第112页
- 第1页
- 第2页
- 第3页
- 第4页
- 第5页
- 第6页
- 第7页
- 第8页
- 第9页
- 第10页
- 第11页
- 第12页
- 第13页
- 第14页
- 第15页
- 第16页
- 第17页
- 第18页
- 第19页
- 第20页
- 第21页
- 第22页
- 第23页
- 第24页
- 第25页
- 第26页
- 第27页
- 第28页
- 第29页
- 第30页
- 第31页
- 第32页
- 第33页
- 第34页
- 第35页
- 第36页
- 第37页
- 第38页
- 第39页
- 第40页
- 第41页
- 第42页
- 第43页
- 第44页
- 第45页
- 第46页
- 第47页
- 第48页
- 第49页
- 第50页
- 第51页
- 第52页
- 第53页
- 第54页
- 第55页
- 第56页
- 第57页
- 第58页
- 第59页
- 第60页
- 第61页
- 第62页
- 第63页
- 第64页
- 第65页
- 第66页
- 第67页
- 第68页
- 第69页
- 第70页
- 第71页
- 第72页
- 第73页
- 第74页
- 第75页
- 第76页
- 第77页
- 第78页
- 第79页
- 第80页
- 第81页
- 第82页
- 第83页
- 第84页
- 第85页
- 第86页
- 第87页
- 第88页
- 第89页
- 第90页
- 第91页
- 第92页
- 第93页
- 第94页
- 第95页
- 第96页
- 第97页
- 第98页
- 第99页
- 第100页
- 第101页
- 第102页
- 第103页
- 第104页
- 第105页
- 第106页
- 第107页
- 第108页
- 第109页
- 第110页
- 第111页
- 第112页
- 第113页
- 第114页
- 第115页
- 第116页
- 第117页
- 第118页
- 第119页
- 第120页
- 第121页
- 第122页
- 第123页
- 第124页
- 第125页
- 第126页
- 第127页
- 第128页
18.(★★)先化简,再求值:$(a + b)(a - b) + (4ab^{3} - 8a^{2}b^{2}) ÷ (4ab)$,其中$a = 2$,$b = 1$。
答案:
由题意,得$(a+b)(a-b)+(4ab^{3}-8a^{2}b^{2})÷(4ab)=(a^{2}-b^{2})+(4ab^{3})÷(4ab)-(8a^{2}b^{2})÷(4ab)=a^{2}-b^{2}+b^{2}-2ab=a^{2}-2ab.$当$a=2,b=1$时,原式$=2^{2}-2×2×1=4-4=0.$
19.(★★)如图,某市有一块长为$(3a + b)m$、宽为$(2a + b)m$的长方形地块,中间是边长为$(a + b)m$的正方形,规划部门计划在中间的正方形上修建一座雕像,四周的阴影部分进行绿化。
(1)绿化的面积是多少平方米?(用含字母$a$,$b$的式子表示)
(2)求出当$a = 20$,$b = 12$时的绿化面积。

(1)绿化的面积是多少平方米?(用含字母$a$,$b$的式子表示)
(2)求出当$a = 20$,$b = 12$时的绿化面积。
答案:
(1)由题意,得$(3a+b)(2a+b)-(a+b)^{2}=6a^{2}+3ab+2ab+b^{2}-(a^{2}+2ab+b^{2})=6a^{2}+5ab+b^{2}-a^{2}-2ab-b^{2}=5a^{2}+3ab.$所以绿化的面积是$(5a^{2}+3ab)m^{2}.$
(2)当$a=20,b=12$时,$5a^{2}+3ab=5×20^{2}+3×20×12=2000+720=2720.$所以当$a=20,b=12$时的绿化面积是$2720m^{2}.$
(1)由题意,得$(3a+b)(2a+b)-(a+b)^{2}=6a^{2}+3ab+2ab+b^{2}-(a^{2}+2ab+b^{2})=6a^{2}+5ab+b^{2}-a^{2}-2ab-b^{2}=5a^{2}+3ab.$所以绿化的面积是$(5a^{2}+3ab)m^{2}.$
(2)当$a=20,b=12$时,$5a^{2}+3ab=5×20^{2}+3×20×12=2000+720=2720.$所以当$a=20,b=12$时的绿化面积是$2720m^{2}.$
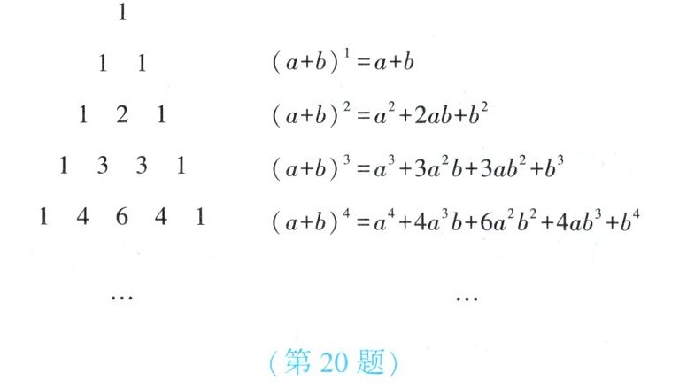
20.(★★★)阅读材料:“杨辉三角”,又称“贾宪三角”,是二项式系数在三角形中的一种几何排列,西方人帕斯卡发现时,已比宋代杨辉要迟三百多年。如图,根据你观察的“杨辉三角”的排列规律,解决下列问题。
(1)$(a + b)^{5}$的展开式共有
(2)①计算:$2^{5} - 5 × 2^{4} + 10 × 2^{3} - 10 × 2^{2} + 5 × 2 - 1$;
②猜想:$(2x - 1)^{6}的展开式中含x^{3}$项的系数是
(3)运用:若今天是星期五,则再过$8^{6}$天是星期

(1)$(a + b)^{5}$的展开式共有
6
项,$(a + b)^{6}$的第三项的系数是15
。(2)①计算:$2^{5} - 5 × 2^{4} + 10 × 2^{3} - 10 × 2^{2} + 5 × 2 - 1$;
②猜想:$(2x - 1)^{6}的展开式中含x^{3}$项的系数是
-160
。(3)运用:若今天是星期五,则再过$8^{6}$天是星期
六
。
答案:
(1)6 15
(2)①$2^{5}-5×2^{4}+10×2^{3}-10×2^{2}+5×2-1=(2-1)^{5}=1.$②-160 提示:$(2x-1)^{6}=(2x)^{6}-6×(2x)^{5}+15×(2x)^{4}-20×(2x)^{3}+15×(2x)^{2}-6×2x+1,$所以含$x^{3}$项的系数为$-20×2^{3}=-160.$
(3)六 提示:$8^{6}=(7+1)^{6}=7^{6}+6×7^{5}+15×7^{4}+20×7^{3}+15×7^{2}+6×7+1,$所以再过$8^{6}$天是星期六.
(1)6 15
(2)①$2^{5}-5×2^{4}+10×2^{3}-10×2^{2}+5×2-1=(2-1)^{5}=1.$②-160 提示:$(2x-1)^{6}=(2x)^{6}-6×(2x)^{5}+15×(2x)^{4}-20×(2x)^{3}+15×(2x)^{2}-6×2x+1,$所以含$x^{3}$项的系数为$-20×2^{3}=-160.$
(3)六 提示:$8^{6}=(7+1)^{6}=7^{6}+6×7^{5}+15×7^{4}+20×7^{3}+15×7^{2}+6×7+1,$所以再过$8^{6}$天是星期六.
查看更多完整答案,请扫码查看