2025年全优课堂九年级数学下册华师大版
注:目前有些书本章节名称可能整理的还不是很完善,但都是按照顺序排列的,请同学们按照顺序仔细查找。练习册 2025年全优课堂九年级数学下册华师大版 答案主要是用来给同学们做完题方便对答案用的,请勿直接抄袭。
第44页
- 第1页
- 第2页
- 第3页
- 第4页
- 第5页
- 第6页
- 第7页
- 第8页
- 第9页
- 第10页
- 第11页
- 第12页
- 第13页
- 第14页
- 第15页
- 第16页
- 第17页
- 第18页
- 第19页
- 第20页
- 第21页
- 第22页
- 第23页
- 第24页
- 第25页
- 第26页
- 第27页
- 第28页
- 第29页
- 第30页
- 第31页
- 第32页
- 第33页
- 第34页
- 第35页
- 第36页
- 第37页
- 第38页
- 第39页
- 第40页
- 第41页
- 第42页
- 第43页
- 第44页
- 第45页
- 第46页
- 第47页
- 第48页
- 第49页
- 第50页
- 第51页
- 第52页
- 第53页
- 第54页
- 第55页
- 第56页
- 第57页
- 第58页
- 第59页
- 第60页
- 第61页
- 第62页
- 第63页
- 第64页
- 第65页
- 第66页
- 第67页
- 第68页
- 第69页
- 第70页
- 第71页
- 第72页
- 第73页
- 第74页
- 第75页
- 第76页
- 第77页
- 第78页
- 第79页
- 第80页
- 第81页
- 第82页
- 第83页
- 第84页
- 第85页
- 第86页
- 第87页
- 第88页
- 第89页
- 第90页
- 第91页
- 第92页
- 第93页
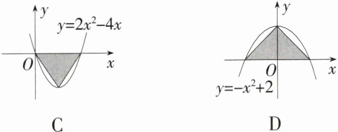
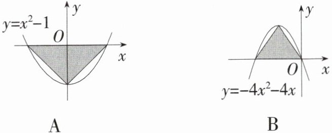
1. 下列图形中,阴影部分面积为 1 的是( )


A. $y = x^{2}-1$
B. $y=-4x^{2}-4x$
C. $y = 2x^{2}-4x$
D. $y=-x^{2}+2$
A. $y = x^{2}-1$
B. $y=-4x^{2}-4x$
C. $y = 2x^{2}-4x$
D. $y=-x^{2}+2$
答案:
A 提示:A. 该抛物线与坐标轴交于点(-1,0),(1,0),(0,-1),故阴影部分的三角形是等腰直角三角形,其面积$S = \frac{1}{2}×2×1 = 1$;B. 该抛物线与$x$轴交于点(0,0),(-1,0),顶点坐标为$(-\frac{1}{2},1)$,故阴影部分的三角形是等腰三角形,其面积$S = \frac{1}{2}×1×1 = \frac{1}{2}$;C. 该抛物线与$x$轴交于点(0,0),(2,0),顶点坐标为(1,-2),故阴影部分的三角形是等腰三角形,其面积$S = \frac{1}{2}×2×2 = 2$;D. 该抛物线与坐标轴交于$(-\sqrt{2},0)$,$(\sqrt{2},0)$,(0,2),故阴影部分的三角形是等腰三角形,其面积$S = \frac{1}{2}×2\sqrt{2}×2 = 2\sqrt{2}$。
2. 如图,在平面直角坐标系中,抛物线$y = x^{2}+bx + c$与$x$轴交于$A$,$B$两点,点$A$在$x$轴的负半轴上,点$B$在$x$轴的正半轴上,与$y$轴交于点$C$,且$CO = 2AO$,$CO = BO$,$AB = 3$. 在此抛物线上的某点$M$,使$\triangle MAB$的面积等于 4,这样的点共有________个.

答案:
2 提示:根据题意可求得抛物线表达式为$y=(x + 1)(x - 2)=x^{2}-x - 2=(x-\frac{1}{2})^{2}-\frac{9}{4}$。
∵要使$\triangle MAB$的面积等于 4,须使$M$到$x$轴的距离为$\frac{8}{3}$。
∵$\frac{8}{3}>\frac{9}{4}$,
∴这样的点共有 2 个。
∵要使$\triangle MAB$的面积等于 4,须使$M$到$x$轴的距离为$\frac{8}{3}$。
∵$\frac{8}{3}>\frac{9}{4}$,
∴这样的点共有 2 个。
3. 如图,四边形$OABC$是边长为 1 的正方形,$OC$与$x$轴正半轴的夹角为$15^{\circ}$,点$B$在抛物线$y = ax^{2}(a\lt0)$上,求$a$的值.

答案:
解:如图,连结$OB$,过点$B$作$BD\perp x$轴于点$D$,则$\angle BOC = 45^{\circ}$,$\angle BOD = 30^{\circ}$。已知正方形的边长为 1,则$OB = \sqrt{2}$。在$Rt\triangle OBD$中,$OB = \sqrt{2}$,$\angle BOD = 30^{\circ}$,则$BD = \frac{1}{2}OB = \frac{\sqrt{2}}{2}$,$OD = \frac{\sqrt{3}}{2}OB = \frac{\sqrt{6}}{2}$,故$B(\frac{\sqrt{6}}{2},-\frac{\sqrt{2}}{2})$。将$B$点坐标代入抛物线的解析式中,得$(\frac{\sqrt{6}}{2})^{2}a = -\frac{\sqrt{2}}{2}$,解得$a = -\frac{\sqrt{2}}{3}$。
解:如图,连结$OB$,过点$B$作$BD\perp x$轴于点$D$,则$\angle BOC = 45^{\circ}$,$\angle BOD = 30^{\circ}$。已知正方形的边长为 1,则$OB = \sqrt{2}$。在$Rt\triangle OBD$中,$OB = \sqrt{2}$,$\angle BOD = 30^{\circ}$,则$BD = \frac{1}{2}OB = \frac{\sqrt{2}}{2}$,$OD = \frac{\sqrt{3}}{2}OB = \frac{\sqrt{6}}{2}$,故$B(\frac{\sqrt{6}}{2},-\frac{\sqrt{2}}{2})$。将$B$点坐标代入抛物线的解析式中,得$(\frac{\sqrt{6}}{2})^{2}a = -\frac{\sqrt{2}}{2}$,解得$a = -\frac{\sqrt{2}}{3}$。
4. 如图,在平面直角坐标系$xOy$中,若抛物线$y = ax^{2}+bx + c(a\neq0)$与$x$轴交于$A$,$B$两点,与$y$轴交于点$C$,则称$\triangle ABC$为抛物线的“交轴三角形”.
(1)求抛物线$y = x^{2}-1$的“交轴三角形”的面积;
(2)写出抛物线$y = ax^{2}+bx + c(a\neq0)$存在“交轴三角形”的条件.

(1)求抛物线$y = x^{2}-1$的“交轴三角形”的面积;
(2)写出抛物线$y = ax^{2}+bx + c(a\neq0)$存在“交轴三角形”的条件.
答案:
解:
(1)
∵抛物线$y = x^{2}-1$与$x$轴交于$A(-1,0)$,$B(1,0)$,与$y$轴交于(0,-1),
∴“交轴三角形”$\triangle ABC$的面积$=\frac{1}{2}×2×1 = 1$;
(2)抛物线$y = ax^{2}+bx + c(a\neq0)$存在“交轴三角形”的条件:$b^{2}-4ac>0$且$c\neq0$。
(1)
∵抛物线$y = x^{2}-1$与$x$轴交于$A(-1,0)$,$B(1,0)$,与$y$轴交于(0,-1),
∴“交轴三角形”$\triangle ABC$的面积$=\frac{1}{2}×2×1 = 1$;
(2)抛物线$y = ax^{2}+bx + c(a\neq0)$存在“交轴三角形”的条件:$b^{2}-4ac>0$且$c\neq0$。
5. 已知抛物线$y =-\frac{1}{4}x^{2}+bx + c$经过点$A(4,3)$,顶点为$B$,对称轴是直线$x = 2$.
(1)求抛物线的函数表达式和顶点$B$的坐标;
(2)如图,抛物线与$y$轴交于点$C$,连结$AC$,过$A$作$AD\perp x$轴于点$D$,$E$是线段$AC$上的动点(点$E$不与$A$,$C$两点重合),若直线$BE$将四边形$ACOD$分成面积比为$1:3$的两部分,求点$E$的坐标.

(1)求抛物线的函数表达式和顶点$B$的坐标;
(2)如图,抛物线与$y$轴交于点$C$,连结$AC$,过$A$作$AD\perp x$轴于点$D$,$E$是线段$AC$上的动点(点$E$不与$A$,$C$两点重合),若直线$BE$将四边形$ACOD$分成面积比为$1:3$的两部分,求点$E$的坐标.
答案:
解:
(1)
∵抛物线$y = -\frac{1}{4}x^{2}+bx + c$经过点$A(4,3)$,对称轴是直线$x = 2$,
∴$\begin{cases}-\frac{1}{4}×4^{2}+4b + c = 3\\-\frac{b}{2×(-\frac{1}{4})}=2\end{cases}$,解得$\begin{cases}b = 1\\c = 3\end{cases}$,
∴抛物线的函数表达式为$y = -\frac{1}{4}x^{2}+x + 3$。
∵$y = -\frac{1}{4}x^{2}+x + 3 = -\frac{1}{4}(x - 2)^{2}+4$,
∴顶点$B$的坐标为(2,4);
(2)
∵$y = -\frac{1}{4}x^{2}+x + 3$,
∴$x = 0$时,$y = 3$,则点$C$的坐标为(0,3)。
∵$A(4,3)$,
∴$AC// OD$。
∵$AD\perp x$,
∴四边形$ACOD$是矩形。设点$E$的坐标为$(m,3)$,直线$BE$的函数表达式为$y = kx + n$,直线$BE$交$x$轴于点$M$,如图所示,则$\begin{cases}2k + n = 4\\mk + n = 3\end{cases}$,解得$\begin{cases}k = -\frac{1}{m - 2}\\n = \frac{4m - 6}{m - 2}\end{cases}$,
∴直线$BE$的函数表达式为$y = -\frac{1}{m - 2}x+\frac{4m - 6}{m - 2}$。令$y = -\frac{1}{m - 2}x+\frac{4m - 6}{m - 2}=0$,则$x = 4m - 6$,
∴点$M$的坐标为$(4m - 6,0)$。
∵直线$BE$将四边形$ACOD$分成面积比为 1:3 的两部分,
∴点$M$在线段$OD$上,点$M$不与点$O$重合。
∵$C(0,3)$,$A(4,3)$,$M(4m - 6,0)$,$E(m,3)$,
∴$OC = 3$,$AC = 4$,$OM = 4m - 6$,$CE = m$,
∴$S_{矩形 ACOD}=OC\cdot AC = 3×4 = 12$,$S_{梯形 ECOM}=\frac{1}{2}(OM + EC)\cdot OC=\frac{1}{2}(4m - 6 + m)×3=\frac{15m - 18}{2}$。分两种情况:①$\frac{S_{梯形 ECOM}}{S_{矩形 ACOD}}=\frac{1}{4}$,即$\frac{\frac{15m - 18}{2}}{12}=\frac{1}{4}$,解得$m = \frac{8}{5}$,
∴点$E$的坐标为$(\frac{8}{5},3)$;②$\frac{S_{梯形 ECOM}}{S_{矩形 ACOD}}=\frac{3}{4}$,即$\frac{\frac{15m - 18}{2}}{12}=\frac{3}{4}$,解得$m = \frac{12}{5}$,
∴点$E$的坐标为$(\frac{12}{5},3)$。综上所述,点$E$的坐标为$(\frac{8}{5},3)$或$(\frac{12}{5},3)$。
解:
(1)
∵抛物线$y = -\frac{1}{4}x^{2}+bx + c$经过点$A(4,3)$,对称轴是直线$x = 2$,
∴$\begin{cases}-\frac{1}{4}×4^{2}+4b + c = 3\\-\frac{b}{2×(-\frac{1}{4})}=2\end{cases}$,解得$\begin{cases}b = 1\\c = 3\end{cases}$,
∴抛物线的函数表达式为$y = -\frac{1}{4}x^{2}+x + 3$。
∵$y = -\frac{1}{4}x^{2}+x + 3 = -\frac{1}{4}(x - 2)^{2}+4$,
∴顶点$B$的坐标为(2,4);
(2)
∵$y = -\frac{1}{4}x^{2}+x + 3$,
∴$x = 0$时,$y = 3$,则点$C$的坐标为(0,3)。
∵$A(4,3)$,
∴$AC// OD$。
∵$AD\perp x$,
∴四边形$ACOD$是矩形。设点$E$的坐标为$(m,3)$,直线$BE$的函数表达式为$y = kx + n$,直线$BE$交$x$轴于点$M$,如图所示,则$\begin{cases}2k + n = 4\\mk + n = 3\end{cases}$,解得$\begin{cases}k = -\frac{1}{m - 2}\\n = \frac{4m - 6}{m - 2}\end{cases}$,
∴直线$BE$的函数表达式为$y = -\frac{1}{m - 2}x+\frac{4m - 6}{m - 2}$。令$y = -\frac{1}{m - 2}x+\frac{4m - 6}{m - 2}=0$,则$x = 4m - 6$,
∴点$M$的坐标为$(4m - 6,0)$。
∵直线$BE$将四边形$ACOD$分成面积比为 1:3 的两部分,
∴点$M$在线段$OD$上,点$M$不与点$O$重合。
∵$C(0,3)$,$A(4,3)$,$M(4m - 6,0)$,$E(m,3)$,
∴$OC = 3$,$AC = 4$,$OM = 4m - 6$,$CE = m$,
∴$S_{矩形 ACOD}=OC\cdot AC = 3×4 = 12$,$S_{梯形 ECOM}=\frac{1}{2}(OM + EC)\cdot OC=\frac{1}{2}(4m - 6 + m)×3=\frac{15m - 18}{2}$。分两种情况:①$\frac{S_{梯形 ECOM}}{S_{矩形 ACOD}}=\frac{1}{4}$,即$\frac{\frac{15m - 18}{2}}{12}=\frac{1}{4}$,解得$m = \frac{8}{5}$,
∴点$E$的坐标为$(\frac{8}{5},3)$;②$\frac{S_{梯形 ECOM}}{S_{矩形 ACOD}}=\frac{3}{4}$,即$\frac{\frac{15m - 18}{2}}{12}=\frac{3}{4}$,解得$m = \frac{12}{5}$,
∴点$E$的坐标为$(\frac{12}{5},3)$。综上所述,点$E$的坐标为$(\frac{8}{5},3)$或$(\frac{12}{5},3)$。
查看更多完整答案,请扫码查看