第92页
- 第1页
- 第2页
- 第3页
- 第4页
- 第5页
- 第6页
- 第7页
- 第8页
- 第9页
- 第10页
- 第11页
- 第12页
- 第13页
- 第14页
- 第15页
- 第16页
- 第17页
- 第18页
- 第19页
- 第20页
- 第21页
- 第22页
- 第23页
- 第24页
- 第25页
- 第26页
- 第27页
- 第28页
- 第29页
- 第30页
- 第31页
- 第32页
- 第33页
- 第34页
- 第35页
- 第36页
- 第37页
- 第38页
- 第39页
- 第40页
- 第41页
- 第42页
- 第43页
- 第44页
- 第45页
- 第46页
- 第47页
- 第48页
- 第49页
- 第50页
- 第51页
- 第52页
- 第53页
- 第54页
- 第55页
- 第56页
- 第57页
- 第58页
- 第59页
- 第60页
- 第61页
- 第62页
- 第63页
- 第64页
- 第65页
- 第66页
- 第67页
- 第68页
- 第69页
- 第70页
- 第71页
- 第72页
- 第73页
- 第74页
- 第75页
- 第76页
- 第77页
- 第78页
- 第79页
- 第80页
- 第81页
- 第82页
- 第83页
- 第84页
- 第85页
- 第86页
- 第87页
- 第88页
- 第89页
- 第90页
- 第91页
- 第92页
- 第93页
- 第94页
- 第95页
1.(2024 广西防城港上思月考)下列函数不是一次函数的是 ( )
A.$y = 2x + 1$
B.$y = \sqrt{2}x + 1$
C.$y = \frac{2}{x}$
D.$y = 2x$
A.$y = 2x + 1$
B.$y = \sqrt{2}x + 1$
C.$y = \frac{2}{x}$
D.$y = 2x$
答案:
C 根据一次函数的定义知选 C.
2.已知下列函数:①$y = 2024x$;②$y - 8x = 13$;③$y = - 1$;④$y = 3x^{2} + 7$;⑤$y = x - 5$,其中$y$是关于$x$的一次函数的是 ( )
A.①③④⑤
B.②③⑤
C.①②⑤
D.②⑤
A.①③④⑤
B.②③⑤
C.①②⑤
D.②⑤
答案:
C 由一次函数的定义可知,①②⑤是一次函数.
3.新独家原创 当$m =$____时,函数$y = (m - 1)x^{|m|}-2024$是一次函数.
答案:
答案 -1
解析
∵$y=(m - 1)x^{|m|}-2024$是一次函数,
∴$|m| = 1$且$m - 1\neq0$,
∴$m = - 1$.
解析
∵$y=(m - 1)x^{|m|}-2024$是一次函数,
∴$|m| = 1$且$m - 1\neq0$,
∴$m = - 1$.
4.当$m =$____时,函数$y = (m - 3)x^{m^{2}-8}+m + 2$是一次函数.
答案:
答案 -3
解析
∵$y=(m - 3)x^{m^{2}-8}+m + 2$是一次函数,
∴$m^{2}-8 = 1$且$m - 3\neq0$,
∴$m = - 3$.
解析
∵$y=(m - 3)x^{m^{2}-8}+m + 2$是一次函数,
∴$m^{2}-8 = 1$且$m - 3\neq0$,
∴$m = - 3$.
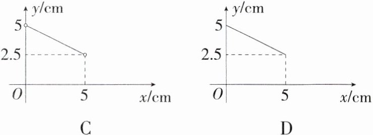
5.若等腰三角形的周长是$10\ cm$,则能反映这个等腰三角形的腰长$y(cm)$与底边长$x(cm)$的函数关系的图象是 ( )


答案:
C 解析 由题意得$x + 2y = 10$,即$y=-\frac{1}{2}x + 5(0\lt x\lt5)$,
∴$\frac{5}{2}\lt y\lt5$,故选 C.
∴$\frac{5}{2}\lt y\lt5$,故选 C.
6.已知一次函数的图象经过点$P(0,-2)$,且与两条坐标轴相交而截得的直角三角形的面积为$3$,则该一次函数的解析式为____________.
答案:
答案 $y=\frac{2}{3}x - 2$或$y=-\frac{2}{3}x - 2$
解析 设该一次函数的解析式为$y = kx - 2(k\neq0)$,令$y = 0$,得$x=\frac{2}{k}$,则该函数图象与$x$轴的交点坐标为$(\frac{2}{k},0)$,
∴直角三角形的面积为$\frac{1}{2}\times2\times|\frac{2}{k}| = 3$,解得$k=\pm\frac{2}{3}$.
∴该一次函数的解析式为$y=\frac{2}{3}x - 2$或$y=-\frac{2}{3}x - 2$.
解析 设该一次函数的解析式为$y = kx - 2(k\neq0)$,令$y = 0$,得$x=\frac{2}{k}$,则该函数图象与$x$轴的交点坐标为$(\frac{2}{k},0)$,
∴直角三角形的面积为$\frac{1}{2}\times2\times|\frac{2}{k}| = 3$,解得$k=\pm\frac{2}{3}$.
∴该一次函数的解析式为$y=\frac{2}{3}x - 2$或$y=-\frac{2}{3}x - 2$.
7.(2024 湖南娄底期末)如图,直线$y = - 2x + 2$与$x$轴交于点$A$,与$y$轴交于点$B$.
(1)求点$A,B$的坐标.
(2)若点$C$在$x$轴上,且$S_{\triangle ABC}=2S_{\triangle AOB}$,求点$C$的坐标.
(1)求点$A,B$的坐标.
(2)若点$C$在$x$轴上,且$S_{\triangle ABC}=2S_{\triangle AOB}$,求点$C$的坐标.
答案:
解析
(1)对于$y = - 2x + 2$,令$y = 0$,则$-2x + 2 = 0$,
∴$x = 1$,
∴$A(1,0)$,令$x = 0$,则$y = 2$,
∴$B(0,2)$.
(2)设点$C$的坐标为$(m,0)$,
$S_{\triangle AOB}=\frac{1}{2}OA\cdot OB=\frac{1}{2}\times1\times2 = 1$,$S_{\triangle ABC}=\frac{1}{2}AC\cdot OB=\frac{1}{2}|m - 1|\times2 = |m - 1|$,
∵$S_{\triangle ABC}=2S_{\triangle AOB}$,
∴$|m - 1| = 2$,
∴$m = 3$或$m = - 1$,即点$C$的坐标为$(3,0)$或$(-1,0)$.
(1)对于$y = - 2x + 2$,令$y = 0$,则$-2x + 2 = 0$,
∴$x = 1$,
∴$A(1,0)$,令$x = 0$,则$y = 2$,
∴$B(0,2)$.
(2)设点$C$的坐标为$(m,0)$,
$S_{\triangle AOB}=\frac{1}{2}OA\cdot OB=\frac{1}{2}\times1\times2 = 1$,$S_{\triangle ABC}=\frac{1}{2}AC\cdot OB=\frac{1}{2}|m - 1|\times2 = |m - 1|$,
∵$S_{\triangle ABC}=2S_{\triangle AOB}$,
∴$|m - 1| = 2$,
∴$m = 3$或$m = - 1$,即点$C$的坐标为$(3,0)$或$(-1,0)$.
8.已知直线$y = (2a + 4)x-(3 - a)$.
(1)当$a$为何值时,该直线过原点?
(2)当$a$为何值时,该直线不经过第二象限?
(1)当$a$为何值时,该直线过原点?
(2)当$a$为何值时,该直线不经过第二象限?
答案:
解析
(1)根据题意得$\begin{cases}2a + 4\neq0\\-(3 - a)=0\end{cases}$,解得$a = 3$.
(2)根据题意得$\begin{cases}2a + 4\geq0\\-(3 - a)\leq0\end{cases}$,解得$-2\leq a\leq3$.
(1)根据题意得$\begin{cases}2a + 4\neq0\\-(3 - a)=0\end{cases}$,解得$a = 3$.
(2)根据题意得$\begin{cases}2a + 4\geq0\\-(3 - a)\leq0\end{cases}$,解得$-2\leq a\leq3$.
9.一次函数$y = kx + b$,当$-3\leqslant x\leqslant1$时,对应的函数值为$1\leqslant y\leqslant9$,求$k + b$的值.(M8204003)
答案:
解析 由一次函数的增减性可知,①若该一次函数的$y$值随$x$值的增大而增大,则有$x = - 3$时,$y = 1$,$x = 1$时,$y = 9$,代入可得$\begin{cases}1=-3k + b\\9=k + b\end{cases}$,解得$\begin{cases}k = 2\\b = 7\end{cases}$,
∴$k + b = 9$.
②若该一次函数的$y$值随$x$值的增大而减小,则有$x = - 3$时,$y = 9$,$x = 1$时,$y = 1$,代入可得$\begin{cases}9=-3k + b\\1=k + b\end{cases}$,解得$\begin{cases}k=-2\\b = 3\end{cases}$,
∴$k + b = 1$.
综上可知,$k + b$的值为 9 或 1.
∴$k + b = 9$.
②若该一次函数的$y$值随$x$值的增大而减小,则有$x = - 3$时,$y = 9$,$x = 1$时,$y = 1$,代入可得$\begin{cases}9=-3k + b\\1=k + b\end{cases}$,解得$\begin{cases}k=-2\\b = 3\end{cases}$,
∴$k + b = 1$.
综上可知,$k + b$的值为 9 或 1.
查看更多完整答案,请扫码查看