2025年全优课堂考点集训与满分备考九年级数学下册冀教版
注:目前有些书本章节名称可能整理的还不是很完善,但都是按照顺序排列的,请同学们按照顺序仔细查找。练习册 2025年全优课堂考点集训与满分备考九年级数学下册冀教版 答案主要是用来给同学们做完题方便对答案用的,请勿直接抄袭。
第37页
- 第1页
- 第2页
- 第3页
- 第4页
- 第5页
- 第6页
- 第7页
- 第8页
- 第9页
- 第10页
- 第11页
- 第12页
- 第13页
- 第14页
- 第15页
- 第16页
- 第17页
- 第18页
- 第19页
- 第20页
- 第21页
- 第22页
- 第23页
- 第24页
- 第25页
- 第26页
- 第27页
- 第28页
- 第29页
- 第30页
- 第31页
- 第32页
- 第33页
- 第34页
- 第35页
- 第36页
- 第37页
- 第38页
- 第39页
- 第40页
- 第41页
- 第42页
- 第43页
- 第44页
- 第45页
- 第46页
- 第47页
- 第48页
- 第49页
- 第50页
- 第51页
- 第52页
- 第53页
- 第54页
- 第55页
- 第56页
- 第57页
- 第58页
- 第59页
- 第60页
- 第61页
- 第62页
- 第63页
- 第64页
- 第65页
- 第66页
- 第67页
- 第68页
- 第69页
- 第70页
- 第71页
- 第72页
- 第73页
- 第74页
- 第75页
- 第76页
- 第77页
- 第78页
- 第79页
- 第80页
- 第81页
- 第82页
- 第83页
- 第84页
- 第85页
- 第86页
- 第87页
- 第88页
- 第89页
- 第90页
- 第91页
- 第92页
- 第93页
- 第94页
- 第95页
- 第96页
- 第97页
- 第98页
- 第99页
- 第100页
9. 练习变式教材P34,练习改编 下列二次函数中,其图像顶点是$(-2,-6)$的是 ( )
A. $y = 5(x + 2)^2 + 6$
B. $y = 5(x - 2)^2 + 6$
C. $y = 5(x + 2)^2 - 6$
D. $y = 5(x - 2)^2 - 6$
A. $y = 5(x + 2)^2 + 6$
B. $y = 5(x - 2)^2 + 6$
C. $y = 5(x + 2)^2 - 6$
D. $y = 5(x - 2)^2 - 6$
答案:
C
10. 习题衍生教材P35,BT2(3)改编 在二次函数$y = -(x - 1)^2 + 2$中,若$y$随$x$的增大而增大,则$x$的取值范围是 ( )
A. $x>-1$
B. $x<1$
C. $x<-1$
D. $x>1$
A. $x>-1$
B. $x<1$
C. $x<-1$
D. $x>1$
答案:
B
11. 练习变式教材P34,练习改编 已知二次函数$y = - 2(x + 1)^2 - 4$,下列说法正确的是 ( )
A. 图像开口向上
B. 图像的对称轴为直线$x = 1$
C. 图像的顶点坐标为$(1,4)$
D. 当$x<-1$时,$y$随$x$的增大而增大
A. 图像开口向上
B. 图像的对称轴为直线$x = 1$
C. 图像的顶点坐标为$(1,4)$
D. 当$x<-1$时,$y$随$x$的增大而增大
答案:
D
12. 习题变式教材P55,AT1(3)改编 在如图所示的平面直角坐标系中,两条抛物线有相同的对称轴,下列关系不正确的是 ( )

A. $h = m$
B. $k = n$
C. $k>n$
D. $h>0,k>0$
A. $h = m$
B. $k = n$
C. $k>n$
D. $h>0,k>0$
答案:
B
13. 习题高仿教材P56,AT3改编 在如图所示的抛物线中,当$x =$__________时,$y = 0$;当$x<-2$或$x>0$时,$y$__________0;当$x$在 __________范围内时,$y>0$;当$x =$__________时,$y$取得最大值 __________.

答案:
-2或0 < -2 < x < 0 -1 3
14. 习题高仿教材P35,AT2改编 已知抛物线$y = 2(x - 1)^2 - 8$.
(1)直接写出它的顶点坐标:______,对称轴:__________;
(2)$x$取何值时,$y$随$x$的增大而增大?
(1)直接写出它的顶点坐标:______,对称轴:__________;
(2)$x$取何值时,$y$随$x$的增大而增大?
答案:
解:
(1)$(1,-8)$ 直线$x = 1$
(2)当$x > 1$时,$y$随$x$的增大而增大.
(1)$(1,-8)$ 直线$x = 1$
(2)当$x > 1$时,$y$随$x$的增大而增大.
15. 函数$y = (x + 1)^2 - 2$的最小值是 ( )
A. 1
B. -1
C. 2
D. -2
A. 1
B. -1
C. 2
D. -2
答案:
D
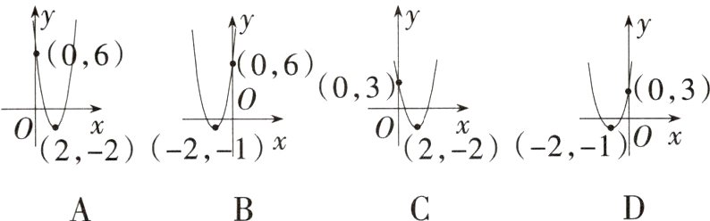
16. 若下列有一图像为二次函数$y = 2(x - 2)^2 - 2$的图像,则此图像为 ( )

答案:
A
17. 在平面直角坐标系中,把抛物线$y = 2x^2$绕原点旋转$180^{\circ}$,再向右平移1个单位长度,向下平移2个单位长度,所得的抛物线的函数表达式为 ( )
A. $y = 2(x - 1)^2 - 2$
B. $y = 2(x + 1)^2 - 2$
C. $y = - 2(x - 1)^2 - 2$
D. $y = - 2(x + 1)^2 - 2$
A. $y = 2(x - 1)^2 - 2$
B. $y = 2(x + 1)^2 - 2$
C. $y = - 2(x - 1)^2 - 2$
D. $y = - 2(x + 1)^2 - 2$
答案:
C
18. 易错题 对于二次函数$y = a(x + k)^2 + k(a\neq0)$,无论$k$取何值,其图像的顶点都在 ( )
A. 直线$y = x$上
B. 直线$y = - x$上
C. $x$轴上
D. $y$轴上
A. 直线$y = x$上
B. 直线$y = - x$上
C. $x$轴上
D. $y$轴上
答案:
B
19. 数形结合思想 二次函数$y = a(x - m)^2 - n$的图像如图所示,则一次函数$y = mx + n$的图像经过( )

A. 第一、二、三象限
B. 第一、二、四象限
C. 第二、三、四象限
D. 第一、三、四象限
A. 第一、二、三象限
B. 第一、二、四象限
C. 第二、三、四象限
D. 第一、三、四象限
答案:
A
20. 如果点$A(1,3),B(m,3)$是抛物线$y = a(x - 2)^2 + h$上两个不同的点,那么$m$的值为 ( )
A. 2
B. 3
C. 4
D. 5
A. 2
B. 3
C. 4
D. 5
答案:
B
查看更多完整答案,请扫码查看