第32页
- 第1页
- 第2页
- 第3页
- 第4页
- 第5页
- 第6页
- 第7页
- 第8页
- 第9页
- 第10页
- 第11页
- 第12页
- 第13页
- 第14页
- 第15页
- 第16页
- 第17页
- 第18页
- 第19页
- 第20页
- 第21页
- 第22页
- 第23页
- 第24页
- 第25页
- 第26页
- 第27页
- 第28页
- 第29页
- 第30页
- 第31页
- 第32页
- 第33页
- 第34页
- 第35页
- 第36页
- 第37页
- 第38页
- 第39页
- 第40页
- 第41页
- 第42页
- 第43页
- 第44页
- 第45页
- 第46页
- 第47页
- 第48页
- 第49页
- 第50页
- 第51页
- 第52页
- 第53页
- 第54页
- 第55页
- 第56页
- 第57页
- 第58页
- 第59页
- 第60页
- 第61页
- 第62页
- 第63页
- 第64页
- 第65页
- 第66页
- 第67页
- 第68页
- 第69页
- 第70页
- 第71页
- 第72页
- 第73页
- 第74页
- 第75页
- 第76页
- 第77页
- 第78页
- 第79页
- 第80页
- 第81页
- 第82页
- 第83页
- 第84页
- 第85页
- 第86页
- 第87页
- 第88页
- 第89页
- 第90页
- 第91页
- 第92页
- 第93页
- 第94页
- 第95页
- 第96页
- 第97页
- 第98页
一般地,一个二元一次方程可以转化成一次函数
1星题 基础题
知识点 一次函数与二元一次方程
y=kx+b
($k$,$b$为常数,且$k≠0$)的形式,所以每个二元一次方程都对应一个一次函数,也对应一条直线
。1星题 基础题
知识点 一次函数与二元一次方程
答案:
y=kx+b;直线
1. [知识初练]二元一次方程$2x + y = 4$的解有
无数
组,以该方程的解为坐标的点都在函数y=-2x+4
的图象上;直线$y = -x + 5$上的点的坐标都是二元一次方程x+y=5
的解。
答案:
无数;y=-2x+4;x+y=5
2. [2024·芜湖月考]以方程$2x + 3y = 5$的解为坐标的点组成下列哪个函数的图象?(
A.$y = 5 - 2x$
B.$y = -2x + 2$
C.$y = -\frac{3}{2}x + \frac{5}{2}$
D.$y = -\frac{2}{3}x + \frac{5}{3}$
D
)A.$y = 5 - 2x$
B.$y = -2x + 2$
C.$y = -\frac{3}{2}x + \frac{5}{2}$
D.$y = -\frac{2}{3}x + \frac{5}{3}$
答案:
D
3. 教材改编题 如图,已知直线$y = ax + b$,则关于$x的方程ax + b = -1$的解为(

A.$x = 0$
B.$x = 2$
C.$x = 4$
D.$x = 1$
A
)A.$x = 0$
B.$x = 2$
C.$x = 4$
D.$x = 1$
答案:
A
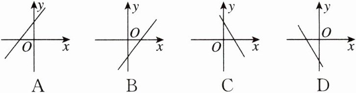
4. 以二元一次方程$y = -3x + 1$的解为坐标的点组成的图象画在坐标系中可能是(
C
)
答案:
C
5. 整体思想 若点$P(a,b)在函数y = 3x - 4$的图象上,则代数式$6a - 2b - 5$的值为
3
。
答案:
3
6. 若二元一次方程$3x - y = 1的一组解是\begin{cases}x = a,\\y = b,\end{cases} 则点P(a,b)$一定不在(
A.第一、三象限
B.第二、四象限
C.第二象限
D.坐标轴上
C
)A.第一、三象限
B.第二、四象限
C.第二象限
D.坐标轴上
答案:
C
7. 若以关于$x$,$y的二元一次方程x + 2y - b = 0的解为坐标的点(x,y)都在直线y = -\frac{1}{2}x + b - 1$上,则常数$b$的值为(
A.$\frac{1}{2}$
B.$1$
C.$-1$
D.$2$
D
)A.$\frac{1}{2}$
B.$1$
C.$-1$
D.$2$
答案:
D
8. 直线$y = kx + b$($k$,$b$为常数,且$k≠0$)过点$(2,3)$,则关于$x$,$y的二元一次方程kx - y + b - 3 = 0$必有一组解为
$\left\{\begin{array}{l} x=2\\ y=0\end{array}\right.$
。
答案:
{x=2,y=0
9. 已知二元一次方程$y - kx - 2k + 4 = 0$化为一次函数的形式后,经过画图发现,其图象与$x轴交点的横坐标为-1$。
(1) 求$k$的值,并将二元一次方程化为一次函数的形式(用$x表示y$);
(2) 直接写出这个一次函数的图象不经过的象限;
(3) 求这个一次函数的图象与$y$轴的交点坐标。
(1)由题意可知,一次函数的图象经过点(-1,0),将x=-1,y=0代入二元一次方程,得0-k·(-1)-2k+4=0,解得k=4,故将二元一次方程化为一次函数的形式为y=kx+2k-4=4x+4.
(2)这个一次函数的图象不经过第四象限.
(3)当x=0时,y=4,故这个一次函数的图象与y轴的交点坐标为(0,4).
(1) 求$k$的值,并将二元一次方程化为一次函数的形式(用$x表示y$);
(2) 直接写出这个一次函数的图象不经过的象限;
(3) 求这个一次函数的图象与$y$轴的交点坐标。
(1)由题意可知,一次函数的图象经过点(-1,0),将x=-1,y=0代入二元一次方程,得0-k·(-1)-2k+4=0,解得k=4,故将二元一次方程化为一次函数的形式为y=kx+2k-4=4x+4.
(2)这个一次函数的图象不经过第四象限.
(3)当x=0时,y=4,故这个一次函数的图象与y轴的交点坐标为(0,4).
答案:
(1)由题意可知,一次函数的图象经过点(-1,0),将x=-1,y=0代入二元一次方程,得0-k·(-1)-2k+4=0,解得k=4,故将二元一次方程化为一次函数的形式为y=kx+2k-4=4x+4.
(2)这个一次函数的图象不经过第四象限.
(3)当x=0时,y=4,故这个一次函数的图象与y轴的交点坐标为(0,4).
(1)由题意可知,一次函数的图象经过点(-1,0),将x=-1,y=0代入二元一次方程,得0-k·(-1)-2k+4=0,解得k=4,故将二元一次方程化为一次函数的形式为y=kx+2k-4=4x+4.
(2)这个一次函数的图象不经过第四象限.
(3)当x=0时,y=4,故这个一次函数的图象与y轴的交点坐标为(0,4).
查看更多完整答案,请扫码查看