第33页
- 第1页
- 第2页
- 第3页
- 第4页
- 第5页
- 第6页
- 第7页
- 第8页
- 第9页
- 第10页
- 第11页
- 第12页
- 第13页
- 第14页
- 第15页
- 第16页
- 第17页
- 第18页
- 第19页
- 第20页
- 第21页
- 第22页
- 第23页
- 第24页
- 第25页
- 第26页
- 第27页
- 第28页
- 第29页
- 第30页
- 第31页
- 第32页
- 第33页
- 第34页
- 第35页
- 第36页
- 第37页
- 第38页
- 第39页
- 第40页
- 第41页
- 第42页
- 第43页
- 第44页
- 第45页
- 第46页
- 第47页
- 第48页
- 第49页
- 第50页
- 第51页
- 第52页
- 第53页
- 第54页
- 第55页
- 第56页
- 第57页
- 第58页
- 第59页
- 第60页
- 第61页
- 第62页
- 第63页
- 第64页
- 第65页
- 第66页
- 第67页
- 第68页
- 第69页
- 第70页
- 第71页
- 第72页
- 第73页
- 第74页
- 第75页
- 第76页
- 第77页
- 第78页
- 第79页
- 第80页
- 第81页
- 第82页
- 第83页
- 第84页
- 第85页
- 第86页
- 第87页
- 第88页
- 第89页
- 第90页
- 第91页
- 第92页
- 第93页
- 第94页
- 第95页
- 第96页
- 第97页
- 第98页
- 第99页
- 第100页
- 第101页
- 第102页
- 第103页
- 第104页
- 第105页
1. 一般地,二次函数$y= ax^{2}(a≠0)$的图象是一条
2. 在二次函数$y= ax^{2}(a≠0)$的图象中,①若$a>0$,当$x<0$时,$y随x$增大而
抛物线
,对称轴是y轴(直线x=0)
,顶点是原点
。当$a>0$时,抛物线的开口向上
,顶点是抛物线的最低
点;当$a<0$时,抛物线的开口向下
,顶点是抛物线的最高
点。$|a|$越大,抛物线的开口越小
。2. 在二次函数$y= ax^{2}(a≠0)$的图象中,①若$a>0$,当$x<0$时,$y随x$增大而
减小
,当$x= 0$时,$y$取最小
值是0,当$x>0$时,$y随x$增大而增大
;②若$a<0$,当$x<0$时,$y随x$增大而增大
,当$x= 0$时,$y$取最大
值是0,当$x>0$时,$y随x$增大而减小
。
答案:
1.抛物线 y轴(直线x=0) 原点 上 低 下 高 越小 2.减小 小 增大 增大 大 减小
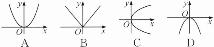
1. 如图,二次函数$y= x^{2}$的图象大致是 (

A.
B.
C.
A
)A.
B.
C.
答案:
A
2. 抛物线$y= (m-2)x^{2}$的开口向下,则$m$的取值范围是 (
A.$m>0$
B.$m<0$
C.$m>2$
D.$m<2$
D
)A.$m>0$
B.$m<0$
C.$m>2$
D.$m<2$
答案:
D
3. 若二次函数$y= ax^{2}$的图象经过点P(2,4),则该图象必经过点 (
A.$(2,-4)$
B.$(-2,4)$
C.$(-4,2)$
D.$(4,-2)$
B
)A.$(2,-4)$
B.$(-2,4)$
C.$(-4,2)$
D.$(4,-2)$
答案:
B
4. (教材P30例1改编)
已知二次函数:①$y= \frac {1}{2}x^{2}$;②$y= -\frac {1}{2}x$;③$y= \frac {1}{3}x^{2}$。
(1)在同一坐标系中画出它们的图象;
(2)根据图象填空:

①这三条抛物线中,开口向上的抛物线是____,开口向下的抛物线是____;(填序号)
②这三条抛物线的对称轴都是____,顶点坐标都是____;
③抛物线$y= \frac {1}{2}x^{2}与y= -\frac {1}{2}x^{2}$的形状____,它们关于____轴对称;
④这三条抛物线中,开口最大的是____;
⑤由图象可知当$|a|$相同时,抛物线形状____。$|a|$越小,抛物线的开口越____(填“大”或“小”)。
已知二次函数:①$y= \frac {1}{2}x^{2}$;②$y= -\frac {1}{2}x$;③$y= \frac {1}{3}x^{2}$。
(1)在同一坐标系中画出它们的图象;
(2)根据图象填空:
①这三条抛物线中,开口向上的抛物线是____,开口向下的抛物线是____;(填序号)
②这三条抛物线的对称轴都是____,顶点坐标都是____;
③抛物线$y= \frac {1}{2}x^{2}与y= -\frac {1}{2}x^{2}$的形状____,它们关于____轴对称;
④这三条抛物线中,开口最大的是____;
⑤由图象可知当$|a|$相同时,抛物线形状____。$|a|$越小,抛物线的开口越____(填“大”或“小”)。
答案:
(1)解:画图如图所示:
(2)①③ ② y轴 (0,0) 相同 x y=$\frac{1}{3}$x² 相同 大
(1)解:画图如图所示:
(2)①③ ② y轴 (0,0) 相同 x y=$\frac{1}{3}$x² 相同 大
5. 分别求出符合下列条件的抛物线$y= ax^{2}(a≠0)$的解析式:
(1)经过点$(-2,8)$;
(2)与抛物线$y= \frac {1}{4}x^{2}$的开口大小相同、方向相反。
(1)经过点$(-2,8)$;
(2)与抛物线$y= \frac {1}{4}x^{2}$的开口大小相同、方向相反。
答案:
解:
(1)把点(−2,8)代入y=ax²中,得4a=8.解得a=2.
∴y=2x²;
(2)y=−$\frac{1}{4}$x².
(1)把点(−2,8)代入y=ax²中,得4a=8.解得a=2.
∴y=2x²;
(2)y=−$\frac{1}{4}$x².
6. (教材P31“思考”改编)
(1)【根据图象比较函数值的大小】
二次函数$y= 2x^{2}$的图象如图所示,当$x>0$时,图象在第

(2)【由对称轴同侧变为异侧,比较函数值的大小】
若点$(-1,y_{1}),(2,y_{2})都在函数y= 3x^{2}$的图象上,则$y_{1}$
(3)【由对称轴同侧的增减性,求参数的取值范围】
已知二次函数$y= (a-1)x^{2}$,当$x>0$时,$y随x$增大而减小,则实数$a$的取值范围是(
A. $a>0$
B. $a>1$
C. $a≠1$
D. $a<1$
(1)【根据图象比较函数值的大小】
二次函数$y= 2x^{2}$的图象如图所示,当$x>0$时,图象在第
一
象限,$y随x$的增大而增大
;当$x<0$时,图象在第二
象限,$y随x$的增大而减小
;若点$(2,y_{1})和点(3,y_{2})$都在此函数的图象上,则$y_{1}$<
$y_{2}$。(填“>”或“<”)(2)【由对称轴同侧变为异侧,比较函数值的大小】
若点$(-1,y_{1}),(2,y_{2})都在函数y= 3x^{2}$的图象上,则$y_{1}$
<
$y_{2}$(填“>”或“<”)。(3)【由对称轴同侧的增减性,求参数的取值范围】
已知二次函数$y= (a-1)x^{2}$,当$x>0$时,$y随x$增大而减小,则实数$a$的取值范围是(
D
)A. $a>0$
B. $a>1$
C. $a≠1$
D. $a<1$
答案:
(1)一 增大 二 减小 <
(2)<
(3)D
(1)一 增大 二 减小 <
(2)<
(3)D
查看更多完整答案,请扫码查看