第50页
- 第1页
- 第2页
- 第3页
- 第4页
- 第5页
- 第6页
- 第7页
- 第8页
- 第9页
- 第10页
- 第11页
- 第12页
- 第13页
- 第14页
- 第15页
- 第16页
- 第17页
- 第18页
- 第19页
- 第20页
- 第21页
- 第22页
- 第23页
- 第24页
- 第25页
- 第26页
- 第27页
- 第28页
- 第29页
- 第30页
- 第31页
- 第32页
- 第33页
- 第34页
- 第35页
- 第36页
- 第37页
- 第38页
- 第39页
- 第40页
- 第41页
- 第42页
- 第43页
- 第44页
- 第45页
- 第46页
- 第47页
- 第48页
- 第49页
- 第50页
- 第51页
- 第52页
- 第53页
- 第54页
- 第55页
- 第56页
- 第57页
- 第58页
- 第59页
- 第60页
- 第61页
- 第62页
- 第63页
- 第64页
- 第65页
- 第66页
- 第67页
- 第68页
- 第69页
- 第70页
- 第71页
- 第72页
- 第73页
- 第74页
- 第75页
- 第76页
- 第77页
- 第78页
- 第79页
- 第80页
- 第81页
- 第82页
- 第83页
- 第84页
- 第85页
- 第86页
- 第87页
- 第88页
- 第89页
- 第90页
- 第91页
- 第92页
- 第93页
- 第94页
- 第95页
- 第96页
- 第97页
- 第98页
1 过点P向线段AB所在直线画垂线段,画图正确的是 ( )

答案:
D
2 下列说法中错误的有 ( )
①一个锐角的余角比这个角大;
②一个角的补角比这个角大;
③一个钝角的补角比这个角小;
④同角或等角的补角相等;
⑤若∠1与∠3互余,∠2与∠3互余,则∠1与∠2互余。
A. 2个
B. 3个
C. 4个
D. 5个
①一个锐角的余角比这个角大;
②一个角的补角比这个角大;
③一个钝角的补角比这个角小;
④同角或等角的补角相等;
⑤若∠1与∠3互余,∠2与∠3互余,则∠1与∠2互余。
A. 2个
B. 3个
C. 4个
D. 5个
答案:
B
3 如图,直线AB与直线CD被直线EF所截,分别交AB,CD于点F,M,过点M作射线MN,则图中∠1的同位角有 ( )

A. ∠3
B. ∠2,∠DME
C. ∠2,∠3
D. ∠3,∠DME
A. ∠3
B. ∠2,∠DME
C. ∠2,∠3
D. ∠3,∠DME
答案:
D
4 在平面内,点P是直线l上一点,点M,N到直线l的距离分别是5 cm,3 cm,且MP⊥l,NP⊥l,则线段MN的长度是________。
答案:
2 cm或8 cm
5 在直线MN上取一点P,过点P作射线PA,PB,使PA⊥PB,当∠MPA=40°时,则∠NPB的度数是________。
答案:
50°或130°
6 已知∠AOB=64°,OC是∠AOB的平分线,∠AOD与∠AOC互余,则∠BOD的度数为________。
答案:
122°或6°
7 将一副三角尺的直角顶点重合按如图放置,小明得到下列结论:
①若∠2=30°,则AC//DE;
②∠BAE+∠CAD=180°;
③若BC//AD,则∠2=30°。
其中正确的结论有 ( )

A. 1个
B. 2个
C. 3个
D. 0个
①若∠2=30°,则AC//DE;
②∠BAE+∠CAD=180°;
③若BC//AD,则∠2=30°。
其中正确的结论有 ( )
A. 1个
B. 2个
C. 3个
D. 0个
答案:
B
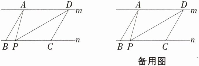
8 如图所示,直线m//n,点A,D在直线m上,点B,C在直线n上,且AB//CD,∠ABC=60°,DP平分∠ADC交直线n于点P,连接AP。
(1)求∠ADC的度数;
(2)若∠APD=75°,求∠BAP的度数;
(3)将三角形PCD向右平移,当AP最小时,求此时∠APD的度数。

(1)求∠ADC的度数;
(2)若∠APD=75°,求∠BAP的度数;
(3)将三角形PCD向右平移,当AP最小时,求此时∠APD的度数。
答案:
解:
(1)因为AB//CD,∠ABC = 60°,所以∠BCD = 180° - ∠ABC = 120°。 又因为m//n,所以∠ADC = 180° - ∠BCD = 60°。
(2)如图,过点P作PE//AB,交直线m于点E。

因为AB//CD,所以AB//CD//PE,所以∠APE = ∠BAP,∠DPE = ∠PDC,(等量代换) 所以∠APD = ∠APE + ∠DPE = ∠BAP + ∠PDC。 由
(1)得∠ADC = 60°。 因为DP平分∠ADC,所以∠PDC = $\frac{1}{2}$∠ADC = $\frac{1}{2}$×60° = 30°。 因为∠APD = 75°,所以∠BAP = ∠APD - ∠PDC = 75° - 30° = 45°。
(3)将三角形PCD向右平移过程中,由“垂线段最短”,得当AP⊥n时,AP最小,即∠APC = 90°。 由
(1)得∠ADC = 60°, 因为DP平分∠ADC,所以∠ADP = $\frac{1}{2}$∠ADC = 30°。 因为m//n,所以∠DPC = ∠ADP = 30°,所以∠APD = ∠APC - ∠DPC = 60°。
解:
(1)因为AB//CD,∠ABC = 60°,所以∠BCD = 180° - ∠ABC = 120°。 又因为m//n,所以∠ADC = 180° - ∠BCD = 60°。
(2)如图,过点P作PE//AB,交直线m于点E。
因为AB//CD,所以AB//CD//PE,所以∠APE = ∠BAP,∠DPE = ∠PDC,(等量代换) 所以∠APD = ∠APE + ∠DPE = ∠BAP + ∠PDC。 由
(1)得∠ADC = 60°。 因为DP平分∠ADC,所以∠PDC = $\frac{1}{2}$∠ADC = $\frac{1}{2}$×60° = 30°。 因为∠APD = 75°,所以∠BAP = ∠APD - ∠PDC = 75° - 30° = 45°。
(3)将三角形PCD向右平移过程中,由“垂线段最短”,得当AP⊥n时,AP最小,即∠APC = 90°。 由
(1)得∠ADC = 60°, 因为DP平分∠ADC,所以∠ADP = $\frac{1}{2}$∠ADC = 30°。 因为m//n,所以∠DPC = ∠ADP = 30°,所以∠APD = ∠APC - ∠DPC = 60°。
查看更多完整答案,请扫码查看