2025年全优课堂考点集训与满分备考九年级数学下册冀教版
注:目前有些书本章节名称可能整理的还不是很完善,但都是按照顺序排列的,请同学们按照顺序仔细查找。练习册 2025年全优课堂考点集训与满分备考九年级数学下册冀教版 答案主要是用来给同学们做完题方便对答案用的,请勿直接抄袭。
第34页
- 第1页
- 第2页
- 第3页
- 第4页
- 第5页
- 第6页
- 第7页
- 第8页
- 第9页
- 第10页
- 第11页
- 第12页
- 第13页
- 第14页
- 第15页
- 第16页
- 第17页
- 第18页
- 第19页
- 第20页
- 第21页
- 第22页
- 第23页
- 第24页
- 第25页
- 第26页
- 第27页
- 第28页
- 第29页
- 第30页
- 第31页
- 第32页
- 第33页
- 第34页
- 第35页
- 第36页
- 第37页
- 第38页
- 第39页
- 第40页
- 第41页
- 第42页
- 第43页
- 第44页
- 第45页
- 第46页
- 第47页
- 第48页
- 第49页
- 第50页
- 第51页
- 第52页
- 第53页
- 第54页
- 第55页
- 第56页
- 第57页
- 第58页
- 第59页
- 第60页
- 第61页
- 第62页
- 第63页
- 第64页
- 第65页
- 第66页
- 第67页
- 第68页
- 第69页
- 第70页
- 第71页
- 第72页
- 第73页
- 第74页
- 第75页
- 第76页
- 第77页
- 第78页
- 第79页
- 第80页
- 第81页
- 第82页
- 第83页
- 第84页
- 第85页
- 第86页
- 第87页
- 第88页
- 第89页
- 第90页
- 第91页
- 第92页
- 第93页
- 第94页
- 第95页
- 第96页
- 第97页
- 第98页
- 第99页
- 第100页
10. 对于二次函数$y=-3(x-\frac{1}{2})^2$,它的图像与二次函数$y=-3x^2$的图像有什么关系?它是轴对称图形吗?它的开口方向、对称轴和顶点坐标分别是什么?
答案:
解:如图,二次函数$y = - 3(x - \frac{1}{2})^2$的图像与二次函数$y = - 3x^2$的图像的形状相同,二次函数$y = - 3x^2$的图像向右平移$\frac{1}{2}$个单位长度,得到函数$y = - 3(x - \frac{1}{2})^2$的图像.二次函数$y = - 3(x - \frac{1}{2})^2$的图像是轴对称图形,开口方向向下,对称轴是直线$x = \frac{1}{2}$,顶点坐标为$(\frac{1}{2},0)$.
解:如图,二次函数$y = - 3(x - \frac{1}{2})^2$的图像与二次函数$y = - 3x^2$的图像的形状相同,二次函数$y = - 3x^2$的图像向右平移$\frac{1}{2}$个单位长度,得到函数$y = - 3(x - \frac{1}{2})^2$的图像.二次函数$y = - 3(x - \frac{1}{2})^2$的图像是轴对称图形,开口方向向下,对称轴是直线$x = \frac{1}{2}$,顶点坐标为$(\frac{1}{2},0)$.
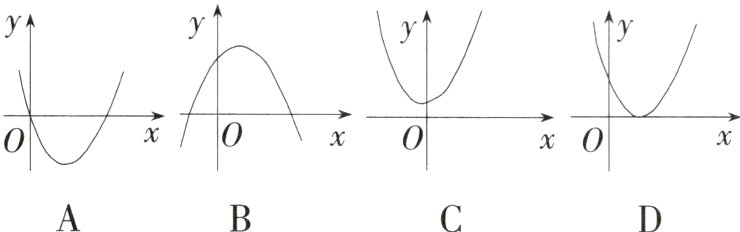
11. 易错题 在平面直角坐标系中,二次函数$y=a(x - h)^2(a\neq0)$的图像可能是( )

答案:
D
12. 二次函数$y=-2(x - 1)^2$图像的对称轴是( )
A. 直线$x=-1$
B. 直线$x=0$
C. 直线$x=1$
D. 直线$x=-2$
A. 直线$x=-1$
B. 直线$x=0$
C. 直线$x=1$
D. 直线$x=-2$
答案:
C
13. 抛物线$y=(x + 1)^2$的顶点坐标是( )
A. (-1,0)
B. (1,0)
C. (0,1)
D. (0,-1)
A. (-1,0)
B. (1,0)
C. (0,1)
D. (0,-1)
答案:
A
14. 如果将抛物线$y = x^2$向右平移1个单位长度,那么所得的抛物线的表达式是( )
A. $y = x^2 - 1$
B. $y = x^2 + 1$
C. $y=(x - 1)^2$
D. $y=(x + 1)^2$
A. $y = x^2 - 1$
B. $y = x^2 + 1$
C. $y=(x - 1)^2$
D. $y=(x + 1)^2$
答案:
C
15. 函数图像共存问题 在平面直角坐标系中,函数$y=-x - 1$与$y=-\frac{3}{2}(x - 1)^2$的图像大致是( )

答案:
A
16. 推理能力 已知抛物线$y = 5(x - 1)^2$,下列说法中,你认为不正确的是( )
A. 顶点坐标为(1,0)
B. 对称轴为直线$x=0$
C. 当$x>1$时,$y$随$x$的增大而增大
D. 当$x<1$时,$y$随$x$的增大而减小
A. 顶点坐标为(1,0)
B. 对称轴为直线$x=0$
C. 当$x>1$时,$y$随$x$的增大而增大
D. 当$x<1$时,$y$随$x$的增大而减小
答案:
B
17. 顶点是(-3,0),开口方向、形状与函数$y=\frac{1}{3}x^2$的图像相同的抛物线的表达式为( )
A. $y=\frac{1}{3}(x - 3)^2$
B. $y=\frac{1}{3}(x + 3)^2$
C. $y=-\frac{1}{3}(x + 3)^2$
D. $y=-\frac{1}{3}(x - 3)^2$
A. $y=\frac{1}{3}(x - 3)^2$
B. $y=\frac{1}{3}(x + 3)^2$
C. $y=-\frac{1}{3}(x + 3)^2$
D. $y=-\frac{1}{3}(x - 3)^2$
答案:
B
18. 已知二次函数$y = 2(x + 2)^2$,如果$x>-2$,那么$y$随$x$的增大而______.
答案:
增大
19. 已知函数$y=-(x - 1)^2$图像上两点$A(2,y_1)$,$B(a,y_2)$,其中$a>2$,则$y_1$与$y_2$的大小关系是$y_1$____$y_2$.(选填“<”“>”或“=”)
答案:
>
20. 二次函数$y = 2(x + 5)^2$的图像是________(形状),开口______,对称轴是__________,当$x=$______时,$y$取得最______值,是______.
答案:
抛物线 向上 直线$x = - 5$ -5 小 0
21. 二次函数$y=-2(x - 2)^2$的图像的对称轴为________,该图像在对称轴左侧部分是______的.(选填“上升”或“下降”)
答案:
直线$x = 2$ 上升
22. 顶点为(5,0)且开口方向、形状与函数$y=-2x^2$的图像相同的抛物线的表达式是__________.
答案:
$y = - 2(x - 5)^2$
23. 易错题 抛物线$y=m(x + n)^2$向左平移2个单位长度后,得到的抛物线的表达式是$y=-4(x - 4)^2$,则$m=$____,$n=$____.
答案:
-4 -6 提示:
∵将抛物线$y = m(x + n)^2$向左平移2个单位长度后的抛物线表达式为$y = m(x + n + 2)^2$,
∴$m(x + n + 2)^2 = - 4(x - 4)^2$,
∴$m = - 4$,$n + 2 = - 4$,
∴$m = - 4$,$n = - 6$.
∵将抛物线$y = m(x + n)^2$向左平移2个单位长度后的抛物线表达式为$y = m(x + n + 2)^2$,
∴$m(x + n + 2)^2 = - 4(x - 4)^2$,
∴$m = - 4$,$n + 2 = - 4$,
∴$m = - 4$,$n = - 6$.
24. 已知二次函数$y=-\frac{1}{2}(x - 1)^2$.
(1)完成下表:
(2)在如图所示的坐标系中描点,画出该二次函数的图像.

(1)完成下表:
(2)在如图所示的坐标系中描点,画出该二次函数的图像.
答案:
解:
(1)完成表格如下:
|$x$|…|-2|-1|0|1|2|3|4|…|
|$y$|…|$-\frac{9}{2}$|-2|$-\frac{1}{2}$|0|$-\frac{1}{2}$|-2|$-\frac{9}{2}$|…|
(2)描点,画出该二次函数图像如下.
解:
(1)完成表格如下:
|$x$|…|-2|-1|0|1|2|3|4|…|
|$y$|…|$-\frac{9}{2}$|-2|$-\frac{1}{2}$|0|$-\frac{1}{2}$|-2|$-\frac{9}{2}$|…|
(2)描点,画出该二次函数图像如下.
查看更多完整答案,请扫码查看