第97页
- 第1页
- 第2页
- 第3页
- 第4页
- 第5页
- 第6页
- 第7页
- 第8页
- 第9页
- 第10页
- 第11页
- 第12页
- 第13页
- 第14页
- 第15页
- 第16页
- 第17页
- 第18页
- 第19页
- 第20页
- 第21页
- 第22页
- 第23页
- 第24页
- 第25页
- 第26页
- 第27页
- 第28页
- 第29页
- 第30页
- 第31页
- 第32页
- 第33页
- 第34页
- 第35页
- 第36页
- 第37页
- 第38页
- 第39页
- 第40页
- 第41页
- 第42页
- 第43页
- 第44页
- 第45页
- 第46页
- 第47页
- 第48页
- 第49页
- 第50页
- 第51页
- 第52页
- 第53页
- 第54页
- 第55页
- 第56页
- 第57页
- 第58页
- 第59页
- 第60页
- 第61页
- 第62页
- 第63页
- 第64页
- 第65页
- 第66页
- 第67页
- 第68页
- 第69页
- 第70页
- 第71页
- 第72页
- 第73页
- 第74页
- 第75页
- 第76页
- 第77页
- 第78页
- 第79页
- 第80页
- 第81页
- 第82页
- 第83页
- 第84页
- 第85页
- 第86页
- 第87页
- 第88页
- 第89页
- 第90页
- 第91页
- 第92页
- 第93页
- 第94页
- 第95页
- 第96页
- 第97页
- 第98页
1. 把二元一次方程3y - 2x = 12化为y = kx + b的形式为( )
A. y = - $\frac{2}{3}$x + 4
B. y = $\frac{2}{3}$x - 4
C. y = $\frac{2}{3}$x + 4
D. y = - $\frac{2}{3}$x - 4
A. y = - $\frac{2}{3}$x + 4
B. y = $\frac{2}{3}$x - 4
C. y = $\frac{2}{3}$x + 4
D. y = - $\frac{2}{3}$x - 4
答案:
C
2. 二元一次方程组$\begin{cases}x + y = 5 \\ 2x - y = 1\end{cases}$的解为$\begin{cases}x = 2 \\ y = 3\end{cases}$,则一次函数y = 5 - x与y = 2x - 1的图象的交点坐标为( )
A. (2,3)
B. (3,2)
C. (-2,3)
D. (2,-3)
A. (2,3)
B. (3,2)
C. (-2,3)
D. (2,-3)
答案:
A
3. 若直线y = 2x - 3与直线y = 5x + 2的交点坐标为(a,b),则解为$\begin{cases}x = a \\ y = b\end{cases}$的方程组是( )
A. $\begin{cases}y - 2x = -3 \\ 5x + y = -2\end{cases}$
B. $\begin{cases}2x - 3 + y = 0 \\ 5x - 2 - y = 0\end{cases}$
C. $\begin{cases}2x - 3 - y = 0 \\ 5x + 2 - y = 0\end{cases}$
D. $\begin{cases}2x - y = -3 \\ 5x - y = 2\end{cases}$
A. $\begin{cases}y - 2x = -3 \\ 5x + y = -2\end{cases}$
B. $\begin{cases}2x - 3 + y = 0 \\ 5x - 2 - y = 0\end{cases}$
C. $\begin{cases}2x - 3 - y = 0 \\ 5x + 2 - y = 0\end{cases}$
D. $\begin{cases}2x - y = -3 \\ 5x - y = 2\end{cases}$
答案:
C
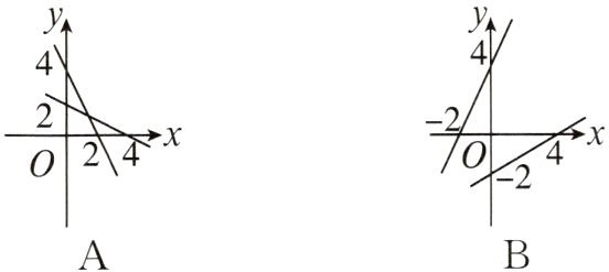
4. 用图象法解方程组$\begin{cases}x - 2y = 4 \\ 2x + y = 4\end{cases}$时,下列选项中的图象正确的是( )

答案:
C
5. 如图,已知函数y = x + 1和y = ax + 3的图象交于点P,点P的横坐标为1,则关于x,y的方程组$\begin{cases}x - y = -1 \\ ax - y = -3\end{cases}$的解是( )

A. $\begin{cases}x = 1 \\ y = 2\end{cases}$
B. $\begin{cases}x = 2 \\ y = 1\end{cases}$
C. $\begin{cases}x = 1 \\ y = -2\end{cases}$
D. $\begin{cases}x = -2 \\ y = 1\end{cases}$
A. $\begin{cases}x = 1 \\ y = 2\end{cases}$
B. $\begin{cases}x = 2 \\ y = 1\end{cases}$
C. $\begin{cases}x = 1 \\ y = -2\end{cases}$
D. $\begin{cases}x = -2 \\ y = 1\end{cases}$
答案:
A
查看更多完整答案,请扫码查看