花瓶和小饰品刚好配套.
14. 应用意识·运算能力 (2024·济南中考)近年来光伏建筑一体化广受关注.某社区拟修建A,B两种光伏车棚.已知修建2个A种光伏车棚和1个B种光伏车棚共需投资8万元,修建5个A种光伏车棚和3个B种光伏车棚共需投资21万元.求修建每个A种,B种光伏车棚分别需投资多少万元?
答案:
设修建一个A种光伏车棚需投资x万元,修建一个B种光伏车棚需投资$(8-2x)$万元, 根据题意,得$5x+3(8-2x)=21$, 解得$x=3$,$8-2x=2$. 答:修建一个A种光伏车棚需投资3万元,修建一个B种光伏车棚需投资2万元.
查看更多完整答案,请扫码查看