第15页
- 第1页
- 第2页
- 第3页
- 第4页
- 第5页
- 第6页
- 第7页
- 第8页
- 第9页
- 第10页
- 第11页
- 第12页
- 第13页
- 第14页
- 第15页
- 第16页
- 第17页
- 第18页
- 第19页
- 第20页
- 第21页
- 第22页
- 第23页
- 第24页
- 第25页
- 第26页
- 第27页
- 第28页
- 第29页
- 第30页
- 第31页
- 第32页
- 第33页
- 第34页
- 第35页
- 第36页
- 第37页
- 第38页
- 第39页
- 第40页
- 第41页
- 第42页
- 第43页
- 第44页
- 第45页
- 第46页
- 第47页
- 第48页
- 第49页
- 第50页
- 第51页
- 第52页
- 第53页
- 第54页
- 第55页
- 第56页
- 第57页
- 第58页
- 第59页
- 第60页
- 第61页
- 第62页
- 第63页
- 第64页
- 第65页
- 第66页
- 第67页
- 第68页
- 第69页
- 第70页
- 第71页
- 第72页
- 第73页
- 第74页
- 第75页
- 第76页
- 第77页
- 第78页
- 第79页
- 第80页
- 第81页
- 第82页
- 第83页
- 第84页
- 第85页
- 第86页
- 第87页
- 第88页
- 第89页
- 第90页
- 第91页
- 第92页
- 第93页
- 第94页
- 第95页
- 第96页
- 第97页
- 第98页
1. 两条平行直线被第三条直线所截,同位角________. 简单说成:两直线平行,________.
答案:
相等 同位角相等
2. 两条平行直线被第三条直线所截,内错角________. 简单说成:两直线平行,________.
答案:
相等 内错角相等
3. 两条平行直线被第三条直线所截,同旁内角________. 简单说成:两直线平行,________.
答案:
互补 同旁内角互补
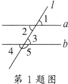
1. 如图,已知a//b,l分别与a,b相交,下列结论中错误的是( )

A. ∠1 = ∠3
B. ∠2 = ∠3
C. ∠1 = ∠4
D. ∠2 = ∠5
A. ∠1 = ∠3
B. ∠2 = ∠3
C. ∠1 = ∠4
D. ∠2 = ∠5
答案:
D
2.(2023石家庄桥西区期末)如图,在一束平行光线中插入一张对边平行的纸板,如果光线与纸板右下方所成的∠1是72°,那么光线与纸板左上方所成的∠2的度数是( )

A. 18°
B. 70°
C. 72°
D. 108°
A. 18°
B. 70°
C. 72°
D. 108°
答案:
C
3.(2024保定期中)将一把直尺和一块直角三角板如图放置,其中∠C = 90°,∠BAC = 30°. 直尺的一边DE经过顶点A,若DE//CB,则∠DAB的度数为________.

答案:
120°
4. 如图,已知DE//BC,BE平分∠DBC,∠D = 110°,求∠E的度数.

答案:
解:因为DE//BC,所以∠D + ∠DBC = 180°. 所以∠DBC = 70°. 又因为BE平分∠DBC,所以∠EBC = $\frac{1}{2}$∠DBC = 35°. 又因为DE//BC,所以∠E = ∠EBC. 所以∠E = 35°.
1.(2024承德平泉期末)如图,把三角板的直角顶点放在直线b上,若a//b,∠1 = 54°,则∠2为( )

A. 36°
B. 26°
C. 46°
D. 35°
A. 36°
B. 26°
C. 46°
D. 35°
答案:
A
2. 如图,AB//DC,AD//BC,AC,BD相交于点O,下列结论:①∠DAC = ∠BCA;②∠DAC = ∠DBC;③∠AOB = ∠COD;④∠ABC + ∠BCD = 180°. 其中正确的个数有( )

A. 1
B. 2
C. 3
D. 4
A. 1
B. 2
C. 3
D. 4
答案:
C
查看更多完整答案,请扫码查看