第98页
- 第1页
- 第2页
- 第3页
- 第4页
- 第5页
- 第6页
- 第7页
- 第8页
- 第9页
- 第10页
- 第11页
- 第12页
- 第13页
- 第14页
- 第15页
- 第16页
- 第17页
- 第18页
- 第19页
- 第20页
- 第21页
- 第22页
- 第23页
- 第24页
- 第25页
- 第26页
- 第27页
- 第28页
- 第29页
- 第30页
- 第31页
- 第32页
- 第33页
- 第34页
- 第35页
- 第36页
- 第37页
- 第38页
- 第39页
- 第40页
- 第41页
- 第42页
- 第43页
- 第44页
- 第45页
- 第46页
- 第47页
- 第48页
- 第49页
- 第50页
- 第51页
- 第52页
- 第53页
- 第54页
- 第55页
- 第56页
- 第57页
- 第58页
- 第59页
- 第60页
- 第61页
- 第62页
- 第63页
- 第64页
- 第65页
- 第66页
- 第67页
- 第68页
- 第69页
- 第70页
- 第71页
- 第72页
- 第73页
- 第74页
- 第75页
- 第76页
- 第77页
- 第78页
- 第79页
- 第80页
- 第81页
- 第82页
- 第83页
- 第84页
- 第85页
- 第86页
- 第87页
- 第88页
- 第89页
- 第90页
- 第91页
- 第92页
- 第93页
- 第94页
- 第95页
- 第96页
- 第97页
- 第98页
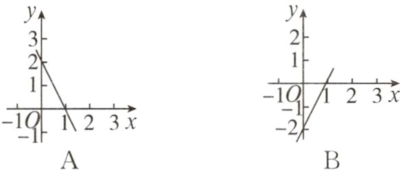
1. 下列图象中,以方程2x + y - 2 = 0的解为坐标的点组成的图象是( )

答案:
A
2. 已知,一次函数y = 2x和y = ax + 4的图象相交于点A(m,3),则关于x,y的方程组$\begin{cases}y = 2x \\ y = ax + 4\end{cases}$的解为( )
A. $\begin{cases}x = \frac{3}{2} \\ y = 3\end{cases}$
B. $\begin{cases}x = 3 \\ y = \frac{3}{2}\end{cases}$
C. $\begin{cases}x = 3 \\ y = 2\end{cases}$
D. $\begin{cases}x = 2 \\ y = 3\end{cases}$
A. $\begin{cases}x = \frac{3}{2} \\ y = 3\end{cases}$
B. $\begin{cases}x = 3 \\ y = \frac{3}{2}\end{cases}$
C. $\begin{cases}x = 3 \\ y = 2\end{cases}$
D. $\begin{cases}x = 2 \\ y = 3\end{cases}$
答案:
A
3. 不解方程,下列方程组中无解的是( )
A. $\begin{cases}2x - y = 2 \\ 3x + y = 1\end{cases}$
B. $\begin{cases}y = 2x \\ y = 2x - 1\end{cases}$
C. $\begin{cases}y = 2x - 1 \\ 2y = 4x - 2\end{cases}$
D. $\begin{cases}x + 2y = 2 \\ 2x + 3y = 1\end{cases}$
A. $\begin{cases}2x - y = 2 \\ 3x + y = 1\end{cases}$
B. $\begin{cases}y = 2x \\ y = 2x - 1\end{cases}$
C. $\begin{cases}y = 2x - 1 \\ 2y = 4x - 2\end{cases}$
D. $\begin{cases}x + 2y = 2 \\ 2x + 3y = 1\end{cases}$
答案:
B
4. 当函数y = $\frac{1}{2}$x + 1与y = - x - 5的函数值相等时,其自变量x的值是________.
答案:
-4
5. 如图,在同一平面直角坐标系中,直线l1:y = $\frac{1}{4}$x + $\frac{1}{2}$与直线l2:y = kx + 3相交于点A,则方程组$\begin{cases}y = \frac{1}{4}x + \frac{1}{2} \\ y = kx + 3\end{cases}$的解为________.

答案:
x = 2,y = 1
6. 如图所示的两条直线l1,l2的交点坐标可以看作方程组__________的解.

答案:
$\begin{cases}y = 2x + 1,\\y = -x + 4\end{cases}$
7. 如图,在平面直角坐标系中,两直线交于点P,求交点P的坐标.

答案:
解:解方程组$\begin{cases}y = \frac{1}{2}x,\\y = -x + 6,\end{cases}$可得$\begin{cases}x = 4,\\y = 2.\end{cases}$
∴交点P的坐标为(4,2).
∴交点P的坐标为(4,2).
8. 若直线y = 2x + b经过直线y = x - 2与直线y = 3x + 4的交点,则b的值为( )
A. -11
B. -1
C. 1
D. 6
A. -11
B. -1
C. 1
D. 6
答案:
C
9. 已知点P的坐标为(a,b),现将它向左平移5个单位长度,再向下平移4个单位长度,得到点P'的坐标为(-2b,-2a).
(1)为了求得点P和点P'的坐标,根据题意可列方程组为__________.
(2)请用图象法求出a,b的值(在网格中作图).
(3)请写出点P和点P'的坐标.

(1)为了求得点P和点P'的坐标,根据题意可列方程组为__________.
(2)请用图象法求出a,b的值(在网格中作图).
(3)请写出点P和点P'的坐标.
答案:
解:
(1)$\begin{cases}a - 5 = -2b,\\b - 4 = -2a.\end{cases}$
(2)由方程组得①$b = -\frac{1}{2}a + \frac{5}{2}$,②$b = -2a + 4$,画出函数图象如图所示.
由图象得方程组的解为$\begin{cases}a = 1,\\b = 2.\end{cases}$
∴a = 1,b = 2.
(3)由
(2)知点P的坐标为(1,2).点P'的坐标为(-4,-2).
解:
(1)$\begin{cases}a - 5 = -2b,\\b - 4 = -2a.\end{cases}$
(2)由方程组得①$b = -\frac{1}{2}a + \frac{5}{2}$,②$b = -2a + 4$,画出函数图象如图所示.
由图象得方程组的解为$\begin{cases}a = 1,\\b = 2.\end{cases}$
∴a = 1,b = 2.
(3)由
(2)知点P的坐标为(1,2).点P'的坐标为(-4,-2).
查看更多完整答案,请扫码查看