第27页
- 第1页
- 第2页
- 第3页
- 第4页
- 第5页
- 第6页
- 第7页
- 第8页
- 第9页
- 第10页
- 第11页
- 第12页
- 第13页
- 第14页
- 第15页
- 第16页
- 第17页
- 第18页
- 第19页
- 第20页
- 第21页
- 第22页
- 第23页
- 第24页
- 第25页
- 第26页
- 第27页
- 第28页
- 第29页
- 第30页
- 第31页
- 第32页
- 第33页
- 第34页
- 第35页
- 第36页
- 第37页
- 第38页
- 第39页
- 第40页
- 第41页
- 第42页
- 第43页
- 第44页
- 第45页
- 第46页
- 第47页
- 第48页
- 第49页
- 第50页
- 第51页
- 第52页
- 第53页
- 第54页
- 第55页
- 第56页
- 第57页
- 第58页
- 第59页
- 第60页
- 第61页
- 第62页
- 第63页
- 第64页
- 第65页
- 第66页
- 第67页
- 第68页
- 第69页
- 第70页
- 第71页
- 第72页
- 第73页
- 第74页
- 第75页
- 第76页
- 第77页
- 第78页
- 第79页
- 第80页
- 第81页
- 第82页
- 第83页
- 第84页
- 第85页
- 第86页
- 第87页
- 第88页
- 第89页
- 第90页
- 第91页
- 第92页
10. 思想方法 整体思想 已知$(x - 2019)^2+(x - 2021)^2 = 34$,则$(x - 2020)^2$的值是(
A.$4$
B.$8$
C.$12$
D.$16$
D
)A.$4$
B.$8$
C.$12$
D.$16$
答案:
10.D
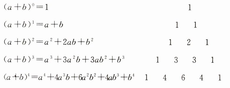
11. 新情境 古代数学 (教材阅读材料变式)我国南宋数学家杨辉发现了$(a + b)^n(n = 0,1,2,3…)$展开式系数的规律:

以上系数三角表称为“杨辉三角”,根据上述规律,$(a + b)^6$展开式的系数和为(
A.$32$
B.$64$
C.$88$
D.$128$
以上系数三角表称为“杨辉三角”,根据上述规律,$(a + b)^6$展开式的系数和为(
B
)A.$32$
B.$64$
C.$88$
D.$128$
答案:
11.B
12. (南召县期中)对于实数$a,b$,定义新运算“$◯ $”如下:$a◯ b= (a + b)^2-(a - b)^2$。若$(m + 2)◯ (m - 2)= 48$,则$m$的值为
±4
。
答案:
12.±4
13. 化简与计算:
(1)$(2x - 3y)^2+(x + 6y)^2$;
(2)$(a + 2b - c)(a - 2b - c)$;
(3)$(a + b + c)^2$。
(1)$(2x - 3y)^2+(x + 6y)^2$;
(2)$(a + 2b - c)(a - 2b - c)$;
(3)$(a + b + c)^2$。
答案:
13.解:
(1)原式$=4x^{2}-12xy+9y^{2}+x^{2}+12xy+36y^{2}$
$=5x^{2}+45y^{2};$
(2)原式$=(a-c)^{2}-(2b)^{2}$
$=a^{2}-2ac+c^{2}-4b^{2};$
(3)原式$=(a+b)^{2}+2(a+b)c+c^{2}$
$=a^{2}+2ab+b^{2}+2ac+2bc+c^{2}.$
(1)原式$=4x^{2}-12xy+9y^{2}+x^{2}+12xy+36y^{2}$
$=5x^{2}+45y^{2};$
(2)原式$=(a-c)^{2}-(2b)^{2}$
$=a^{2}-2ac+c^{2}-4b^{2};$
(3)原式$=(a+b)^{2}+2(a+b)c+c^{2}$
$=a^{2}+2ab+b^{2}+2ac+2bc+c^{2}.$
14. (信阳开学卷)图①是一个长为$2a$,宽为$2b$的长方形,沿图中虚线用剪刀均分成四块小长方形,然后按图②的形状拼成一个正方形。

(1) 观察图②,请写出下列三个代数式$(a + b)^2,(a - b)^2,ab$之间的等量关系:
(2) 若$m,n$为有理数,且$mn = -3,m - n = 4$,运用(1)中所得到的公式,试求$(m + n)^2$的值;
(3) 如图③,$C是线段AB$上的一点,以$AC,BC$为边向两边作正方形,设$AB = 8$,两正方形的面积和$S_1 + S_2 = 36$,求图中阴影部分的面积。
(1) 观察图②,请写出下列三个代数式$(a + b)^2,(a - b)^2,ab$之间的等量关系:
$(a+b)^{2}=(a-b)^{2}+4ab$
;(2) 若$m,n$为有理数,且$mn = -3,m - n = 4$,运用(1)中所得到的公式,试求$(m + n)^2$的值;
(3) 如图③,$C是线段AB$上的一点,以$AC,BC$为边向两边作正方形,设$AB = 8$,两正方形的面积和$S_1 + S_2 = 36$,求图中阴影部分的面积。
答案:
14.解:
(1)$(a+b)^{2}=(a-b)^{2}+4ab$
(2)由
(1)题所得$(a+b)^{2}=(a-b)^{2}+4ab,$
可得$(m+n)^{2}=(m-n)^{2}+4mn,$
所以当$mn=-3,m-n=4$时,
$(m+n)^{2}=4^{2}+4×(-3)=4;$
(3)设$AC=m,BC=n,$
则$m+n=8,m^{2}+n^{2}=36,$
又由$(m+n)^{2}=m^{2}+2mn+n^{2},$
得$2mn=(m+n)^{2}-(m^{2}+n^{2}),$
所以$S_{阴影}=\frac {mn}{2}=\frac {(m+n)^{2}-(m^{2}+n^{2})}{4}=\frac {8^{2}-36}{4}=7.$
(1)$(a+b)^{2}=(a-b)^{2}+4ab$
(2)由
(1)题所得$(a+b)^{2}=(a-b)^{2}+4ab,$
可得$(m+n)^{2}=(m-n)^{2}+4mn,$
所以当$mn=-3,m-n=4$时,
$(m+n)^{2}=4^{2}+4×(-3)=4;$
(3)设$AC=m,BC=n,$
则$m+n=8,m^{2}+n^{2}=36,$
又由$(m+n)^{2}=m^{2}+2mn+n^{2},$
得$2mn=(m+n)^{2}-(m^{2}+n^{2}),$
所以$S_{阴影}=\frac {mn}{2}=\frac {(m+n)^{2}-(m^{2}+n^{2})}{4}=\frac {8^{2}-36}{4}=7.$
查看更多完整答案,请扫码查看