第39页
- 第1页
- 第2页
- 第3页
- 第4页
- 第5页
- 第6页
- 第7页
- 第8页
- 第9页
- 第10页
- 第11页
- 第12页
- 第13页
- 第14页
- 第15页
- 第16页
- 第17页
- 第18页
- 第19页
- 第20页
- 第21页
- 第22页
- 第23页
- 第24页
- 第25页
- 第26页
- 第27页
- 第28页
- 第29页
- 第30页
- 第31页
- 第32页
- 第33页
- 第34页
- 第35页
- 第36页
- 第37页
- 第38页
- 第39页
- 第40页
- 第41页
- 第42页
- 第43页
- 第44页
- 第45页
- 第46页
- 第47页
- 第48页
- 第49页
- 第50页
- 第51页
- 第52页
- 第53页
- 第54页
- 第55页
- 第56页
- 第57页
- 第58页
- 第59页
- 第60页
- 第61页
- 第62页
- 第63页
- 第64页
- 第65页
- 第66页
- 第67页
- 第68页
- 第69页
- 第70页
- 第71页
- 第72页
- 第73页
- 第74页
- 第75页
- 第76页
- 第77页
- 第78页
- 第79页
- 第80页
- 第81页
- 第82页
- 第83页
- 第84页
- 第85页
- 第86页
- 第87页
- 第88页
- 第89页
- 第90页
- 第91页
- 第92页
- 第93页
- 第94页
- 第95页
- 第96页
- 第97页
- 第98页
- 第99页
- 第100页
- 第101页
- 第102页
- 第103页
- 第104页
1. 如图,$CD// AB$,$\angle DCB = 70^{\circ}$,$\angle CBF = 20^{\circ}$,$\angle EFB = 130^{\circ}$。
(1)求证:$EF// AB$。
(2)若$\angle CEF = 68^{\circ}$,求$\angle AC$的度数。

(1)求证:$EF// AB$。
(2)若$\angle CEF = 68^{\circ}$,求$\angle AC$的度数。
答案:
【证明】因为CD//AB,∠DCB = 70°,所以∠ABC = 70°。
又因为∠CBF = 20°,所以∠ABF = ∠ABC - ∠CBF = 50°。
因为∠EFB = 130°,所以∠ABF + ∠EFB = 50° + 130° = 180°。
所以EF//AB。@@【解】因为EF//AB,CD//AB,所以EF//CD。所以∠CEF + ∠ECD = 180°。
又因为∠CEF = 68°,所以∠ECD = 112°。
又因为∠DCB = 70°,所以∠ACB = ∠ECD - ∠DCB = 112° - 70° = 42°。
2. 如图,$\angle A = 70^{\circ}$,$\angle 1 = 70^{\circ}$,$\angle B = \angle F$,则$\angle C$与$\angle DEC$的数量关系为______。

答案:
∠C + ∠DEC = 180°
3. 如图,将直尺与等腰直角三角板叠放在一起,如果$\angle 1 = 36^{\circ}$,那么$\angle 2$的度数为( )

A. $36^{\circ}$
B. $44^{\circ}$
C. $54^{\circ}$
D. $56^{\circ}$
A. $36^{\circ}$
B. $44^{\circ}$
C. $54^{\circ}$
D. $56^{\circ}$
答案:
C
4. 将一块三角板$ABC$($\angle BAC = 90^{\circ}$,$\angle ABC = 30^{\circ}$)按如图方式放置,使$A$,$B$两点分别落在直线$m$,$n$上,对于给出的五个条件:
①$\angle 2 = 2\angle 1$;
②$\angle 1 + \angle 2 = 90^{\circ}$;
③$\angle 1 = 25^{\circ}$,$\angle 2 = 55^{\circ}$;
④$\angle ABC = \angle 2 - \angle 1$;
⑤$\angle ACB = \angle 1 + \angle 3$。
能判定直线$m// n$的有______。(填序号)

①$\angle 2 = 2\angle 1$;
②$\angle 1 + \angle 2 = 90^{\circ}$;
③$\angle 1 = 25^{\circ}$,$\angle 2 = 55^{\circ}$;
④$\angle ABC = \angle 2 - \angle 1$;
⑤$\angle ACB = \angle 1 + \angle 3$。
能判定直线$m// n$的有______。(填序号)
答案:
③④⑤ 【点拨】①因为∠2 = 2∠1,∠ABC = 30°,所以∠1 + ∠ABC不一定等于∠2,所以m和n不一定平行,故①不符合题意;②因为∠1 + ∠2 = 90°,∠ABC = 30°,所以∠1 + ∠ABC不一定等于∠2,所以m和n不一定平行,故②不符合题意;③因为∠1 = 25°,∠2 = 55°,∠ABC = 30°,所以∠ABC + ∠1 = ∠2 = 55°,所以m//n,故③符合题意;④因为∠ABC = ∠2 - ∠1,所以∠2 = ∠ABC + ∠1,所以m//n,故④符合题意;⑤过点C向左作CE//m,则∠3 = ∠ACE。因为∠ACB = ∠1 + ∠3 = ∠ACE + ∠BCE,所以∠1 = ∠BCE,所以EC//n,所以m//n,故⑤符合题意。故答案为:③④⑤。
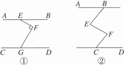
5. (1)如图①,$EF\perp GF$,垂足为$F$,$\angle AEF = 150^{\circ}$,$\angle DGF = 60^{\circ}$。试判断$AB$和$CD$之间的位置关系,并说明理由。
(2)如图②,$AB// CD$,$\angle ABE = \angle DCF$,求证:$BE// CF$。

(2)如图②,$AB// CD$,$\angle ABE = \angle DCF$,求证:$BE// CF$。
答案:
【解】AB//CD。理由如下: 如图①,过点F作FH//AB,则∠AEF + ∠EFH = 180°。 因为∠AEF = 150°,所以∠EFH = 30°。 因为EF⊥GF,所以∠EFG = 90°,所以∠HFG = 60°。 又因为∠DGF = 60°,所以∠HFG = ∠DGF,所以FH//CD。 所以AB//CD。
@@【证明】如图②,连接BC。
因为AB//CD,所以∠ABC = ∠DCB。
又因为∠ABE = ∠DCF,所以∠ABC - ∠ABE = ∠DCB - ∠DCF,即∠EBC = ∠FCB,所以BE//CF。
【解】AB//CD。理由如下: 如图①,过点F作FH//AB,则∠AEF + ∠EFH = 180°。 因为∠AEF = 150°,所以∠EFH = 30°。 因为EF⊥GF,所以∠EFG = 90°,所以∠HFG = 60°。 又因为∠DGF = 60°,所以∠HFG = ∠DGF,所以FH//CD。 所以AB//CD。
查看更多完整答案,请扫码查看