第95页
- 第1页
- 第2页
- 第3页
- 第4页
- 第5页
- 第6页
- 第7页
- 第8页
- 第9页
- 第10页
- 第11页
- 第12页
- 第13页
- 第14页
- 第15页
- 第16页
- 第17页
- 第18页
- 第19页
- 第20页
- 第21页
- 第22页
- 第23页
- 第24页
- 第25页
- 第26页
- 第27页
- 第28页
- 第29页
- 第30页
- 第31页
- 第32页
- 第33页
- 第34页
- 第35页
- 第36页
- 第37页
- 第38页
- 第39页
- 第40页
- 第41页
- 第42页
- 第43页
- 第44页
- 第45页
- 第46页
- 第47页
- 第48页
- 第49页
- 第50页
- 第51页
- 第52页
- 第53页
- 第54页
- 第55页
- 第56页
- 第57页
- 第58页
- 第59页
- 第60页
- 第61页
- 第62页
- 第63页
- 第64页
- 第65页
- 第66页
- 第67页
- 第68页
- 第69页
- 第70页
- 第71页
- 第72页
- 第73页
- 第74页
- 第75页
- 第76页
- 第77页
- 第78页
- 第79页
- 第80页
- 第81页
- 第82页
- 第83页
- 第84页
- 第85页
- 第86页
- 第87页
- 第88页
- 第89页
- 第90页
- 第91页
- 第92页
- 第93页
- 第94页
- 第95页
- 第96页
- 第97页
- 第98页
- 第99页
- 第100页
- 第101页
- 第102页
1. (2024·甘孜州)在平面直角坐标系中,一次函数$y= x+1$的图象不经过的象限为 (
A. 第一象限
B. 第二象限
C. 第三象限
D. 第四象限
D
)A. 第一象限
B. 第二象限
C. 第三象限
D. 第四象限
答案:
D
2. (2024·通辽)如图,在同一平面直角坐标系中,一次函数$y= k_{1}x+b_{1}与y= k_{2}x+b_{2}$(其中$k_{1}k_{2}≠0$、$k_{1}$、$k_{2}$、$b_{1}$、$b_{2}$为常数)的图象分别为直线$l_{1}$、$l_{2}$.下列结论正确的是 (

A. $b_{1}+b_{2}>0$
B. $b_{1}b_{2}>0$
C. $k_{1}+k_{2}<0$
D. $k_{1}k_{2}<0$
A
)A. $b_{1}+b_{2}>0$
B. $b_{1}b_{2}>0$
C. $k_{1}+k_{2}<0$
D. $k_{1}k_{2}<0$
答案:
A
3. (2024·西藏)将正比例函数$y= 2x$的图象向上平移3个单位长度后得到的函数图象的表达式为
$ y = 2x + 3 $
.
答案:
$ y = 2x + 3 $
4. 如图,一次函数$y= 6-x与正比例函数y= kx$的图象如图所示,则$k$的值为______

2
.
答案:
2
5. 若点$P(-1,y_{1})和点Q(-2,y_{2})是一次函数y= -x+b$的图象上的两点,则$y_{1}$、$y_{2}$的大小关系是:$y_{1}$
<
$y_{2}$(填“>”“<”或“=”).
答案:
$ < $
6. 已知正比例函数$y= kx经过点P(1,2)$,如图所示.
(1)求这个正比例函数的表达式;
(2)将这个正比例函数的图象向右平移4个单位长度,写出在这个平移下,点$P$、原点$O的对应点P'$、$O'$的坐标

(1)求这个正比例函数的表达式;
$y=2x$
(2)将这个正比例函数的图象向右平移4个单位长度,写出在这个平移下,点$P$、原点$O的对应点P'$、$O'$的坐标
$(5,2)$、$(4,0)$
,并求出平移后的直线的表达式.$y=2x-8$
答案:
解:
(1)由于点 $ P(1,2) $ 在直线 $ y = kx $ 上, $ \therefore k \cdot 1 = 2 $ 得 $ k = 2 $,这个正比例函数的表达式为 $ y = 2x $
(2)设表达式为 $ y = kx + b(k \neq 0) $,把 $ P'(5,2) $、$ O'(4,0) $ 代入得 $ \begin{cases} 5k + b = 2, \\ 4k + b = 0, \end{cases} $ 解得 $ \begin{cases} k = 2, \\ b = -8, \end{cases} $ $ \therefore $ 平移后的直线表达式为 $ y = 2x - 8 $.
(1)由于点 $ P(1,2) $ 在直线 $ y = kx $ 上, $ \therefore k \cdot 1 = 2 $ 得 $ k = 2 $,这个正比例函数的表达式为 $ y = 2x $
(2)设表达式为 $ y = kx + b(k \neq 0) $,把 $ P'(5,2) $、$ O'(4,0) $ 代入得 $ \begin{cases} 5k + b = 2, \\ 4k + b = 0, \end{cases} $ 解得 $ \begin{cases} k = 2, \\ b = -8, \end{cases} $ $ \therefore $ 平移后的直线表达式为 $ y = 2x - 8 $.
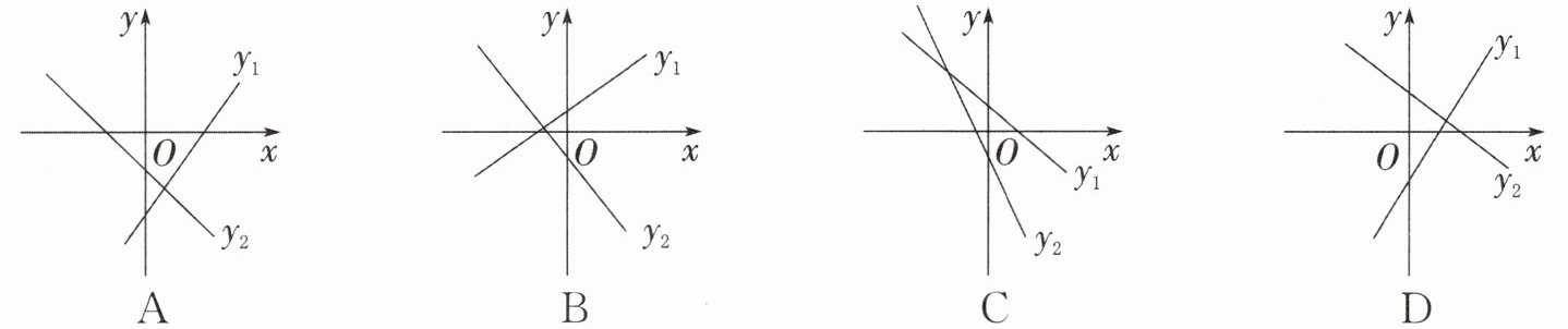
7. 两个一次函数$y_{1}= ax+b与y_{2}= bx+a$,它们在同一坐标系中的图象可能是 (

D
)
答案:
D
8. 把直线$y= 3x$向下平移1个单位长度后,其函数表达式为 (
A. $y= 3(x+1)$
B. $y= 3x+1$
C. $y= 3(x-1)$
D. $y= 3x-1$
D
)A. $y= 3(x+1)$
B. $y= 3x+1$
C. $y= 3(x-1)$
D. $y= 3x-1$
答案:
D
查看更多完整答案,请扫码查看