第87页
- 第1页
- 第2页
- 第3页
- 第4页
- 第5页
- 第6页
- 第7页
- 第8页
- 第9页
- 第10页
- 第11页
- 第12页
- 第13页
- 第14页
- 第15页
- 第16页
- 第17页
- 第18页
- 第19页
- 第20页
- 第21页
- 第22页
- 第23页
- 第24页
- 第25页
- 第26页
- 第27页
- 第28页
- 第29页
- 第30页
- 第31页
- 第32页
- 第33页
- 第34页
- 第35页
- 第36页
- 第37页
- 第38页
- 第39页
- 第40页
- 第41页
- 第42页
- 第43页
- 第44页
- 第45页
- 第46页
- 第47页
- 第48页
- 第49页
- 第50页
- 第51页
- 第52页
- 第53页
- 第54页
- 第55页
- 第56页
- 第57页
- 第58页
- 第59页
- 第60页
- 第61页
- 第62页
- 第63页
- 第64页
- 第65页
- 第66页
- 第67页
- 第68页
- 第69页
- 第70页
- 第71页
- 第72页
- 第73页
- 第74页
- 第75页
- 第76页
- 第77页
- 第78页
- 第79页
- 第80页
- 第81页
- 第82页
- 第83页
- 第84页
- 第85页
- 第86页
- 第87页
- 第88页
- 第89页
- 第90页
- 第91页
- 第92页
- 第93页
- 第94页
- 第95页
- 第96页
- 第97页
- 第98页
- 第99页
- 第100页
- 第101页
- 第102页
- 第103页
- 第104页
- 第105页
- 第106页
7 (2024常州)在马拉松、公路自行车等耐力运动的训练或比赛中,为合理分配体能,运动员通常会记录每行进1km所用的时间,即“配速”(min/km).小华参加5km的骑行比赛,他骑行的“配速”如图所示,则下列说法中错误的是 (
A. 第1千米所用的时间最长
B. 第5千米的平均速度最大
C. 第2千米和第3千米的平均速度相同
D. 前2千米的平均速度大于最后2千米的平均速度

D
)A. 第1千米所用的时间最长
B. 第5千米的平均速度最大
C. 第2千米和第3千米的平均速度相同
D. 前2千米的平均速度大于最后2千米的平均速度
答案:
D
8 周末时,小明在体育公园骑自行车锻炼身体,他匀速骑行了一段时间后停车休息,之后继续以原来的速度骑行,路程s(km)与时间t(min)的关系如图所示,则图中a=
65
.
答案:
65
9 (新情境)根据数学家凯勒的“百米赛跑数学模型”,前30米称为“加速期”,30~80m为“中途期”,80~100m为“冲刺期”.市田径队把运动员小斌某次百米跑训练时速度y(m/s)与路程x(m)之间的观测数据绘制成曲线如图所示.
(1) y是关于x的函数吗? 为什么?
(2) “加速期”结束时,小斌的速度为多少?
(3) 根据如图提供的信息,给小斌提一条训练建议.
!

(1) y是关于x的函数吗? 为什么?
(2) “加速期”结束时,小斌的速度为多少?
(3) 根据如图提供的信息,给小斌提一条训练建议.
!
答案:
解:
(1) $ y $ 是 $ x $ 的函数,在这个变化过程中,对于 $ x $ 的每一个确定的值,$ y $ 都有唯一的值与之对应.
(2) 由图象,得“加速期”结束时,小斌的速度为 $ 10.4 \, \text{m/s} $.
(3) 答案不唯一. 例如:根据图象信息,小斌在 $ 80 \, \text{m} $ 左右时速度下降明显,建议增加耐力训练,提高成绩.
(1) $ y $ 是 $ x $ 的函数,在这个变化过程中,对于 $ x $ 的每一个确定的值,$ y $ 都有唯一的值与之对应.
(2) 由图象,得“加速期”结束时,小斌的速度为 $ 10.4 \, \text{m/s} $.
(3) 答案不唯一. 例如:根据图象信息,小斌在 $ 80 \, \text{m} $ 左右时速度下降明显,建议增加耐力训练,提高成绩.
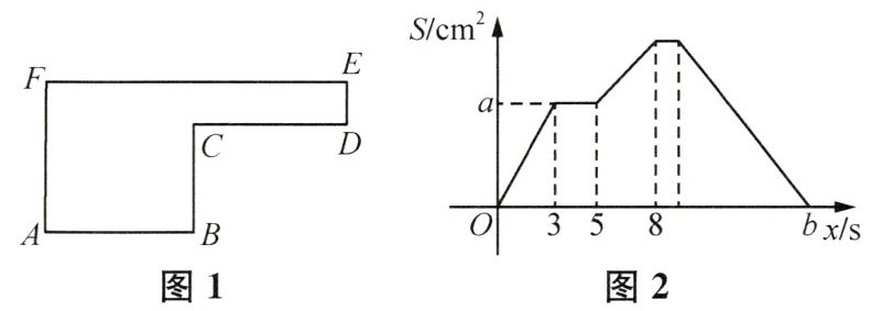
10 如图1是一个大长方形减去一个小长方形后形成的图形.已知动点P以1cm/s的速度沿边框$ A \to B \to C \to D \to E \to F $的路径移动,相应的$ \triangle AFP $的面积$ S(cm^{2}) $与时间x(s)之间的关系如图2,若$ AF = 3cm $,求:
(1) 图1中BC的长;
(2) 图2中a的值;
(3) 图1中图形的面积;
(4) 图2中b的值.
!
!

(1) 图1中BC的长;
(2) 图2中a的值;
(3) 图1中图形的面积;
(4) 图2中b的值.
!
!
答案:
解:
(1) 当动点 $ P $ 在 $ BC $ 上运动时,对应的时间为 $ 5 - 3 = 2(\text{s}) $,得 $ BC = 1 × 2 = 2(\text{cm}) $.
故图 1 中 $ BC $ 的长是 $ 2 \, \text{cm} $.
(2) 由动点 $ P $ 在 $ AB $ 上运动时,对应的时间为 $ 0 \, \text{s} $ 到 $ 3 \, \text{s} $,得 $ AB = 1 × 3 = 3(\text{cm}) $,
所以 $ a = \frac{1}{2}AF \cdot AB = \frac{1}{2} × 3 × 3 = \frac{9}{2}(\text{cm}^2) $.
故图 2 中 $ a $ 的值为 $ \frac{9}{2} $.
(3) 由图可得 $ CD = 1 × (8 - 5) = 3(\text{cm}) $,$ DE = AF - BC = 3 - 2 = 1(\text{cm}) $,则 $ FE = AB + CD = 3 + 3 = 6(\text{cm}) $.
又 $ AF = 3 \, \text{cm} $,所以图 1 的面积为 $ FE \cdot AF - CD \cdot BC = 6 × 3 - 3 × 2 = 12(\text{cm}^2) $.
故图 1 中图形的面积为 $ 12 \, \text{cm}^2 $.
(4) 根据题意,得动点 $ P $ 共运动了 $ AB + BC + CD + DE + FE = 3 + 2 + 3 + 1 + 6 = 15(\text{cm}) $,则 $ b = 15 ÷ 1 = 15 $.
故图 2 中 $ b $ 的值为 $ 15 $.
(1) 当动点 $ P $ 在 $ BC $ 上运动时,对应的时间为 $ 5 - 3 = 2(\text{s}) $,得 $ BC = 1 × 2 = 2(\text{cm}) $.
故图 1 中 $ BC $ 的长是 $ 2 \, \text{cm} $.
(2) 由动点 $ P $ 在 $ AB $ 上运动时,对应的时间为 $ 0 \, \text{s} $ 到 $ 3 \, \text{s} $,得 $ AB = 1 × 3 = 3(\text{cm}) $,
所以 $ a = \frac{1}{2}AF \cdot AB = \frac{1}{2} × 3 × 3 = \frac{9}{2}(\text{cm}^2) $.
故图 2 中 $ a $ 的值为 $ \frac{9}{2} $.
(3) 由图可得 $ CD = 1 × (8 - 5) = 3(\text{cm}) $,$ DE = AF - BC = 3 - 2 = 1(\text{cm}) $,则 $ FE = AB + CD = 3 + 3 = 6(\text{cm}) $.
又 $ AF = 3 \, \text{cm} $,所以图 1 的面积为 $ FE \cdot AF - CD \cdot BC = 6 × 3 - 3 × 2 = 12(\text{cm}^2) $.
故图 1 中图形的面积为 $ 12 \, \text{cm}^2 $.
(4) 根据题意,得动点 $ P $ 共运动了 $ AB + BC + CD + DE + FE = 3 + 2 + 3 + 1 + 6 = 15(\text{cm}) $,则 $ b = 15 ÷ 1 = 15 $.
故图 2 中 $ b $ 的值为 $ 15 $.
查看更多完整答案,请扫码查看