第59页
- 第1页
- 第2页
- 第3页
- 第4页
- 第5页
- 第6页
- 第7页
- 第8页
- 第9页
- 第10页
- 第11页
- 第12页
- 第13页
- 第14页
- 第15页
- 第16页
- 第17页
- 第18页
- 第19页
- 第20页
- 第21页
- 第22页
- 第23页
- 第24页
- 第25页
- 第26页
- 第27页
- 第28页
- 第29页
- 第30页
- 第31页
- 第32页
- 第33页
- 第34页
- 第35页
- 第36页
- 第37页
- 第38页
- 第39页
- 第40页
- 第41页
- 第42页
- 第43页
- 第44页
- 第45页
- 第46页
- 第47页
- 第48页
- 第49页
- 第50页
- 第51页
- 第52页
- 第53页
- 第54页
- 第55页
- 第56页
- 第57页
- 第58页
- 第59页
- 第60页
- 第61页
- 第62页
- 第63页
- 第64页
- 第65页
- 第66页
- 第67页
- 第68页
- 第69页
- 第70页
- 第71页
- 第72页
- 第73页
- 第74页
- 第75页
- 第76页
- 第77页
- 第78页
- 第79页
- 第80页
- 第81页
- 第82页
- 第83页
- 第84页
- 第85页
- 第86页
- 第87页
- 第88页
- 第89页
- 第90页
- 第91页
- 第92页
- 第93页
- 第94页
- 第95页
- 第96页
- 第97页
- 第98页
- 第99页
- 第100页
- 第101页
- 第102页
- 第103页
- 第104页
- 第105页
- 第106页
1. 当$a = - 2$时,代数式$3 - a$的值是(
A.$1$
B.$- 1$
C.$5$
D.$- 5$
C
)A.$1$
B.$- 1$
C.$5$
D.$- 5$
答案:
C
2. 在代数式$x^{2}-y^{2}$里,当$x$,$y分别取-\frac{1}{2}$,$2$时,这个代数式的值为(
A.$\frac{17}{4}$
B.$-\frac{17}{4}$
C.$\frac{15}{4}$
D.$-\frac{15}{4}$
D
)A.$\frac{17}{4}$
B.$-\frac{17}{4}$
C.$\frac{15}{4}$
D.$-\frac{15}{4}$
答案:
D
3. 已知$y = x^{2}-2x + 1$,当$x = 3$时,$y$的值是(
A.$4$
B.$2$
C.$1$
D.$- 3$
A
)A.$4$
B.$2$
C.$1$
D.$- 3$
答案:
A
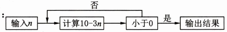
4. 按下面的程序计算:

若输入的$n = 2$,则输出结果是(
A.$4$
B.$- 2$
C.$- 3$
D.$- 4$
若输入的$n = 2$,则输出结果是(
B
)A.$4$
B.$- 2$
C.$- 3$
D.$- 4$
答案:
B
5. 某种苹果的售价是每千克$a元(a\lt10)$,用$50元买5kg$这种苹果,应找回
$50 - 5a$
元,如果$a = 8$,应找回$10$
元。
答案:
$50 - 5a$;$10$。
6. 当$a = 4$,$b = -\frac{3}{2}$时,代数式$4ab$的值为
$-24$
,代数式$a^{2}+ab - b^{2}$的值为$\frac{31}{4}$
。
答案:
$-24$,$\frac{31}{4}$
7. 填表:
| $x$ | $- 1$ | $-\frac{1}{2}$ | $0$ | $0.5$ | $3$ |
| $3x - 1$ | | | | | |
| $(3x - 1)^{2}$ | | | | | |
| $x$ | $- 1$ | $-\frac{1}{2}$ | $0$ | $0.5$ | $3$ |
| $3x - 1$ | | | | | |
| $(3x - 1)^{2}$ | | | | | |
答案:
7. | $3x - 1$ | $-4$ | $-\frac{5}{2}$ | $-1$ | $0.5$ | $8$ |
| $(3x - 1)^{2}$ | $16$ | $\frac{25}{4}$ | $1$ | $0.25$ | $64$ |
| $(3x - 1)^{2}$ | $16$ | $\frac{25}{4}$ | $1$ | $0.25$ | $64$ |
8. 求下列代数式的值:
(1)$\frac{m^{2}-1}{m + 1}$,其中$m = 2$;
(2)$(a - b)^{2}-4c^{2}$,其中$a = 7$,$b = - 3$,$c = 5$。
(1)$\frac{m^{2}-1}{m + 1}$,其中$m = 2$;
(2)$(a - b)^{2}-4c^{2}$,其中$a = 7$,$b = - 3$,$c = 5$。
答案:
(1)
当$m = 2$时,
原式$\frac{m^{2}-1}{m + 1}=\frac{2^{2}-1}{2 + 1}=\frac{4 - 1}{3}=\frac{3}{3}=1$。
(2)
当$a = 7$,$b = - 3$,$c = 5$时,
$(a - b)^{2}-4c^{2}=[7-(-3)]^{2}-4×5^{2}=(7 + 3)^{2}-4×25=100 - 100=0$。
(1)
当$m = 2$时,
原式$\frac{m^{2}-1}{m + 1}=\frac{2^{2}-1}{2 + 1}=\frac{4 - 1}{3}=\frac{3}{3}=1$。
(2)
当$a = 7$,$b = - 3$,$c = 5$时,
$(a - b)^{2}-4c^{2}=[7-(-3)]^{2}-4×5^{2}=(7 + 3)^{2}-4×25=100 - 100=0$。
查看更多完整答案,请扫码查看