第2页
- 第1页
- 第2页
- 第3页
- 第4页
- 第5页
- 第6页
- 第7页
- 第8页
- 第9页
- 第10页
- 第11页
- 第12页
- 第13页
- 第14页
- 第15页
- 第16页
- 第17页
- 第18页
- 第19页
- 第20页
- 第21页
- 第22页
- 第23页
- 第24页
- 第25页
- 第26页
- 第27页
- 第28页
- 第29页
- 第30页
- 第31页
- 第32页
- 第33页
- 第34页
- 第35页
- 第36页
- 第37页
- 第38页
- 第39页
- 第40页
- 第41页
- 第42页
- 第43页
- 第44页
- 第45页
- 第46页
- 第47页
- 第48页
- 第49页
- 第50页
- 第51页
- 第52页
- 第53页
- 第54页
- 第55页
- 第56页
- 第57页
- 第58页
- 第59页
- 第60页
- 第61页
- 第62页
- 第63页
- 第64页
- 第65页
- 第66页
- 第67页
- 第68页
- 第69页
- 第70页
- 第71页
- 第72页
- 第73页
- 第74页
- 第75页
- 第76页
- 第77页
- 第78页
- 第79页
- 第80页
- 第81页
- 第82页
- 第83页
- 第84页
- 第85页
- 第86页
- 第87页
- 第88页
- 第89页
- 第90页
- 第91页
- 第92页
- 第93页
- 第94页
- 第95页
- 第96页
- 第97页
- 第98页
1 计算$(x^{2})^{3}$的结果是 ( )
A. $x^{2}$
B. $x^{3}$
C. $x^{5}$
D. $x^{6}$
A. $x^{2}$
B. $x^{3}$
C. $x^{5}$
D. $x^{6}$
答案:
D
2(河南中考)计算$(\underbrace{a\cdot a\cdot \cdots \cdot a}_{n个})^{3}$的结果是( )
A. $a^{5}$
B. $a^{6}$
C. $a^{n + 3}$
D. $a^{3n}$
A. $a^{5}$
B. $a^{6}$
C. $a^{n + 3}$
D. $a^{3n}$
答案:
D
3 下列运算正确的是 ( )
A. $a^{4}\cdot a^{5}=a^{20}$
B. $a^{3}\cdot a^{3}\cdot a^{3}=3a^{3}$
C. $a^{4}+a^{5}=a^{9}$
D. $(-a^{3})^{4}=a^{12}$
A. $a^{4}\cdot a^{5}=a^{20}$
B. $a^{3}\cdot a^{3}\cdot a^{3}=3a^{3}$
C. $a^{4}+a^{5}=a^{9}$
D. $(-a^{3})^{4}=a^{12}$
答案:
D
4 [教材P5T1 改编]计算:
(1)(易错题)$-[(-\frac{1}{3})^{2}]^{2}$;(2)$-(y^{3})^{4}$;
(3)$[(b - 2)^{m + 1}]^{2}$; (4)$(-a^{2})^{3}\cdot (-a)^{4}\cdot (-a)$。
(1)(易错题)$-[(-\frac{1}{3})^{2}]^{2}$;(2)$-(y^{3})^{4}$;
(3)$[(b - 2)^{m + 1}]^{2}$; (4)$(-a^{2})^{3}\cdot (-a)^{4}\cdot (-a)$。
答案:
5 下列各式中($m$是整数),计算错误的是 ( )
A. $x^{3m + 1}=(x^{3})^{m + 1}$
B. $x^{3m + 1}=x\cdot x^{3m}$
C. $x^{3m + 1}=(x^{m})^{3}\cdot x$
D. $x^{3m + 1}=x^{m}\cdot x^{2m}\cdot x$
A. $x^{3m + 1}=(x^{3})^{m + 1}$
B. $x^{3m + 1}=x\cdot x^{3m}$
C. $x^{3m + 1}=(x^{m})^{3}\cdot x$
D. $x^{3m + 1}=x^{m}\cdot x^{2m}\cdot x$
答案:
A
6 如果$4^{n}=2^{8}$,那么$n$的值是 ( )
A. 4
B. 3
C. 2
D. 无法确定
A. 4
B. 3
C. 2
D. 无法确定
答案:
A
7 已知$4^{m}=3$,则$3×2^{2m}=$ ( )
A. 3
B. 9
C. 18
D. 36
A. 3
B. 9
C. 18
D. 36
答案:
B
8 若$a^{x}=2$,$a^{y}=3$,则$a^{3x + y}=$________。
答案:
24
9 计算$(-a^{2})^{3}\cdot (-a^{3})^{2}$的结果是 ( )
A. $a^{12}$
B. $-a^{12}$
C. $-a^{10}$
D. $-a^{36}$
A. $a^{12}$
B. $-a^{12}$
C. $-a^{10}$
D. $-a^{36}$
答案:
B
10 已知$9^{m}=3$,$27^{n}=4$,则$3^{2m + 3n}=$ ( )
A. 1
B. 6
C. 7
D. 12
A. 1
B. 6
C. 7
D. 12
答案:
D
11 如果$x + 4y - 3 = 0$,那么$2^{x}×16^{y}=$________。
答案:
8
12 计算:
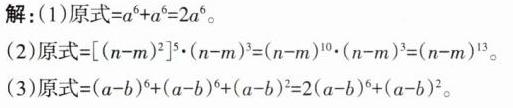
(1)$a^{2}\cdot a^{4}+(a^{3})^{2}$; (2)$[(m - n)^{2}]^{5}\cdot (n - m)^{3}$;
(3)$[(a - b)^{3}]^{2}+[(a - b)^{2}]^{3}-[- (a - b)^{2}]$。
(1)$a^{2}\cdot a^{4}+(a^{3})^{2}$; (2)$[(m - n)^{2}]^{5}\cdot (n - m)^{3}$;
(3)$[(a - b)^{3}]^{2}+[(a - b)^{2}]^{3}-[- (a - b)^{2}]$。
答案:
13 新趋势 阅读理解题 阅读材料,解决问题。
材料一:比较$3^{22}$和$4^{11}$的大小。
解:因为$4^{11}=(2^{2})^{11}=2^{22}$,而$3>2$,所以$3^{22}>2^{22}$,即$3^{22}>4^{11}$。
材料二:比较$2^{8}$和$8^{2}$的大小。
解:因为$8^{2}=(2^{3})^{2}=2^{6}$,而$8>6$,所以$2^{8}>2^{6}$,即$2^{8}>8^{2}$。
(1)比较$3^{44}$,$4^{33}$,$5^{22}$的大小;
(2)比较$81^{31}$,$27^{41}$,$9^{61}$的大小。
材料一:比较$3^{22}$和$4^{11}$的大小。
解:因为$4^{11}=(2^{2})^{11}=2^{22}$,而$3>2$,所以$3^{22}>2^{22}$,即$3^{22}>4^{11}$。
材料二:比较$2^{8}$和$8^{2}$的大小。
解:因为$8^{2}=(2^{3})^{2}=2^{6}$,而$8>6$,所以$2^{8}>2^{6}$,即$2^{8}>8^{2}$。
(1)比较$3^{44}$,$4^{33}$,$5^{22}$的大小;
(2)比较$81^{31}$,$27^{41}$,$9^{61}$的大小。
答案:
查看更多完整答案,请扫码查看