第41页
- 第2页
- 第3页
- 第4页
- 第5页
- 第6页
- 第7页
- 第8页
- 第9页
- 第10页
- 第11页
- 第12页
- 第13页
- 第14页
- 第15页
- 第16页
- 第17页
- 第18页
- 第19页
- 第20页
- 第21页
- 第22页
- 第23页
- 第24页
- 第25页
- 第26页
- 第27页
- 第28页
- 第29页
- 第30页
- 第31页
- 第32页
- 第33页
- 第34页
- 第35页
- 第36页
- 第37页
- 第38页
- 第39页
- 第40页
- 第41页
- 第42页
- 第43页
- 第44页
- 第45页
- 第46页
- 第47页
- 第48页
- 第49页
- 第50页
- 第51页
- 第52页
- 第53页
- 第54页
- 第55页
- 第56页
- 第57页
- 第58页
- 第59页
- 第60页
- 第61页
- 第62页
- 第63页
- 第64页
- 第65页
- 第66页
- 第67页
- 第68页
- 第69页
- 第70页
- 第71页
- 第72页
- 第73页
- 第74页
- 第75页
- 第76页
- 第77页
- 第78页
- 第79页
- 第80页
- 第81页
- 第82页
- 第83页
- 第84页
- 第85页
- 第86页
- 第87页
- 第88页
- 第89页
- 第90页
- 第91页
- 第92页
- 第93页
- 第94页
- 第95页
- 第96页
- 第97页
- 第98页
- 第99页
- 第100页
- 第101页
- 第102页
- 第103页
- 第104页
11. 在平面直角坐标系中,点$P(m^{2}+2025,-1)$一定在(
A.第一象限
B.第二象限
C.第三象限
D.第四象限
D
)A.第一象限
B.第二象限
C.第三象限
D.第四象限
答案:
D
12. 在平面直角坐标系中,若点$P(a,2)$在第二象限内,则点$Q(0,-a)$在(
A.$x$轴正半轴上
B.$x$轴负半轴上
C.$y$轴正半轴上
D.$y$轴负半轴上
C
)A.$x$轴正半轴上
B.$x$轴负半轴上
C.$y$轴正半轴上
D.$y$轴负半轴上
答案:
C
13. [2025·郑州航空港区期末]在平面直角坐标系中,第二象限内有一点$M$,点$M到x轴的距离为5$,到$y轴的距离为4$,则点$M$的坐标是
(-4,5)
。
答案:
(-4,5)
14. 在平面直角坐标系中,已知点$A(2,m + 1)和点B(-m + 3,-4)$。
(1)若点$B在y$轴上,则点$A$的坐标为____
(2)若点$A$,$B都在直线l上且直线l// x$轴,求$A$,$B$两点间的距离。
(1)若点$B在y$轴上,则点$A$的坐标为____
(2,4)
;(2)若点$A$,$B都在直线l上且直线l// x$轴,求$A$,$B$两点间的距离。
答案:
解:
(1)(2,4)
(2)A,B 两点间的距离为 6。
(1)(2,4)
(2)A,B 两点间的距离为 6。
15. 在平面直角坐标系中,点$A的坐标为(2 + a,2a - 6)$。
(1)点$A的纵坐标比横坐标大3$,求点$A$的坐标;
(2)若点$A$在第四象限,且到两坐标轴的距离之和为$9$,求$a$的值;
(3) [易错题]点$C的坐标为(4,b + 1)$,若直线$AC// y$轴,且线段$AC的长为5$,求$b的值及点C$的坐标。
(1)点$A的纵坐标比横坐标大3$,求点$A$的坐标;
(2)若点$A$在第四象限,且到两坐标轴的距离之和为$9$,求$a$的值;
(3) [易错题]点$C的坐标为(4,b + 1)$,若直线$AC// y$轴,且线段$AC的长为5$,求$b的值及点C$的坐标。
答案:
解:
(1)点 A 的坐标为(13,16)。
(2)a=-1。
(3)b=-8 或 2,点 C 的坐标为(4,-7)或(4,3)。
(1)点 A 的坐标为(13,16)。
(2)a=-1。
(3)b=-8 或 2,点 C 的坐标为(4,-7)或(4,3)。
1. [2025·新郑期中]在平面直角坐标系中,已知点$P(2m - 7,3 - m)$在第二、四象限的角平分线上,则点$P$的坐标为
(1,-1)
。
答案:
(1,-1)
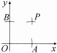
2. 新考向 尺规作图 如图,在$x$轴、$y轴上分别截取OA$,$OB$,使$OA = OB$,再分别以点$A$,$B$为圆心,以大于$\frac{1}{2}AB$的长为半径作弧,两弧交于点$P$。若点$P的坐标为(5 - a,a + 1)$,则$a$的值为

2
。
答案:
2
3. [易错题]已知点$P(2a + 5,10 - 3a)$位于两坐标轴所成角的平分线上,则点$P$的坐标为
(7,7)或(35,-35)
。
答案:
(7,7)或(35,-35)
查看更多完整答案,请扫码查看