2025年金学典同步解析与测评贵州人民出版社七年级数学上册人教版
注:目前有些书本章节名称可能整理的还不是很完善,但都是按照顺序排列的,请同学们按照顺序仔细查找。练习册 2025年金学典同步解析与测评贵州人民出版社七年级数学上册人教版 答案主要是用来给同学们做完题方便对答案用的,请勿直接抄袭。
第39页
- 第1页
- 第2页
- 第3页
- 第4页
- 第5页
- 第6页
- 第7页
- 第8页
- 第9页
- 第10页
- 第11页
- 第12页
- 第13页
- 第14页
- 第15页
- 第16页
- 第17页
- 第18页
- 第19页
- 第20页
- 第21页
- 第22页
- 第23页
- 第24页
- 第25页
- 第26页
- 第27页
- 第28页
- 第29页
- 第30页
- 第31页
- 第32页
- 第33页
- 第34页
- 第35页
- 第36页
- 第37页
- 第38页
- 第39页
- 第40页
- 第41页
- 第42页
- 第43页
- 第44页
- 第45页
- 第46页
- 第47页
- 第48页
- 第49页
- 第50页
- 第51页
- 第52页
- 第53页
- 第54页
- 第55页
- 第56页
- 第57页
- 第58页
- 第59页
- 第60页
- 第61页
- 第62页
- 第63页
- 第64页
- 第65页
- 第66页
- 第67页
- 第68页
- 第69页
- 第70页
- 第71页
- 第72页
- 第73页
- 第74页
- 第75页
- 第76页
- 第77页
- 第78页
- 第79页
- 第80页
- 第81页
- 第82页
- 第83页
- 第84页
- 第85页
- 第86页
- 第87页
- 第88页
- 第89页
- 第90页
- 第91页
- 第92页
- 第93页
- 第94页
- 第95页
- 第96页
- 第97页
- 第98页
- 第99页
- 第100页
- 第101页
- 第102页
- 第103页
- 第104页
- 第105页
- 第106页
- 第107页
- 第108页
- 第109页
- 第110页
- 第111页
7. (1) 计算下列两组算式:
①$(3×5)^{2}$与$3^{2}×5^{2}$;
②$[(-2)×3]^{2}$与$(-2)^{2}×3^{2}$.
(2) 根据以上计算结果猜想:$(ab)^{3}$等于什么?(直接写出结果)
(3) 猜想与验证:当n为正整数时,$(ab)^{n}$等于什么?请你利用乘方的意义说明理由.
(4) 利用上述结论,求$(-4)^{2024}×0.25^{2025}$的值.
①$(3×5)^{2}$与$3^{2}×5^{2}$;
②$[(-2)×3]^{2}$与$(-2)^{2}×3^{2}$.
(2) 根据以上计算结果猜想:$(ab)^{3}$等于什么?(直接写出结果)
(3) 猜想与验证:当n为正整数时,$(ab)^{n}$等于什么?请你利用乘方的意义说明理由.
(4) 利用上述结论,求$(-4)^{2024}×0.25^{2025}$的值.
答案:
7.[解]
(1)①$(3×5)^2=15^2=225$,
$3^2×5^2=9×25=225$。
②$[(-2)×3]^2=(-6)^2=36$,
$(-2)^2×3^2=4×9=36$。
(2)$(ab)^2=a^2b^2$。
(3)当n为正整数时,$(ab)^n=a^nb^n$。
理由如下.
当n为正整数时,
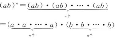
$(ab)^n=\underbrace{(ab)\cdot(ab)\cdot\cdots\cdot(ab)}_{n个}$
$=(\underbrace{a\cdot a\cdot\cdots\cdot a}_{n个})\cdot(\underbrace{b\cdot b\cdot\cdots\cdot b}_{n个})$
$=a^nb^n$。

∴当n为正整数时,$(ab)^n=a^nb^n$。
(4)$(-4)^{2024}×0.25^{2025}=(-4)^{2024}×0.25^{2024}×0.25=(-4×0.25)^{2024}×0.25=1×0.25=0.25$。
7.[解]
(1)①$(3×5)^2=15^2=225$,
$3^2×5^2=9×25=225$。
②$[(-2)×3]^2=(-6)^2=36$,
$(-2)^2×3^2=4×9=36$。
(2)$(ab)^2=a^2b^2$。
(3)当n为正整数时,$(ab)^n=a^nb^n$。
理由如下.
当n为正整数时,
$(ab)^n=\underbrace{(ab)\cdot(ab)\cdot\cdots\cdot(ab)}_{n个}$
$=(\underbrace{a\cdot a\cdot\cdots\cdot a}_{n个})\cdot(\underbrace{b\cdot b\cdot\cdots\cdot b}_{n个})$
$=a^nb^n$。
∴当n为正整数时,$(ab)^n=a^nb^n$。
(4)$(-4)^{2024}×0.25^{2025}=(-4)^{2024}×0.25^{2024}×0.25=(-4×0.25)^{2024}×0.25=1×0.25=0.25$。
8. 远古时期,人们通过在绳子上打结来记录数量,即“结绳计数”. 如图,一位母亲在从右到左依次排列的绳子上打结,满七进一,用来记录孩子自出生后的天数,由图可知,孩子自出生后的天数是.

答案:
8.466
[解析]$1×7^3+2×7^2+3×7+4 =466$(天)。
[解析]$1×7^3+2×7^2+3×7+4 =466$(天)。
查看更多完整答案,请扫码查看