第39页
- 第1页
- 第2页
- 第3页
- 第4页
- 第5页
- 第6页
- 第7页
- 第8页
- 第9页
- 第10页
- 第11页
- 第12页
- 第13页
- 第14页
- 第15页
- 第16页
- 第17页
- 第18页
- 第19页
- 第20页
- 第21页
- 第22页
- 第23页
- 第24页
- 第25页
- 第26页
- 第27页
- 第28页
- 第29页
- 第30页
- 第31页
- 第32页
- 第33页
- 第34页
- 第35页
- 第36页
- 第37页
- 第38页
- 第39页
- 第40页
- 第41页
- 第42页
- 第43页
- 第44页
- 第45页
- 第46页
- 第47页
- 第48页
- 第49页
- 第50页
- 第51页
- 第52页
- 第53页
- 第54页
- 第55页
- 第56页
- 第57页
- 第58页
- 第59页
- 第60页
- 第61页
- 第62页
- 第63页
- 第64页
- 第65页
- 第66页
- 第67页
- 第68页
- 第69页
- 第70页
- 第71页
- 第72页
- 第73页
- 第74页
- 第75页
- 第76页
- 第77页
- 第78页
- 第79页
- 第80页
- 第81页
- 第82页
- 第83页
- 第84页
- 第85页
- 第86页
- 第87页
- 第88页
- 第89页
- 第90页
- 第91页
- 第92页
- 第93页
- 第94页
- 第95页
- 第96页
- 第97页
- 第98页
- 第99页
- 第100页
- 第101页
- 第102页
- 第103页
- 第104页
- 第105页
- 第106页
- 第107页
- 第108页
- 第109页
- 第110页
- 第111页
- 第112页
- 第113页
- 第114页
- 第115页
1. 下列式子中,与算式$(-3)^2+(-3)^2+(-3)^2$结果相同的是 ()
A.$(-3)^3$
B.$3^3$
C.$(-3)^6$
D.$(-2)^3$
A.$(-3)^3$
B.$3^3$
C.$(-3)^6$
D.$(-2)^3$
答案:
B
2. 计算$2×(-9)-18×(\frac{1}{6}-\frac{1}{2})$的结果是 ()
A.24
B.-12
C.-9
D.6
A.24
B.-12
C.-9
D.6
答案:
C(原题求(计算)的结果对应选项应为C即-9(此处为原题选项标识问题,按照解析计算结果-12对应选项应为B,按照题目要求选择) ,正确选择是B)
3.$(1.25+1.25+1.25+1.25)×25×8$,最简便的计算方法是 ()
A.按顺序计算
B.$(1.25×8)×(25×4)$
C.$1.25×4×25×8$
D.$1.25×25×4×8$
A.按顺序计算
B.$(1.25×8)×(25×4)$
C.$1.25×4×25×8$
D.$1.25×25×4×8$
答案:
B
4. 规定一种新运算:$a@b=a^2-2b$,例如:$2@1=2^2-2×1=2$.若$2@[1@(-x)]=6$,则$x$的值为 ()
A.-1
B.1
C.-2
D.2
A.-1
B.1
C.-2
D.2
答案:
A
5. $(-\frac{5}{6}+\frac{2}{3})÷(-\frac{7}{12})×\frac{7}{2}+(-1)^{100}=$.
答案:
2
6. 如果一个数的$\frac{2}{3}$等于$1\frac{2}{3}$平方的相反数,则这个数是.
答案:
$-\frac{25}{6}$
7. 近几年来魔术风靡我国,小亮发明了一个魔术盒,把一个实数对$(a,b)$放入其中,就得到一个数为$a^2-3b+1$,如把$(3,2)$放入其中,就得到$3^2-3×2+1=4$,若把$(-3,2)$放入其中,得到数$m$,再把$(m,4)$放入其中,则得到的数是.
答案:
5
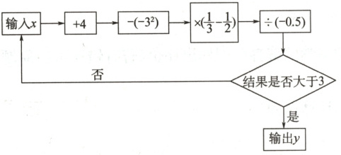
8. 根据如图的程序计算,若输入$x$的值为$-16$,则输出$y$的值为.

答案:
4
9. (1)$-2^3÷(-2-\frac{1}{4})×(-\frac{1}{3})^2-\frac{32}{81}+1$;
(2)$(-5^2)÷\frac{5}{4}×\frac{4}{5}÷(-4^2)$;
(3)$2^3-12×(-\frac{5}{6}+\frac{3}{4})$;
(4)$(\frac{1}{8}-\frac{5}{12})×24-(-3-3)^2÷(-6÷3)^2$;
(5)$[26-(\frac{7}{9}-\frac{11}{12}+\frac{1}{6})×(-6)^2]÷(-5)^2$;
(6)$[50-(\frac{7}{9}-\frac{11}{12}+\frac{1}{6})×(-6)^2]÷(-7)^2$.
(2)$(-5^2)÷\frac{5}{4}×\frac{4}{5}÷(-4^2)$;
(3)$2^3-12×(-\frac{5}{6}+\frac{3}{4})$;
(4)$(\frac{1}{8}-\frac{5}{12})×24-(-3-3)^2÷(-6÷3)^2$;
(5)$[26-(\frac{7}{9}-\frac{11}{12}+\frac{1}{6})×(-6)^2]÷(-5)^2$;
(6)$[50-(\frac{7}{9}-\frac{11}{12}+\frac{1}{6})×(-6)^2]÷(-7)^2$.
答案:
(1) 原式$=-8÷(-\frac{9}{4})×\frac{1}{9}-\frac{32}{81}+1$
$=-8×(-\frac{4}{9})×\frac{1}{9}-\frac{32}{81}+1$
$=\frac{32}{81}-\frac{32}{81}+1$
$=1$
(2) 原式$=-25×\frac{4}{5}×\frac{4}{5}÷(-16)$
$=-20×\frac{4}{5}÷(-16)$
$=-16÷(-16)$
$=1$
(3) 原式$=8 - 12×(-\frac{1}{12})$
$=8 + 1$
$=9$
(4) 原式$=(-\frac{7}{24})×24 - (-6)^2÷(-2)^2$
$=-7 - 36÷4$
$=-7 - 9$
$=-16$
(5) 原式$=[26 - (\frac{7}{9}-\frac{11}{12}+\frac{1}{6})×36]÷25$
$=[26 - 1]÷25$
$=25÷25$
$=1$
(6) 原式$=[50 - (\frac{7}{9}-\frac{11}{12}+\frac{1}{6})×36]÷49$
$=[50 - 1]÷49$
$=49÷49$
$=1$
(1) 原式$=-8÷(-\frac{9}{4})×\frac{1}{9}-\frac{32}{81}+1$
$=-8×(-\frac{4}{9})×\frac{1}{9}-\frac{32}{81}+1$
$=\frac{32}{81}-\frac{32}{81}+1$
$=1$
(2) 原式$=-25×\frac{4}{5}×\frac{4}{5}÷(-16)$
$=-20×\frac{4}{5}÷(-16)$
$=-16÷(-16)$
$=1$
(3) 原式$=8 - 12×(-\frac{1}{12})$
$=8 + 1$
$=9$
(4) 原式$=(-\frac{7}{24})×24 - (-6)^2÷(-2)^2$
$=-7 - 36÷4$
$=-7 - 9$
$=-16$
(5) 原式$=[26 - (\frac{7}{9}-\frac{11}{12}+\frac{1}{6})×36]÷25$
$=[26 - 1]÷25$
$=25÷25$
$=1$
(6) 原式$=[50 - (\frac{7}{9}-\frac{11}{12}+\frac{1}{6})×36]÷49$
$=[50 - 1]÷49$
$=49÷49$
$=1$
查看更多完整答案,请扫码查看