第71页
- 第1页
- 第2页
- 第3页
- 第4页
- 第5页
- 第6页
- 第7页
- 第8页
- 第9页
- 第10页
- 第11页
- 第12页
- 第13页
- 第14页
- 第15页
- 第16页
- 第17页
- 第18页
- 第19页
- 第20页
- 第21页
- 第22页
- 第23页
- 第24页
- 第25页
- 第26页
- 第27页
- 第28页
- 第29页
- 第30页
- 第31页
- 第32页
- 第33页
- 第34页
- 第35页
- 第36页
- 第37页
- 第38页
- 第39页
- 第40页
- 第41页
- 第42页
- 第43页
- 第44页
- 第45页
- 第46页
- 第47页
- 第48页
- 第49页
- 第50页
- 第51页
- 第52页
- 第53页
- 第54页
- 第55页
- 第56页
- 第57页
- 第58页
- 第59页
- 第60页
- 第61页
- 第62页
- 第63页
- 第64页
- 第65页
- 第66页
- 第67页
- 第68页
- 第69页
- 第70页
- 第71页
- 第72页
- 第73页
- 第74页
- 第75页
- 第76页
- 第77页
- 第78页
- 第79页
- 第80页
- 第81页
- 第82页
- 第83页
- 第84页
- 第85页
- 第86页
- 第87页
- 第88页
- 第89页
- 第90页
- 第91页
- 第92页
- 第93页
- 第94页
- 第95页
- 第96页
- 第97页
- 第98页
- 第99页
- 第100页
- 第101页
- 第102页
- 第103页
- 第104页
- 第105页
- 第106页
- 第107页
- 第108页
- 第109页
- 第110页
- 第111页
- 第112页
- 第113页
- 第114页
- 第115页
- 第116页
- 第117页
- 第118页
- 第119页
- 第120页
- 第121页
- 第122页
- 第123页
- 第124页
- 第125页
10. (1)某公园的门票价格:成人票每张 $ 10 $ 元,学生票每张 $ 5 $ 元。一个旅游团有成人 $ x $ 名、学生 $ y $ 名,那么该旅游团应付多少元门票费?
(2)如果该旅游团有 $ 37 $ 名成人、$15$ 名学生,那么他们应付多少元门票费?
(2)如果该旅游团有 $ 37 $ 名成人、$15$ 名学生,那么他们应付多少元门票费?
答案:
解:
(1)(10x+5y)元.
(2)他们应付445元门票费.
(1)(10x+5y)元.
(2)他们应付445元门票费.
11. 如图所示,设包装盒底面的长为 $ x $。
(1)用含 $ x $ 的代数式表示包装盒的体积。
(2)用含 $ x $ 的代数式表示包装盒的表面积。
(3)如果 $ x = 9 $,分别求包装盒的体积和表面积。

(1)用含 $ x $ 的代数式表示包装盒的体积。
(2)用含 $ x $ 的代数式表示包装盒的表面积。
(3)如果 $ x = 9 $,分别求包装盒的体积和表面积。
答案:
解:
(1)90x.
(2)42x+180.
(3)包装盒的体积为810;包装盒的表面积为558.
(1)90x.
(2)42x+180.
(3)包装盒的体积为810;包装盒的表面积为558.
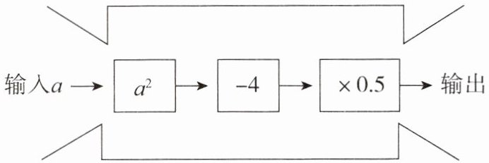
12. 一个数值转换机如图所示,若输入的 $ a $ 值为 $ 2 $,则输出的结果应为(

A.$2$
B.$1$
C.$-2$
D.$0$
D
)A.$2$
B.$1$
C.$-2$
D.$0$
答案:
D
13. 定义如下运算程序,当输入 $ a = 4 $,$ b = - 2 $ 时,输出的结果为多少?

答案:
解:2.
查看更多完整答案,请扫码查看