第60页
- 第2页
- 第3页
- 第4页
- 第5页
- 第6页
- 第7页
- 第8页
- 第9页
- 第10页
- 第11页
- 第12页
- 第13页
- 第14页
- 第15页
- 第16页
- 第17页
- 第18页
- 第19页
- 第20页
- 第21页
- 第22页
- 第23页
- 第24页
- 第25页
- 第26页
- 第27页
- 第28页
- 第29页
- 第30页
- 第31页
- 第32页
- 第33页
- 第34页
- 第35页
- 第36页
- 第37页
- 第38页
- 第39页
- 第40页
- 第41页
- 第42页
- 第43页
- 第44页
- 第45页
- 第46页
- 第47页
- 第48页
- 第49页
- 第50页
- 第51页
- 第52页
- 第53页
- 第54页
- 第55页
- 第56页
- 第57页
- 第58页
- 第59页
- 第60页
- 第61页
- 第62页
- 第63页
- 第64页
- 第65页
- 第66页
- 第67页
- 第68页
- 第69页
- 第70页
- 第71页
- 第72页
- 第73页
- 第74页
- 第75页
- 第76页
- 第77页
- 第78页
- 第79页
- 第80页
- 第81页
- 第82页
- 第83页
- 第84页
- 第85页
- 第86页
- 第87页
- 第88页
- 第89页
- 第90页
- 第91页
- 第92页
- 第93页
- 第94页
- 第95页
- 第96页
- 第97页
- 第98页
- 第99页
- 第100页
- 第101页
- 第102页
- 第103页
- 第104页
1. 一次函数 $ y = -x + 2 $ 的图象大致是 (

C
)
答案:
C
2. [2024·兰州中考]一次函数 $ y = 2x - 3 $ 的图象不经过 (
A.第一象限
B.第二象限
C.第三象限
D.第四象限
B
)A.第一象限
B.第二象限
C.第三象限
D.第四象限
答案:
B
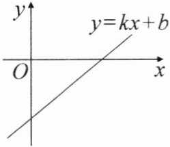
3. 已知一次函数 $ y = kx + b $ 的图象如图所示,则 $ k $,$ b $ 的取值范围分别是 (

A.$ k > 0 $,$ b > 0 $
B.$ k > 0 $,$ b < 0 $
C.$ k < 0 $,$ b > 0 $
D.$ k < 0 $,$ b < 0 $
B
)A.$ k > 0 $,$ b > 0 $
B.$ k > 0 $,$ b < 0 $
C.$ k < 0 $,$ b > 0 $
D.$ k < 0 $,$ b < 0 $
答案:
B
4. 已知点 $ A(a, -2) $ 在一次函数 $ y = 3x - 7 $ 的图象上,则 $ a = $
$\frac{5}{3}$
。
答案:
$\frac{5}{3}$
5. 已知一次函数 $ y = -3x - 3 $。
(1)求该函数的图象与两坐标轴的交点坐标;
(2)在如图所示的平面直角坐标系中,画出该函数的图象。

(1)求该函数的图象与两坐标轴的交点坐标;
(2)在如图所示的平面直角坐标系中,画出该函数的图象。
答案:
(1)该函数的图象与x轴的交点坐标为(-1,0),与y轴的交点坐标为(0,-3)。
(2)略。
(1)该函数的图象与x轴的交点坐标为(-1,0),与y轴的交点坐标为(0,-3)。
(2)略。
6. [2024·周口期末]若 $ y = kx - 9 $ 的函数值 $ y $ 随着 $ x $ 值的增大而减小,则 $ k $ 的值可能是 (
A.4
B.-3
C.0
D.$ \frac{1}{3} $
B
)A.4
B.-3
C.0
D.$ \frac{1}{3} $
答案:
B
7. 一次函数 $ y = \frac{3}{2}x + 3 $ 的图象上有两点 $ (1, y_1) $ 和 $ (-2, y_2) $,则 $ y_1 $ 与 $ y_2 $ 的大小关系是(
A.$ y_1 > y_2 $
B.$ y_1 < y_2 $
C.$ y_1 = y_2 $
D.无法比较
A
)A.$ y_1 > y_2 $
B.$ y_1 < y_2 $
C.$ y_1 = y_2 $
D.无法比较
答案:
A
8. 关于函数 $ y = -2x + 1 $,下列结论错误的是 (
A.图象经过点 $ (0, 1) $
B.$ y $ 的值随着 $ x $ 值的增大而减小
C.图象与直线 $ y = -2x + 3 $ 平行
D.图象经过第一、三、四象限
D
)A.图象经过点 $ (0, 1) $
B.$ y $ 的值随着 $ x $ 值的增大而减小
C.图象与直线 $ y = -2x + 3 $ 平行
D.图象经过第一、三、四象限
答案:
D
9. 新考向 开放性问题 若 $ y $ 与 $ x $ 成一次函数关系,且 $ y $ 的值随着 $ x $ 值的增大而增大,函数图象经过点 $ (0, -1) $,请写出一个满足上述要求的函数表达式:
$y=x-1$
。
答案:
$y=x-1$(答案不唯一,$y=kx-1$中$k>0$即可)
10. 将函数 $ y = 2x + 1 $ 的图象向下平移 2 个单位长度,所得图象对应的函数表达式是 (
A.$ y = 2x - 1 $
B.$ y = 2x + 3 $
C.$ y = 4x - 3 $
D.$ y = 4x + 5 $
A
)A.$ y = 2x - 1 $
B.$ y = 2x + 3 $
C.$ y = 4x - 3 $
D.$ y = 4x + 5 $
答案:
A
变式题 [逆向变式]将直线 $ y = 3x - 1 $ 平移后,得到直线 $ y = 3x + 6 $,则原直线向
上
(填“上”或“下”)平移了7
个单位长度。
答案:
上 7
11. 若一次函数 $ y = (3 - k)x + k - 4 $ 的图象不经过第一象限,则 $ k $ 的取值范围是
$3<k\leqslant4$
。
答案:
$3<k\leqslant4$
查看更多完整答案,请扫码查看