第101页
- 第1页
- 第2页
- 第3页
- 第4页
- 第5页
- 第6页
- 第7页
- 第8页
- 第9页
- 第10页
- 第11页
- 第12页
- 第13页
- 第14页
- 第15页
- 第16页
- 第17页
- 第18页
- 第19页
- 第20页
- 第21页
- 第22页
- 第23页
- 第24页
- 第25页
- 第26页
- 第27页
- 第28页
- 第29页
- 第30页
- 第31页
- 第32页
- 第33页
- 第34页
- 第35页
- 第36页
- 第37页
- 第38页
- 第39页
- 第40页
- 第41页
- 第42页
- 第43页
- 第44页
- 第45页
- 第46页
- 第47页
- 第48页
- 第49页
- 第50页
- 第51页
- 第52页
- 第53页
- 第54页
- 第55页
- 第56页
- 第57页
- 第58页
- 第59页
- 第60页
- 第61页
- 第62页
- 第63页
- 第64页
- 第65页
- 第66页
- 第67页
- 第68页
- 第69页
- 第70页
- 第71页
- 第72页
- 第73页
- 第74页
- 第75页
- 第76页
- 第77页
- 第78页
- 第79页
- 第80页
- 第81页
- 第82页
- 第83页
- 第84页
- 第85页
- 第86页
- 第87页
- 第88页
- 第89页
- 第90页
- 第91页
- 第92页
- 第93页
- 第94页
- 第95页
- 第96页
- 第97页
- 第98页
- 第99页
- 第100页
- 第101页
- 第102页
1. 若以二元一次方程 $ x + 2y - b = 0 $ 的解为坐标的点 $ (x, y) $ 都在直线 $ y = -\frac{1}{2}x + b - 1 $ 上,则常数 $ b $ 的值为(
A. $ \frac{1}{2} $
B. $ 2 $
C. $ -1 $
D. $ 1 $
B
)A. $ \frac{1}{2} $
B. $ 2 $
C. $ -1 $
D. $ 1 $
答案:
B
2. 如图,一次函数 $ y = kx + b $ 与 $ y = -x + 4 $ 的图象相交于点 $ P(3, m) $,则关于 $ x、y $ 的二元一次方程组 $ \begin{cases} x + y = 4, \\ kx - y + b = 0 \end{cases} $ 的解是(

A. $ \begin{cases} x = 3, \\ y = 1 \end{cases} $
B. $ \begin{cases} x = 3, \\ y = 2 \end{cases} $
C. $ \begin{cases} x = 1, \\ y = 3 \end{cases} $
D. $ \begin{cases} x = 3, \\ y = 1.5 \end{cases} $
A
)A. $ \begin{cases} x = 3, \\ y = 1 \end{cases} $
B. $ \begin{cases} x = 3, \\ y = 2 \end{cases} $
C. $ \begin{cases} x = 1, \\ y = 3 \end{cases} $
D. $ \begin{cases} x = 3, \\ y = 1.5 \end{cases} $
答案:
A
3. 数形结合是解决数学问题常用的思想方法,如图,直线 $ y = x + 5 $ 和直线 $ y = ax + b $ 相交于点 $ P $,根据图象可知,方程组 $ \begin{cases} x - y + 5 = 0, \\ ax - y + b = 0 \end{cases} $ 的解是

$\begin{cases}x = 20, \\ y = 25\end{cases}$
。
答案:
$\begin{cases}x = 20, \\ y = 25\end{cases}$
4. 因为 $ \begin{cases} x + y = 4, \\ 2x - y = -1 \end{cases} $ 的解是 $ \begin{cases} x = 1, \\ y = 3 \end{cases} $,所以一次函数 $ y = -x + 4 $ 与 $ y = 2x + 1 $ 的图象交点坐标为
$(1, 3)$
。
答案:
$(1, 3)$
5. 在图中画出函数 $ y_1 = -x + 1、y_2 = 2x - 5 $ 的图象,利用图象回答下列问题:
(1)方程组 $ \begin{cases} y = -x + 1, \\ y = 2x - 5 \end{cases} $ 的解是
(2)$ y_1 $ 随 $ x $ 的增大而
(3)当 $ y_1 > y_2 $ 时,$ x $ 的取值范围是

(1)方程组 $ \begin{cases} y = -x + 1, \\ y = 2x - 5 \end{cases} $ 的解是
$$\begin{cases}x = 2, \\ y = -1\end{cases}$$
;(2)$ y_1 $ 随 $ x $ 的增大而
减小
,$ y_2 $ 随 $ x $ 的增大而增大
;(3)当 $ y_1 > y_2 $ 时,$ x $ 的取值范围是
$x < 2$
。
答案:
(1) $$\begin{cases}x = 2, \\ y = -1\end{cases}$$
(2) 减小 增大
(3) $x < 2$
(1) $$\begin{cases}x = 2, \\ y = -1\end{cases}$$
(2) 减小 增大
(3) $x < 2$
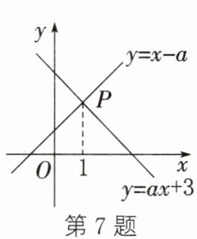
7. 如图,函数 $ y = x - a $ 和 $ y = ax + 3 $ 的图象交于点 $ P $,点 $ P $ 的横坐标为 $ 1 $,则关于 $ x、y $ 的方程组 $ \begin{cases} y = x - a, \\ y = ax + 3 \end{cases} $ 的解是(

A. $ \begin{cases} x = 1, \\ y = \frac{5}{3} \end{cases} $
B. $ \begin{cases} x = 1, \\ y = \frac{7}{3} \end{cases} $
C. $ \begin{cases} x = 1, \\ y = 2 \end{cases} $
D. $ \begin{cases} x = 1, \\ y = 3 \end{cases} $
C
)A. $ \begin{cases} x = 1, \\ y = \frac{5}{3} \end{cases} $
B. $ \begin{cases} x = 1, \\ y = \frac{7}{3} \end{cases} $
C. $ \begin{cases} x = 1, \\ y = 2 \end{cases} $
D. $ \begin{cases} x = 1, \\ y = 3 \end{cases} $
答案:
C
查看更多完整答案,请扫码查看