第14页
- 第1页
- 第2页
- 第3页
- 第4页
- 第5页
- 第6页
- 第7页
- 第8页
- 第9页
- 第10页
- 第11页
- 第12页
- 第13页
- 第14页
- 第15页
- 第16页
- 第17页
- 第18页
- 第19页
- 第20页
- 第21页
- 第22页
- 第23页
- 第24页
- 第25页
- 第26页
- 第27页
- 第28页
- 第29页
- 第30页
- 第31页
- 第32页
- 第33页
- 第34页
- 第35页
- 第36页
- 第37页
- 第38页
- 第39页
- 第40页
- 第41页
- 第42页
- 第43页
- 第44页
- 第45页
- 第46页
- 第47页
- 第48页
- 第49页
- 第50页
- 第51页
- 第52页
- 第53页
- 第54页
- 第55页
- 第56页
- 第57页
- 第58页
- 第59页
- 第60页
- 第61页
- 第62页
- 第63页
- 第64页
- 第65页
- 第66页
- 第67页
- 第68页
- 第69页
- 第70页
- 第71页
- 第72页
- 第73页
- 第74页
- 第75页
- 第76页
- 第77页
- 第78页
- 第79页
- 第80页
- 第81页
- 第82页
- 第83页
- 第84页
- 第85页
- 第86页
- 第87页
- 第88页
- 第89页
- 第90页
- 第91页
- 第92页
- 第93页
- 第94页
- 第95页
- 第96页
- 第97页
- 第98页
9. 函数$y= \frac{x}{\sqrt{x}}$中,自变量$x$的取值范围是(
A.$x\geqslant0$
B.$x\neq0$
C.$x>0$
D.$x<0$
C
)A.$x\geqslant0$
B.$x\neq0$
C.$x>0$
D.$x<0$
答案:
C
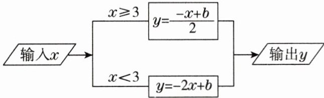
10. 根据如图所示的程序计算函数$y$的值,若输入$x的值是2$,则输出$y的值是1$,若输入$x的值是7$,则输出$y$的值是(

A.$1$
B.$-1$
C.$2$
D.$-2$
B
)A.$1$
B.$-1$
C.$2$
D.$-2$
答案:
B
11. [2024·合肥期中]某校在定制“中考红色战袍”时,小明了解到尺码与衣长的函数关系如下表:

若小明需要定制$5XL$,则他的衣长是(
A.$81\ cm$
B.$83\ cm$
C.$85\ cm$
D.$87\ cm$
若小明需要定制$5XL$,则他的衣长是(
A
)A.$81\ cm$
B.$83\ cm$
C.$85\ cm$
D.$87\ cm$
答案:
A
12. 真实情境 [2025年1月南京期末]如图,在长方形电子广告屏$ABCD$中,$AB = 8\ m$,$BC = 6\ m$.画面设计如下:动点$P从点A出发沿长方形的边AB$,$BC以2\ m/s的速度向点C$运动,逐渐展开主体广告画面.

(1)当点$P在边AB$上运动时,写出三角形$APD的面积S(m^{2})关于点P的运动时间t(s)$的函数表达式,及$t$的取值范围;
(2)当点$P在边BC$上运动时,三角形$APD的面积S= $
班级:____ 姓名:____
(3)当$t = 3$时,函数值$S= $
(4)当$S = 12$时,$t= $
(1)当点$P在边AB$上运动时,写出三角形$APD的面积S(m^{2})关于点P的运动时间t(s)$的函数表达式,及$t$的取值范围;
$S=6t$,t 的取值范围是$0≤t≤4.$
(2)当点$P在边BC$上运动时,三角形$APD的面积S= $
24
;班级:____ 姓名:____
(3)当$t = 3$时,函数值$S= $
18
;(4)当$S = 12$时,$t= $
2
.
答案:
(1)$S=6t$,t 的取值范围是$0≤t≤4.$
(2)24
(3)18
(4)2
(1)$S=6t$,t 的取值范围是$0≤t≤4.$
(2)24
(3)18
(4)2
13. 创新题·新题型 [2024·北京期中]基础代谢是维持机体生命活动最基本的能量消耗.在身高、年龄、性别相同的前提下(不考虑其他因素的影响),可以利用某基础代谢估算公式,根据体重$x$(单位:$kg$)计算得到人体每日所需基础代谢的能量消耗$y$(单位:$Kcal$),且$y是x$的函数.已知六名身高约为$170\ cm的15$岁男同学的体重,以及计算得到的他们每日所需基础代谢的能量消耗,如下表所示:

请根据上表中的数据回答下列问题:
(1)随着体重的增加,人体每日所需基础代谢的能量消耗
(2)若一个身高约为$170\ cm的15$岁男同学,通过计算得到他每日所需基础代谢的能量消耗为$1792\ Kcal$,则估计他的体重最接近于(
A. $59\ kg$
B. $62\ kg$
C. $65\ kg$
D. $68\ kg$
(3)当$54\leqslant x\leqslant70$时,下列四个$y与x$的函数中,符合表中数据的函数是(
A. $y = x^{2}$
B. $y = - 10.5x + 1071$
C. $y = 10x + 1101$
D. $y = 17.5x + 651$
请根据上表中的数据回答下列问题:
(1)随着体重的增加,人体每日所需基础代谢的能量消耗
增大
.(填“增大”“减小”或“不变”)(2)若一个身高约为$170\ cm的15$岁男同学,通过计算得到他每日所需基础代谢的能量消耗为$1792\ Kcal$,则估计他的体重最接近于(
C
)A. $59\ kg$
B. $62\ kg$
C. $65\ kg$
D. $68\ kg$
(3)当$54\leqslant x\leqslant70$时,下列四个$y与x$的函数中,符合表中数据的函数是(
D
)A. $y = x^{2}$
B. $y = - 10.5x + 1071$
C. $y = 10x + 1101$
D. $y = 17.5x + 651$
答案:
(1)增大
(2)C
(3)D
(1)增大
(2)C
(3)D
查看更多完整答案,请扫码查看