第20页
- 第1页
- 第2页
- 第3页
- 第4页
- 第5页
- 第6页
- 第7页
- 第8页
- 第9页
- 第10页
- 第11页
- 第12页
- 第13页
- 第14页
- 第15页
- 第16页
- 第17页
- 第18页
- 第19页
- 第20页
- 第21页
- 第22页
- 第23页
- 第24页
- 第25页
- 第26页
- 第27页
- 第28页
- 第29页
- 第30页
- 第31页
- 第32页
- 第33页
- 第34页
- 第35页
- 第36页
- 第37页
- 第38页
- 第39页
- 第40页
- 第41页
- 第42页
- 第43页
- 第44页
- 第45页
- 第46页
- 第47页
- 第48页
- 第49页
- 第50页
- 第51页
- 第52页
- 第53页
- 第54页
- 第55页
- 第56页
- 第57页
- 第58页
- 第59页
- 第60页
- 第61页
- 第62页
- 第63页
- 第64页
- 第65页
- 第66页
- 第67页
- 第68页
- 第69页
- 第70页
- 第71页
- 第72页
- 第73页
- 第74页
- 第75页
- 第76页
- 第77页
- 第78页
- 第79页
- 第80页
- 第81页
- 第82页
- 第83页
- 第84页
- 第85页
- 第86页
- 第87页
- 第88页
- 第89页
- 第90页
- 第91页
- 第92页
- 第93页
- 第94页
- 第95页
- 第96页
- 第97页
- 第98页
- 第99页
- 第100页
- 第101页
- 第102页
- 第103页
- 第104页
1. 下面四条直线,其中直线上每个点的坐标都是二元一次方程$x - 2y = 2$的解的是 ( )

答案:
C
2. [2024·威海文登区期末] 若以二元一次方程$x + 2y - b = 0$的解为坐标的点$(x,y)$都在直线$y = -\frac{1}{2}x + b - 1$上,则常数$b =$ ________.
答案:
2
3. [2024·东营垦利区期末] 一次函数$y = -x + 2$和$y = 2x - 1$的图象如图所示,则方程组$\begin{cases}x + y - 2 = 0,\\2x - y - 1 = 0\end{cases}$的解是 ( )

A. $\begin{cases}x = 0,\\y = 2\end{cases}$
B. $\begin{cases}x = 1,\\y = 1\end{cases}$
C. $\begin{cases}x = 2,\\y = 0\end{cases}$
D. $\begin{cases}x = 0,\\y = -1\end{cases}$
A. $\begin{cases}x = 0,\\y = 2\end{cases}$
B. $\begin{cases}x = 1,\\y = 1\end{cases}$
C. $\begin{cases}x = 2,\\y = 0\end{cases}$
D. $\begin{cases}x = 0,\\y = -1\end{cases}$
答案:
B
4. 有一组数同时满足方程$2x + y = 2$和$4x + 2y = 5$吗?直线$y = -2x + 2$与直线$y = -2x + \frac{5}{2}$之间有什么关系?
答案:
【解】没有一组数同时满足方程2x + y = 2和4x + 2y = 5,直线y = -2x + 2与直线y = -2x + $\frac{5}{2}$互相平行。
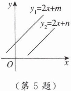
5. 已知一次函数$y_1 = 2x + m$与$y_2 = 2x + n(m\neq n)$的图象如图所示,则关于$x$与$y$的二元一次方程组$\begin{cases}2x - y = -m,\\2x - y = -n\end{cases}$的解的个数为 ( )

A. 0个
B. 1个
C. 2个
D. 无数个
A. 0个
B. 1个
C. 2个
D. 无数个
答案:
A
6. 如图,在平面直角坐标系中,直线$y = kx + b(k\neq0)$与直线$y = -2x + 1$相交于点$A(m,3)$,则下列说法错误的是 ( )

A. $k>0,b>0$
B. 经过一、二、四象限的直线是$y = -2x + 1$
C. 关于$x,y$的方程组$\begin{cases}y = kx + b,\\y = -2x + 1\end{cases}$的解为$\begin{cases}x = -1,\\y = 3\end{cases}$
D. 关于$x$的不等式$kx + b < -2x + 1$的解集是$x > -1$
A. $k>0,b>0$
B. 经过一、二、四象限的直线是$y = -2x + 1$
C. 关于$x,y$的方程组$\begin{cases}y = kx + b,\\y = -2x + 1\end{cases}$的解为$\begin{cases}x = -1,\\y = 3\end{cases}$
D. 关于$x$的不等式$kx + b < -2x + 1$的解集是$x > -1$
答案:
D
7. 如图,两条直线的交点坐标$(-2,3)$可以看作两个二元一次方程的公共解,其中一个方程是$x + y = 1$,则另一个方程是 ( )

A. $2x - y = 1$
B. $2x + y = -1$
C. $2x + y = 1$
D. $3x - y = 1$
A. $2x - y = 1$
B. $2x + y = -1$
C. $2x + y = 1$
D. $3x - y = 1$
答案:
B
8. 已知点$P(x,y)$在直线$y = -\frac{3}{4}x + 4$上,坐标$(x,y)$是二元一次方程$5x - 6y = 33$的解,则点$P$的位置在 ( )
A. 第一象限
B. 第二象限
C. 第三象限
D. 第四象限
A. 第一象限
B. 第二象限
C. 第三象限
D. 第四象限
答案:
D
查看更多完整答案,请扫码查看