2025年全优课堂九年级数学下册华师大版
注:目前有些书本章节名称可能整理的还不是很完善,但都是按照顺序排列的,请同学们按照顺序仔细查找。练习册 2025年全优课堂九年级数学下册华师大版 答案主要是用来给同学们做完题方便对答案用的,请勿直接抄袭。
第6页
- 第1页
- 第2页
- 第3页
- 第4页
- 第5页
- 第6页
- 第7页
- 第8页
- 第9页
- 第10页
- 第11页
- 第12页
- 第13页
- 第14页
- 第15页
- 第16页
- 第17页
- 第18页
- 第19页
- 第20页
- 第21页
- 第22页
- 第23页
- 第24页
- 第25页
- 第26页
- 第27页
- 第28页
- 第29页
- 第30页
- 第31页
- 第32页
- 第33页
- 第34页
- 第35页
- 第36页
- 第37页
- 第38页
- 第39页
- 第40页
- 第41页
- 第42页
- 第43页
- 第44页
- 第45页
- 第46页
- 第47页
- 第48页
- 第49页
- 第50页
- 第51页
- 第52页
- 第53页
- 第54页
- 第55页
- 第56页
- 第57页
- 第58页
- 第59页
- 第60页
- 第61页
- 第62页
- 第63页
- 第64页
- 第65页
- 第66页
- 第67页
- 第68页
- 第69页
- 第70页
- 第71页
- 第72页
- 第73页
- 第74页
- 第75页
- 第76页
- 第77页
- 第78页
- 第79页
- 第80页
- 第81页
- 第82页
- 第83页
- 第84页
- 第85页
- 第86页
- 第87页
- 第88页
- 第89页
- 第90页
- 第91页
- 第92页
- 第93页
22. 已知$y=(2 - a)x^{a^{2}-7}$是二次函数,且当$x>0$时,$y$随$x$的增大而增大.
(1)求$a$的值;
(2)用描点法画出函数的图象.
(1)求$a$的值;
(2)用描点法画出函数的图象.
答案:
解:
(1)由已知得 $a^{2}-7 = 2$ 且 $2 - a\neq0$,解得 $a=\pm3$. 又 $\because$ 当 $x > 0$ 时,$y$ 随 $x$ 的增大而增大,$\therefore2 - a>0$,即 $a < 2$,$\therefore a = - 3$;
(2)由
(1)可知此函数关系式为 $y = 5x^{2}$,列表:

描点、连线如图所示.
解:
(1)由已知得 $a^{2}-7 = 2$ 且 $2 - a\neq0$,解得 $a=\pm3$. 又 $\because$ 当 $x > 0$ 时,$y$ 随 $x$ 的增大而增大,$\therefore2 - a>0$,即 $a < 2$,$\therefore a = - 3$;
(2)由
(1)可知此函数关系式为 $y = 5x^{2}$,列表:
描点、连线如图所示.
23. 已知抛物线$y = ax^{2}$经过点$(1,3)$.
(1)求$a$的值;
(2)当$x = 3$时,求$y$的值;
(3)说出此二次函数的三条性质.
(1)求$a$的值;
(2)当$x = 3$时,求$y$的值;
(3)说出此二次函数的三条性质.
答案:
解:
(1)$\because$ 抛物线 $y = ax^{2}$ 经过点 $(1,3)$,$\therefore a\times1 = 3$,$\therefore a = 3$;
(2)把 $x = 3$ 代入抛物线 $y = 3x^{2}$,得 $y = 3\times3^{2}=27$;
(3)图象的开口向上;坐标原点是图象的顶点;当 $x > 0$ 时,$y$ 随 $x$ 的增大而增大;图象有最低点,当 $x = 0$ 时,$y$ 有最小值,是 $0$.(答案不唯一)
(1)$\because$ 抛物线 $y = ax^{2}$ 经过点 $(1,3)$,$\therefore a\times1 = 3$,$\therefore a = 3$;
(2)把 $x = 3$ 代入抛物线 $y = 3x^{2}$,得 $y = 3\times3^{2}=27$;
(3)图象的开口向上;坐标原点是图象的顶点;当 $x > 0$ 时,$y$ 随 $x$ 的增大而增大;图象有最低点,当 $x = 0$ 时,$y$ 有最小值,是 $0$.(答案不唯一)
24. 如图,已知直线$l$过$A(4,0)$,$B(0,4)$两点,它与二次函数$y = ax^{2}$的图象在第一象限内相交于点$P$.若$\triangle AOP$的面积为$\frac{9}{2}$,求$a$的值.

答案:
解:设点 $P(x,y)$,直线 $AB$ 的关系式为 $y = kx + b$,将 $A(4,0)$,$B(0,4)$ 的坐标分别代入 $y = kx + b$,得 $\begin{cases}4k + b = 0\\b = 4\end{cases}$,解得 $\begin{cases}k = - 1\\b = 4\end{cases}$,故 $y = -x + 4$.$\because\triangle AOP$ 的面积为 $\frac{9}{2}=\frac{1}{2}\times4\times y$,$\therefore y=\frac{9}{4}$. 再把 $y=\frac{9}{4}$ 代入 $y = -x + 4$,得 $x=\frac{7}{4}$,所以 $P(\frac{7}{4},\frac{9}{4})$.
把点 $P(\frac{7}{4},\frac{9}{4})$ 的坐标代入到 $y = ax^{2}$ 中得 $a=\frac{36}{49}$.
把点 $P(\frac{7}{4},\frac{9}{4})$ 的坐标代入到 $y = ax^{2}$ 中得 $a=\frac{36}{49}$.
25. 根据条件,求下列各题中$m$的取值或取值范围.
(1)函数$y=(2m - 1)x^{2}$有最小值;
(2)函数$y=(m - 2)x^{2}$,当$x<0$时,$y$随着$x$的增大而增大;
(3)$y=(m + 1)x^{2}$与$y = 2x^{2}$的函数图象形状相同;
(4)函数$y = mx^{m^{2}+m}$的图象是开口向下的抛物线.
(1)函数$y=(2m - 1)x^{2}$有最小值;
(2)函数$y=(m - 2)x^{2}$,当$x<0$时,$y$随着$x$的增大而增大;
(3)$y=(m + 1)x^{2}$与$y = 2x^{2}$的函数图象形状相同;
(4)函数$y = mx^{m^{2}+m}$的图象是开口向下的抛物线.
答案:
解:
(1)$\because$ 函数 $y=(2m - 1)x^{2}$ 有最小值,$\therefore2m - 1>0$,$\therefore m>\frac{1}{2}$;
(2)$\because$ 当 $x < 0$ 时,函数 $y=(m - 2)x^{2}$ 中 $y$ 随着 $x$ 的增大而增大,$\therefore m - 2<0$,$\therefore m < 2$;
(3)$\because y=(m + 1)x^{2}$ 与 $y = 2x^{2}$ 的函数图象形状相同,$\therefore\vert m + 1\vert=\vert2\vert$,$\therefore m = 1$ 或 $m = - 3$;
(4)$\because$ 函数 $y = mx^{m^{2}+m}$ 的图象是开口向下的抛物线,$\therefore m^{2}+m = 2$ 且 $m < 0$,$\therefore m = - 2$.
(1)$\because$ 函数 $y=(2m - 1)x^{2}$ 有最小值,$\therefore2m - 1>0$,$\therefore m>\frac{1}{2}$;
(2)$\because$ 当 $x < 0$ 时,函数 $y=(m - 2)x^{2}$ 中 $y$ 随着 $x$ 的增大而增大,$\therefore m - 2<0$,$\therefore m < 2$;
(3)$\because y=(m + 1)x^{2}$ 与 $y = 2x^{2}$ 的函数图象形状相同,$\therefore\vert m + 1\vert=\vert2\vert$,$\therefore m = 1$ 或 $m = - 3$;
(4)$\because$ 函数 $y = mx^{m^{2}+m}$ 的图象是开口向下的抛物线,$\therefore m^{2}+m = 2$ 且 $m < 0$,$\therefore m = - 2$.
26. (贵阳中考)二次函数$y = x^{2}$的图象开口方向是 ______.(选填“向上”或“向下”)
答案:
向上
27. (贵港中考)若直线$y = m$($m$为常数)与函数$y=\begin{cases}x^{2}(x\leqslant2),\\\frac{4}{x}(x>2)\end{cases}$的图象恒有三个不同的交点,则常数$m$的取值范围是 ______。
答案:
$0 < m < 2$ 提示:函数 $y=\begin{cases}x^{2}(x\leqslant2)\\\frac{4}{x}(x > 2)\end{cases}$ 的图象如图所示,故要使直线 $y = m(m$ 为常数 $)$ 与函数 $y=\begin{cases}x^{2}(x\leqslant2)\\\frac{4}{x}(x > 2)\end{cases}$ 的图象恒有三个不同的交点,常数 $m$ 的取值范围为 $0 < m < 2$.
$0 < m < 2$ 提示:函数 $y=\begin{cases}x^{2}(x\leqslant2)\\\frac{4}{x}(x > 2)\end{cases}$ 的图象如图所示,故要使直线 $y = m(m$ 为常数 $)$ 与函数 $y=\begin{cases}x^{2}(x\leqslant2)\\\frac{4}{x}(x > 2)\end{cases}$ 的图象恒有三个不同的交点,常数 $m$ 的取值范围为 $0 < m < 2$.
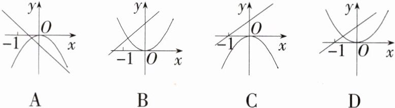
28. (呼和浩特中考)二次函数$y = ax^{2}$与一次函数$y = ax + a$在同一坐标系中的大致图象可能是 ( )

答案:
D 提示:由一次函数 $y = ax + a$ 可知,一次函数的图象与 $x$ 轴交于点 $(-1,0)$,排除 A,B;当 $a > 0$ 时,二次函数 $y = ax^{2}$ 开口向上,一次函数 $y = ax + a$ 经过一、二、三象限,当 $a < 0$ 时,二次函数开口向下,一次函数经过二、三、四象限,排除 C.
29. 如图,在平面直角坐标系中,垂直于$x$轴的直线分别交抛物线$y = x^{2}(x\geqslant0)$和抛物线$y=\frac{1}{4}x^{2}(x\geqslant0)$于点$A$和点$B$,过点$A$作$AC// x$轴交抛物线$y=\frac{1}{4}x^{2}$于点$C$,过点$B$作$BD// x$轴交抛物线$y = x^{2}$于点$D$,则$\frac{BD}{AC}$的值为 ( )
A. $\frac{1}{4}$
B. $\frac{\sqrt{2}}{4}$
C. $\frac{1}{2}$
D. $\frac{\sqrt{2}}{2}$
A. $\frac{1}{4}$
B. $\frac{\sqrt{2}}{4}$
C. $\frac{1}{2}$
D. $\frac{\sqrt{2}}{2}$
答案:
C
查看更多完整答案,请扫码查看