2025年教材帮高中数学选择性必修第二册苏教版
注:目前有些书本章节名称可能整理的还不是很完善,但都是按照顺序排列的,请同学们按照顺序仔细查找。练习册 2025年教材帮高中数学选择性必修第二册苏教版 答案主要是用来给同学们做完题方便对答案用的,请勿直接抄袭。
第125页
- 第1页
- 第2页
- 第3页
- 第4页
- 第5页
- 第6页
- 第7页
- 第8页
- 第9页
- 第10页
- 第11页
- 第12页
- 第13页
- 第14页
- 第15页
- 第16页
- 第17页
- 第18页
- 第19页
- 第20页
- 第21页
- 第22页
- 第23页
- 第24页
- 第25页
- 第26页
- 第27页
- 第28页
- 第29页
- 第30页
- 第31页
- 第32页
- 第33页
- 第34页
- 第35页
- 第36页
- 第37页
- 第38页
- 第39页
- 第40页
- 第41页
- 第42页
- 第43页
- 第44页
- 第45页
- 第46页
- 第47页
- 第48页
- 第49页
- 第50页
- 第51页
- 第52页
- 第53页
- 第54页
- 第55页
- 第56页
- 第57页
- 第58页
- 第59页
- 第60页
- 第61页
- 第62页
- 第63页
- 第64页
- 第65页
- 第66页
- 第67页
- 第68页
- 第69页
- 第70页
- 第71页
- 第72页
- 第73页
- 第74页
- 第75页
- 第76页
- 第77页
- 第78页
- 第79页
- 第80页
- 第81页
- 第82页
- 第83页
- 第84页
- 第85页
- 第86页
- 第87页
- 第88页
- 第89页
- 第90页
- 第91页
- 第92页
- 第93页
- 第94页
- 第95页
- 第96页
- 第97页
- 第98页
- 第99页
- 第100页
- 第101页
- 第102页
- 第103页
- 第104页
- 第105页
- 第106页
- 第107页
- 第108页
- 第109页
- 第110页
- 第111页
- 第112页
- 第113页
- 第114页
- 第115页
- 第116页
- 第117页
- 第118页
- 第119页
- 第120页
- 第121页
- 第122页
- 第123页
- 第124页
- 第125页
- 第126页
- 第127页
- 第128页
- 第129页
- 第130页
- 第131页
- 第132页
- 第133页
- 第134页
- 第135页
- 第136页
- 第137页
- 第138页
- 第139页
- 第140页
- 第141页
- 第142页
- 第143页
- 第144页
- 第145页
- 第146页
- 第147页
- 第148页
- 第149页
- 第150页
- 第151页
- 第152页
- 第153页
- 第154页
6. 随机变量ξ的分布列如下:

其中a,b,c成等差数列, 则函数$f(x)=x^2+2x+\xi$有且只有一个零点的概率为 (
A.$\frac{1}{6}$
B.$\frac{1}{3}$
C.$\frac{1}{2}$
D.$\frac{5}{6}$
其中a,b,c成等差数列, 则函数$f(x)=x^2+2x+\xi$有且只有一个零点的概率为 (
B
)A.$\frac{1}{6}$
B.$\frac{1}{3}$
C.$\frac{1}{2}$
D.$\frac{5}{6}$
答案:
6.B 由题意知$\begin{cases}2b = a + c, \\a + b + c = 1,\end{cases}$解得$b = \frac{1}{3}$.
$\because f(x)=x^{2} + 2x + \xi$有且只有一个零点,
$\therefore\Delta = 4 - 4\xi = 0$,解得$\xi = 1$,$\therefore P(\xi = 1)=\frac{1}{3}$.
$\because f(x)=x^{2} + 2x + \xi$有且只有一个零点,
$\therefore\Delta = 4 - 4\xi = 0$,解得$\xi = 1$,$\therefore P(\xi = 1)=\frac{1}{3}$.
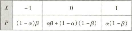
例18 (全国I卷节选) 为治疗某种疾病, 研制了甲、乙两种新药, 希望知道哪种新药更有效, 为此进行动物试验. 试验方案如下: 每一轮选取两只白鼠对药效进行对比试验. 对于两只白鼠, 随机选一只施以甲药, 另一只施以乙药. 一轮的治疗结果得出后, 再安排下一轮试验. 当其中一种药治愈的白鼠比另一种药治愈的白鼠多4只时, 就停止试验, 并认为治愈只数多的药更有效. 为了方便描述问题, 约定: 对于每轮试验, 若施以甲药的白鼠治愈且施以乙药的白鼠未治愈则甲药得1分, 乙药得-1分; 若施以乙药的白鼠治愈且施以甲药的白鼠未治愈则乙药得1分, 甲药得-1分; 若都治愈或都未治愈则两种药均得0分. 甲、乙两种药的治愈率分别记为α和β, 一轮试验中甲药的得分记为X. 求X的分布列.
答案:
解析
(1) X的取值范围是{-1,0,1}.
$P(X=-1)=(1-\alpha)\beta$,
$P(X=0)=\alpha\beta+(1-\alpha)(1-\beta)$,
$P(X=1)=\alpha(1-\beta)$.
所以X的分布列为
解析
(1) X的取值范围是{-1,0,1}.
$P(X=-1)=(1-\alpha)\beta$,
$P(X=0)=\alpha\beta+(1-\alpha)(1-\beta)$,
$P(X=1)=\alpha(1-\beta)$.
所以X的分布列为
例19 (2022·北京改编) 在校运动会上, 只有甲、乙、丙三名同学参加铅球比赛, 比赛成绩达到9.50m以上 (含9.50m) 的同学将获得优秀奖. 为预测获得优秀奖的人数及冠军得主, 收集了甲、乙、丙以往的比赛成绩, 并整理得到如下数据 (单位: m):
甲: 9.80, 9.70, 9.55, 9.54, 9.48, 9.42, 9.40, 9.35, 9.30, 9.25;
乙: 9.78, 9.56, 9.51, 9.36, 9.32, 9.23;
丙: 9.85, 9.65, 9.20, 9.16.
假设用频率估计概率, 且甲、乙、丙的比赛成绩相互独立.
(1) 估计甲在校运动会铅球比赛中获得优秀奖的概率;
(2) 设X是甲、乙、丙在校运动会铅球比赛中获得优秀奖的总人数, 求X的分布列.
甲: 9.80, 9.70, 9.55, 9.54, 9.48, 9.42, 9.40, 9.35, 9.30, 9.25;
乙: 9.78, 9.56, 9.51, 9.36, 9.32, 9.23;
丙: 9.85, 9.65, 9.20, 9.16.
假设用频率估计概率, 且甲、乙、丙的比赛成绩相互独立.
(1) 估计甲在校运动会铅球比赛中获得优秀奖的概率;
(2) 设X是甲、乙、丙在校运动会铅球比赛中获得优秀奖的总人数, 求X的分布列.
答案:
解析
(1) 设甲在校运动会铅球比赛中获得优秀奖为事件A.
因为比赛成绩达到9.50m以上 (含9.50m) 的同学将获得优秀奖, 甲以往的比赛成绩中达到9.50m以上 (含9.50m) 的有9.80m, 9.70m, 9.55m, 9.54m, 共4个,
所以甲在校运动会铅球比赛中获得优秀奖的概率P(A)=0.4.
(2) X的所有可能取值为0,1,2,3.
由
(1)知, 甲在校运动会铅球比赛中获得优秀奖的概率P(A)=0.4.
设乙、丙在校运动会铅球比赛中获得优秀奖分别为事件B,C, 则P(B)=0.5, P(C)=0.5.
$P(X=0)=(1-0.4) × (1-0.5) × (1-0.5) = 0.15$,
$P(X=1)=0.4 × (1-0.5) × (1-0.5) + (1-0.4) × 0.5 × (1-0.5) + (1-0.4) × (1-0.5) × 0.5 = 0.4$,
$P(X=2)=0.4 × 0.5 × (1-0.5) + 0.4 × (1-0.5) × 0.5 + (1-0.4) × 0.5 × 0.5 = 0.35$,
$P(X=3)=0.4 × 0.5 × 0.5 = 0.1$,
所以X的分布列为
解析
(1) 设甲在校运动会铅球比赛中获得优秀奖为事件A.
因为比赛成绩达到9.50m以上 (含9.50m) 的同学将获得优秀奖, 甲以往的比赛成绩中达到9.50m以上 (含9.50m) 的有9.80m, 9.70m, 9.55m, 9.54m, 共4个,
所以甲在校运动会铅球比赛中获得优秀奖的概率P(A)=0.4.
(2) X的所有可能取值为0,1,2,3.
由
(1)知, 甲在校运动会铅球比赛中获得优秀奖的概率P(A)=0.4.
设乙、丙在校运动会铅球比赛中获得优秀奖分别为事件B,C, 则P(B)=0.5, P(C)=0.5.
$P(X=0)=(1-0.4) × (1-0.5) × (1-0.5) = 0.15$,
$P(X=1)=0.4 × (1-0.5) × (1-0.5) + (1-0.4) × 0.5 × (1-0.5) + (1-0.4) × (1-0.5) × 0.5 = 0.4$,
$P(X=2)=0.4 × 0.5 × (1-0.5) + 0.4 × (1-0.5) × 0.5 + (1-0.4) × 0.5 × 0.5 = 0.35$,
$P(X=3)=0.4 × 0.5 × 0.5 = 0.1$,
所以X的分布列为
查看更多完整答案,请扫码查看