2025年金学典同步解析与测评贵州人民出版社八年级数学上册人教版
注:目前有些书本章节名称可能整理的还不是很完善,但都是按照顺序排列的,请同学们按照顺序仔细查找。练习册 2025年金学典同步解析与测评贵州人民出版社八年级数学上册人教版 答案主要是用来给同学们做完题方便对答案用的,请勿直接抄袭。
第97页
- 第1页
- 第2页
- 第3页
- 第4页
- 第5页
- 第6页
- 第7页
- 第8页
- 第9页
- 第10页
- 第11页
- 第12页
- 第13页
- 第14页
- 第15页
- 第16页
- 第17页
- 第18页
- 第19页
- 第20页
- 第21页
- 第22页
- 第23页
- 第24页
- 第25页
- 第26页
- 第27页
- 第28页
- 第29页
- 第30页
- 第31页
- 第32页
- 第33页
- 第34页
- 第35页
- 第36页
- 第37页
- 第38页
- 第39页
- 第40页
- 第41页
- 第42页
- 第43页
- 第44页
- 第45页
- 第46页
- 第47页
- 第48页
- 第49页
- 第50页
- 第51页
- 第52页
- 第53页
- 第54页
- 第55页
- 第56页
- 第57页
- 第58页
- 第59页
- 第60页
- 第61页
- 第62页
- 第63页
- 第64页
- 第65页
- 第66页
- 第67页
- 第68页
- 第69页
- 第70页
- 第71页
- 第72页
- 第73页
- 第74页
- 第75页
- 第76页
- 第77页
- 第78页
- 第79页
- 第80页
- 第81页
- 第82页
- 第83页
- 第84页
- 第85页
- 第86页
- 第87页
- 第88页
- 第89页
- 第90页
- 第91页
- 第92页
- 第93页
- 第94页
- 第95页
- 第96页
- 第97页
- 第98页
- 第99页
- 第100页
- 第101页
- 第102页
- 第103页
- 第104页
- 第105页
- 第106页
- 第107页
- 第108页
- 第109页
- 第110页
- 第111页
- 第112页
- 第113页
- 第114页
- 第115页
- 第116页
- 第117页
- 第118页
- 第119页
- 第120页
- 第121页
- 第122页
- 第123页
- 第124页
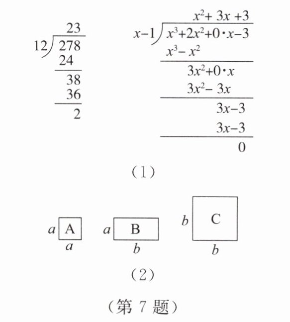
- 7. (数学思想方法)由两个或两类对象在某些方面的相同或相似,得出它们在其他方面也可能相同或相似的推理方法叫作类比法。多项式除以多项式可以类比多位数的除法进行计算。
如图(1),可得 $278÷ 12 = 23……2$,$(x^{3}+2x^{2}-3)÷ (x - 1)= x^{2}+3x + 3$。
即多项式除以多项式用竖式计算,步骤如下:
把被除式和除式按同一字母的指数从大到小依次排列(若有缺项用 $0$ 补齐);
用竖式进行运算;
当余式的次数低于除式的次数时,运算终止,得到商式和余式。若余式为 $0$,说明被除式能被除式整除。
例如:$(x^{3}+2x^{2}-3)÷ (x - 1)= x^{2}+3x + 3$,因为余式为 $0$,所以 $x^{3}+2x^{2}-3$ 能被 $x - 1$ 整除。

根据上述材料,请解答下列问题。
$(x^{2}+7x + 6)÷ (x + 1)=$
求$(6x^{3}+14x^{2}+19)÷ (3x^{2}-2x + 4)$所得的余式。
已知 $x^{3}-x^{2}+ax + 3$ 能被 $x + 3$ 整除,则 $a=$
如图(2),有 $3$ 张A卡片,$16$ 张B卡片,$5$ 张C卡片,能否将这 $24$ 张卡片拼成一个与原来总面积相等且一边长为 $a + 5b$ 的长方形?若能,求出另一边长;若不能,请说明理由。
【解】(2)余式是$4x-5$.
(4)能.另一边长为$3a+b$.
如图(1),可得 $278÷ 12 = 23……2$,$(x^{3}+2x^{2}-3)÷ (x - 1)= x^{2}+3x + 3$。
即多项式除以多项式用竖式计算,步骤如下:
把被除式和除式按同一字母的指数从大到小依次排列(若有缺项用 $0$ 补齐);
用竖式进行运算;
当余式的次数低于除式的次数时,运算终止,得到商式和余式。若余式为 $0$,说明被除式能被除式整除。
例如:$(x^{3}+2x^{2}-3)÷ (x - 1)= x^{2}+3x + 3$,因为余式为 $0$,所以 $x^{3}+2x^{2}-3$ 能被 $x - 1$ 整除。
根据上述材料,请解答下列问题。
$(x^{2}+7x + 6)÷ (x + 1)=$
$x+6$
。求$(6x^{3}+14x^{2}+19)÷ (3x^{2}-2x + 4)$所得的余式。
已知 $x^{3}-x^{2}+ax + 3$ 能被 $x + 3$ 整除,则 $a=$
$-11$
。如图(2),有 $3$ 张A卡片,$16$ 张B卡片,$5$ 张C卡片,能否将这 $24$ 张卡片拼成一个与原来总面积相等且一边长为 $a + 5b$ 的长方形?若能,求出另一边长;若不能,请说明理由。
【解】(2)余式是$4x-5$.
(4)能.另一边长为$3a+b$.
答案:
【解】(1)$x+6$
(2)余式是$4x-5$.
(3)$-11$
(4)能.另一边长为$3a+b$.
(2)余式是$4x-5$.
(3)$-11$
(4)能.另一边长为$3a+b$.
查看更多完整答案,请扫码查看