2025年5年高考3年模拟高中数学全一册人教B版
注:目前有些书本章节名称可能整理的还不是很完善,但都是按照顺序排列的,请同学们按照顺序仔细查找。练习册 2025年5年高考3年模拟高中数学全一册人教B版 答案主要是用来给同学们做完题方便对答案用的,请勿直接抄袭。
第65页
- 第1页
- 第2页
- 第3页
- 第4页
- 第5页
- 第6页
- 第7页
- 第8页
- 第9页
- 第10页
- 第11页
- 第12页
- 第13页
- 第14页
- 第15页
- 第16页
- 第17页
- 第18页
- 第19页
- 第20页
- 第21页
- 第22页
- 第23页
- 第24页
- 第25页
- 第26页
- 第27页
- 第28页
- 第29页
- 第30页
- 第31页
- 第32页
- 第33页
- 第34页
- 第35页
- 第36页
- 第37页
- 第38页
- 第39页
- 第40页
- 第41页
- 第42页
- 第43页
- 第44页
- 第45页
- 第46页
- 第47页
- 第48页
- 第49页
- 第50页
- 第51页
- 第52页
- 第53页
- 第54页
- 第55页
- 第56页
- 第57页
- 第58页
- 第59页
- 第60页
- 第61页
- 第62页
- 第63页
- 第64页
- 第65页
- 第66页
- 第67页
- 第68页
- 第69页
- 第70页
- 第71页
- 第72页
- 第73页
- 第74页
- 第75页
- 第76页
- 第77页
- 第78页
- 第79页
- 第80页
- 第81页
- 第82页
- 第83页
- 第84页
- 第85页
- 第86页
- 第87页
- 第88页
- 第89页
- 第90页
- 第91页
- 第92页
- 第93页
- 第94页
- 第95页
- 第96页
- 第97页
- 第98页
- 第99页
- 第100页
- 第101页
- 第102页
- 第103页
- 第104页
- 第105页
- 第106页
- 第107页
- 第108页
- 第109页
- 第110页
- 第111页
- 第112页
- 第113页
- 第114页
- 第115页
- 第116页
- 第117页
- 第118页
- 第119页
- 第120页
- 第121页
- 第122页
- 第123页
- 第124页
- 第125页
- 第126页
- 第127页
- 第128页
- 第129页
- 第130页
- 第131页
- 第132页
- 第133页
- 第134页
- 第135页
- 第136页
- 第137页
- 第138页
- 第139页
- 第140页
- 第141页
- 第142页
- 第143页
- 第144页
- 第145页
- 第146页
- 第147页
- 第148页
- 第149页
- 第150页
- 第151页
- 第152页
- 第153页
- 第154页
- 第155页
- 第156页
- 第157页
- 第158页
- 第159页
- 第160页
- 第161页
- 第162页
- 第163页
- 第164页
- 第165页
- 第166页
- 第167页
- 第168页
- 第169页
- 第170页
- 第171页
- 第172页
- 第173页
- 第174页
- 第175页
- 第176页
- 第177页
- 第178页
- 第179页
- 第180页
- 第181页
- 第182页
- 第183页
- 第184页
- 第185页
- 第186页
- 第187页
- 第188页
- 第189页
- 第190页
- 第191页
- 第192页
- 第193页
- 第194页
- 第195页
- 第196页
- 第197页
- 第198页
- 第199页
- 第200页
- 第201页
- 第202页
- 第203页
- 第204页
- 第205页
- 第206页
- 第207页
- 第208页
- 第209页
- 第210页
- 第211页
- 第212页
- 第213页
- 第214页
- 第215页
- 第216页
- 第217页
- 第218页
- 第219页
- 第220页
- 第221页
- 第222页
- 第223页
- 第224页
- 第225页
- 第226页
- 第227页
- 第228页
- 第229页
- 第230页
- 第231页
- 第232页
- 第233页
- 第234页
- 第235页
- 第236页
- 第237页
- 第238页
- 第239页
- 第240页
- 第241页
- 第242页
- 第243页
- 第244页
- 第245页
- 第246页
- 第247页
- 第248页
- 第249页
- 第250页
- 第251页
- 第252页
- 第253页
- 第254页
- 第255页
- 第256页
- 第257页
- 第258页
1.(2023天津,6,5分,易)已知数列$\{ a_{n}\}$的前$n$项和为$S_{n}$.若$a_{1}=2,a_{n + 1}=2S_{n}+2(n\in\mathbf{N}^{*})$,则$a_{4}=$ ( )
A.16
B.32
C.54
D.162
A.16
B.32
C.54
D.162
答案:
2.(2022全国乙理,4,5分,中)嫦娥二号卫星在完成探月任务后,继续进行深空探测,成为我国第一颗环绕太阳飞行的人造行星.为研究嫦娥二号绕日周期与地球绕日周期的比值,用到数列$\{ b_{n}\}$:$b_{1}=1+\frac{1}{\alpha_{1}}$,$b_{2}=1+\frac{1}{\alpha_{1}+\frac{1}{\alpha_{2}}}$,$b_{3}=1+\frac{1}{\alpha_{1}+\frac{1}{\alpha_{2}+\frac{1}{\alpha_{3}}}}$,…,依此类推,其中$\alpha_{k}\in\mathbf{N}^{*}(k = 1,2,\cdots)$.则 ( )
A.$b_{1}\lt b_{5}$
B.$b_{3}\lt b_{8}$
C.$b_{6}\lt b_{2}$
D.$b_{4}\lt b_{7}$
A.$b_{1}\lt b_{5}$
B.$b_{3}\lt b_{8}$
C.$b_{6}\lt b_{2}$
D.$b_{4}\lt b_{7}$
答案:
3.(2021北京,10,4分,中)已知$\{ a_{n}\}$是各项均为整数的递增数列,且$a_{1}\geqslant3$.若$a_{1}+a_{2}+\cdots +a_{n}=100$,则$n$的最大值为 ( )
A.9
B.10
C.11
D.12
A.9
B.10
C.11
D.12
答案:

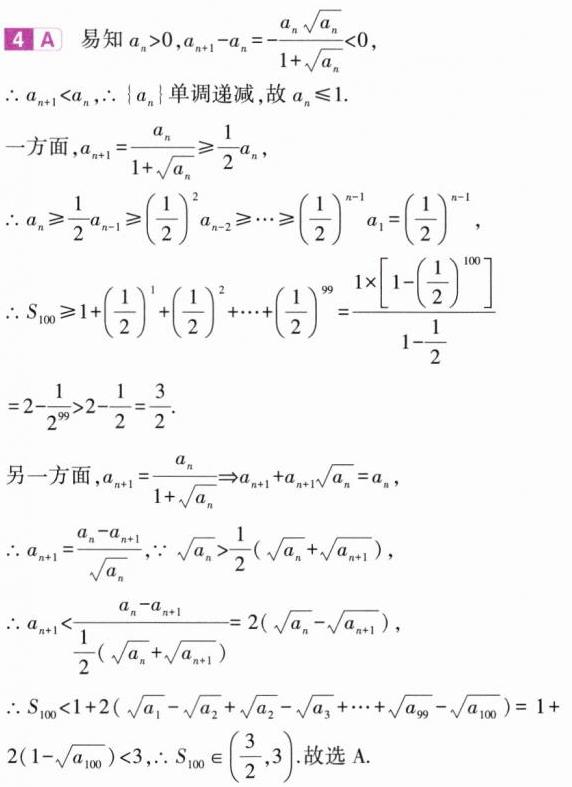
4.(2021浙江,10,4分,难)已知数列$\{ a_{n}\}$满足$a_{1}=1,a_{n + 1}=\frac{a_{n}}{1+\sqrt{a_{n}}}(n\in\mathbf{N}^{*})$.记数列$\{ a_{n}\}$的前$n$项和为$S_{n}$,则 ( )
A.$\frac{3}{2}\lt S_{100}\lt3$
B.$3\lt S_{100}\lt4$
C.$4\lt S_{100}\lt\frac{9}{2}$
D.$\frac{9}{2}\lt S_{100}\lt5$
A.$\frac{3}{2}\lt S_{100}\lt3$
B.$3\lt S_{100}\lt4$
C.$4\lt S_{100}\lt\frac{9}{2}$
D.$\frac{9}{2}\lt S_{100}\lt5$
答案:
5.(2020课标Ⅱ理,12,5分,难)0 - 1周期序列在通信技术中有着重要应用.若序列$a_{1}a_{2}\cdots a_{n}\cdots$满足$a_{i}\in\{ 0,1\} (i = 1,2,\cdots)$,且存在正整数$m$,使得$a_{i + m}=a_{i}(i = 1,2,\cdots)$成立,则称其为0 - 1周期序列,并称满足$a_{i + m}=a_{i}(i = 1,2,\cdots)$的最小正整数$m$为这个序列的周期.对于周期为$m$的0 - 1序列$a_{1}a_{2}\cdots a_{n}\cdots$,$C(k)=\frac{1}{m}\sum_{i = 1}^{m}a_{i}a_{i + k}(k = 1,2,\cdots,m - 1)$是描述其性质的重要指标.下列周期为5的0 - 1序列中,满足$C(k)\leqslant\frac{1}{5}(k = 1,2,3,4)$的序列是 ( )
A.11010…
B.11011…
C.10001…
D.11001…
A.11010…
B.11011…
C.10001…
D.11001…
答案:
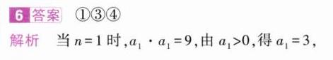
6.(2022北京,15,5分,难)已知数列$\{ a_{n}\}$的各项均为正数,其前$n$项和$S_{n}$满足$a_{n}\cdot S_{n}=9(n = 1,2,\cdots)$.给出下列四个结论:
①$\{ a_{n}\}$的第2项小于3;②$\{ a_{n}\}$为等比数列;
③$\{ a_{n}\}$为递减数列;④$\{ a_{n}\}$中存在小于$\frac{1}{100}$的项.
其中所有正确结论的序号是_______.
①$\{ a_{n}\}$的第2项小于3;②$\{ a_{n}\}$为等比数列;
③$\{ a_{n}\}$为递减数列;④$\{ a_{n}\}$中存在小于$\frac{1}{100}$的项.
其中所有正确结论的序号是_______.
答案:


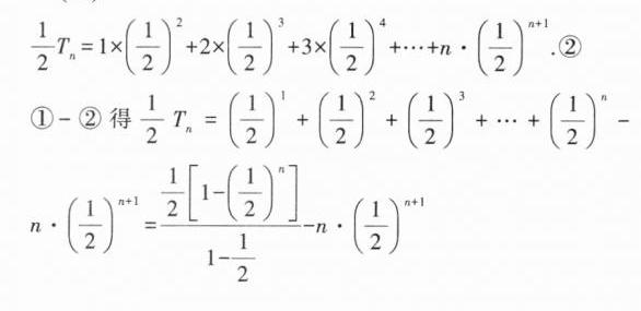
7.(2023全国甲理,17,12分,中)记$S_{n}$为数列$\{ a_{n}\}$的前$n$项和,已知$a_{2}=1,2S_{n}=na_{n}$.
(1)求$\{ a_{n}\}$的通项公式;
(2)求数列$\left\{\frac{a_{n + 1}}{2^{n}}\right\}$的前$n$项和$T_{n}$.
(1)求$\{ a_{n}\}$的通项公式;
(2)求数列$\left\{\frac{a_{n + 1}}{2^{n}}\right\}$的前$n$项和$T_{n}$.
答案:



查看更多完整答案,请扫码查看