第46页
- 第1页
- 第2页
- 第3页
- 第4页
- 第5页
- 第6页
- 第7页
- 第8页
- 第9页
- 第10页
- 第11页
- 第12页
- 第13页
- 第14页
- 第15页
- 第16页
- 第17页
- 第18页
- 第19页
- 第20页
- 第21页
- 第22页
- 第23页
- 第24页
- 第25页
- 第26页
- 第27页
- 第28页
- 第29页
- 第30页
- 第31页
- 第32页
- 第33页
- 第34页
- 第35页
- 第36页
- 第37页
- 第38页
- 第39页
- 第40页
- 第41页
- 第42页
- 第43页
- 第44页
- 第45页
- 第46页
- 第47页
- 第48页
- 第49页
- 第50页
- 第51页
- 第52页
- 第53页
- 第54页
- 第55页
- 第56页
- 第57页
- 第58页
- 第59页
- 第60页
- 第61页
- 第62页
- 第63页
- 第64页
- 第65页
- 第66页
- 第67页
- 第68页
- 第69页
- 第70页
- 第71页
- 第72页
- 第73页
- 第74页
- 第75页
- 第76页
- 第77页
- 第78页
- 第79页
- 第80页
- 第81页
- 第82页
- 第83页
- 第84页
- 第85页
- 第86页
- 第87页
- 第88页
- 第89页
- 第90页
- 第91页
- 第92页
10. 下面说法中正确的是(
A.“同位角相等”的题设是“两个角相等”
B.“相等的角是对顶角”是假命题.
C.如果 $ab = 0$,那么 $a + b = 0$ 是真命题
D.“任何偶数都是 4 的倍数”是真命题
B
)A.“同位角相等”的题设是“两个角相等”
B.“相等的角是对顶角”是假命题.
C.如果 $ab = 0$,那么 $a + b = 0$ 是真命题
D.“任何偶数都是 4 的倍数”是真命题
答案:
B
11. 能说明“锐角 $\alpha$,锐角 $\beta$ 的和是锐角”是假命题的例证图是(
]

C
)]
答案:
C
12.(枫杨外国语学校期末)下列命题:①数轴上的点和实数是一一对应的;②若点 $Q(-2,-1)$,则点 $Q$ 关于 $x$ 轴对称的点的坐标为 $(2,-1)$;③三角形的一个外角大于任何一个与其不相邻的内角;④在 $Rt\triangle ABC$ 中,已知两边长分别是 3 和 4,则第三条边长为 5.其中真命题为
①③
.(填序号)
答案:
①③
13. 新考向 结论开放 对于同一平面内的三条直线 $a$,$b$,$c$,给出下列五个论断:①$a// b$;②$b// c$;③$a\perp b$;④$a// c$;⑤$a\perp c$.以其中两个论断为条件,一个论断为结论,组成一个你认为正确的命题:
如果a//b,b//c.那么a//c(答案不唯一)
.
答案:
如果a//b,b//c.那么a//c(答案不唯一)
14. 判断下列语句是不是命题,如果是命题,是真命题还是假命题?若是假命题,请举出反例.
(1)两直线相交有几个交点?
(2)同角或等角的补角相等;
(3)如果 $a + b = 0$,那么 $a = 0$,$b = 0$.
(1)两直线相交有几个交点?
(2)同角或等角的补角相等;
(3)如果 $a + b = 0$,那么 $a = 0$,$b = 0$.
答案:
解:
(1)两直线相交有几个交点?不是命题;
(2)同角或等角的补角相等;是命题,是真命题;
(3)如果a+b=0,那么a=0,b=0;是命题,是假命题,例如:a=2,b=-2.
(1)两直线相交有几个交点?不是命题;
(2)同角或等角的补角相等;是命题,是真命题;
(3)如果a+b=0,那么a=0,b=0;是命题,是假命题,例如:a=2,b=-2.
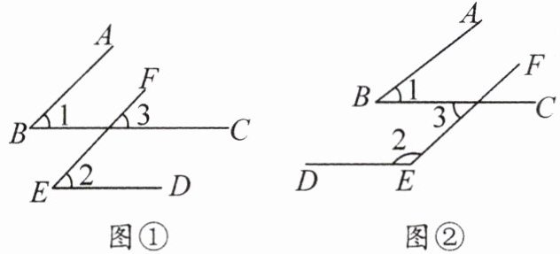
15.(漯河市校级期中)已知 $\angle ABC$ 和 $\angle DEF$,一个角的两边与另一个角的两边分别平行.
【探究问题】
(1)如图①,$AB// EF$,$BC// ED$,$\angle 1$ 与 $\angle 2$ 的关系是______.
推理说明:______;
(2)如图②,$AB// EF$,$BC// DE$,则 $\angle 1$ 与 $\angle 2$ 的关系是______.
推理说明:______;
【归纳总结】
(3)经过推理,你能得到的一个真命题是______;
【拓展延伸】
(4)已知 $\angle ABC$ 和 $\angle DEF$,一个角的两边与另一个角的两边互相垂直.且 $\angle DEF$ 比 $\angle ABC$ 的 2 倍少 $30^{\circ}$,请直接写出这两个角的度数.
(1)如图①,$AB// EF$,$BC// ED$,$\angle 1$ 与 $\angle 2$ 的关系是______.
推理说明:______;
(2)如图②,$AB// EF$,$BC// DE$,则 $\angle 1$ 与 $\angle 2$ 的关系是______.
推理说明:______;
【归纳总结】
(3)经过推理,你能得到的一个真命题是______;
【拓展延伸】
(4)已知 $\angle ABC$ 和 $\angle DEF$,一个角的两边与另一个角的两边互相垂直.且 $\angle DEF$ 比 $\angle ABC$ 的 2 倍少 $30^{\circ}$,请直接写出这两个角的度数.
答案:
解:
(1)∠1=∠2 根据平行线的性质易得∠1=∠3,∠2=∠3,则∠1=∠2
(2)∠1+∠2=180° 根据平行线的性质易得∠1=∠3,∠2+∠3=180°,所以∠1+∠2=180°
(3)如果一个角的两边与另一个角的两边分别平行,那么这两个角相等或互补
(4)当∠DEF与∠ABC如答图①所示时,∠ABC=70°,∠DEF=110°;当∠DEF与∠ABC如答图②所示时,∠ABC=30°,∠DEF=30°.
解:
(1)∠1=∠2 根据平行线的性质易得∠1=∠3,∠2=∠3,则∠1=∠2
(2)∠1+∠2=180° 根据平行线的性质易得∠1=∠3,∠2+∠3=180°,所以∠1+∠2=180°
(3)如果一个角的两边与另一个角的两边分别平行,那么这两个角相等或互补
(4)当∠DEF与∠ABC如答图①所示时,∠ABC=70°,∠DEF=110°;当∠DEF与∠ABC如答图②所示时,∠ABC=30°,∠DEF=30°.
查看更多完整答案,请扫码查看