2025年全优课堂九年级数学下册华师大版
注:目前有些书本章节名称可能整理的还不是很完善,但都是按照顺序排列的,请同学们按照顺序仔细查找。练习册 2025年全优课堂九年级数学下册华师大版 答案主要是用来给同学们做完题方便对答案用的,请勿直接抄袭。
第20页
- 第1页
- 第2页
- 第3页
- 第4页
- 第5页
- 第6页
- 第7页
- 第8页
- 第9页
- 第10页
- 第11页
- 第12页
- 第13页
- 第14页
- 第15页
- 第16页
- 第17页
- 第18页
- 第19页
- 第20页
- 第21页
- 第22页
- 第23页
- 第24页
- 第25页
- 第26页
- 第27页
- 第28页
- 第29页
- 第30页
- 第31页
- 第32页
- 第33页
- 第34页
- 第35页
- 第36页
- 第37页
- 第38页
- 第39页
- 第40页
- 第41页
- 第42页
- 第43页
- 第44页
- 第45页
- 第46页
- 第47页
- 第48页
- 第49页
- 第50页
- 第51页
- 第52页
- 第53页
- 第54页
- 第55页
- 第56页
- 第57页
- 第58页
- 第59页
- 第60页
- 第61页
- 第62页
- 第63页
- 第64页
- 第65页
- 第66页
- 第67页
- 第68页
- 第69页
- 第70页
- 第71页
- 第72页
- 第73页
- 第74页
- 第75页
- 第76页
- 第77页
- 第78页
- 第79页
- 第80页
- 第81页
- 第82页
- 第83页
- 第84页
- 第85页
- 第86页
- 第87页
- 第88页
- 第89页
- 第90页
- 第91页
- 第92页
- 第93页
1. 小强将一个球竖直向上抛起,球升到最高点,垂直下落,直到地面. 在此过程中,球的高度与时间的关系可以用图中的哪一幅来近似地刻画 ( )

答案:
C 提示:因为是小强将一个球竖直向上抛,小强有一定的身高,故D一定不符合;小强抛出小球后,小球开始是向上运动的,故高度先增加,故A一定错误;小球升到一定高度后,会自由落下,高度就会降低,故B错误,C正确.
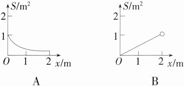
2. 周长是4 m的矩形,它的面积$S(m^{2})$与一边长$x(m)$的函数图象大致是 ( )


答案:
D 提示:
∵S = x(2 - x)=-(x - 1)² + 1(0 < x < 2).
∴图象为顶点坐标为(1,1),开口向下的抛物线的一部分.
∵S = x(2 - x)=-(x - 1)² + 1(0 < x < 2).
∴图象为顶点坐标为(1,1),开口向下的抛物线的一部分.
3. 若反比例函数$y = \frac{k}{x}(k\neq0)$的图象在第二、四象限,则二次函数$y = kx^{2}-2x$的大致图象是 ( )

答案:
A
4. 函数$y = ax^{2}+c$与$y = ax + c(a\neq0)$在同一坐标系内的图象是图中的 ( )

答案:
B 提示:A.由函数y = ax + c的图象可得a < 0,c > 0,由二次函数y = ax² + c的图象可得a > 0,c > 0,错误;B.由函数y = ax + c的图象可得a < 0,c > 0,由二次函数y = ax² + c的图象可得a < 0,c > 0,正确;C.由函数y = ax + c的图象可得a > 0,c < 0,由二次函数y = ax² + c的图象可得a < 0,c < 0,错误;D.由函数y = ax + c的图象可得a < 0,c < 0,由二次函数y = ax² + c的图象可得a < 0,c < 0,但函数y = ax + c,y = ax² + c的图象与y轴的交点是同一点,即(0,c),故错误.
5. 已知函数$y = \begin{cases}x^{2}+1(x\geqslant - 1)\\\frac{2}{x}(x < - 1)\end{cases}$,则下列函数图象正确的是 ( )

答案:
C 提示:y = x² + 1,图象是开口向上的抛物线,对称轴是y轴,顶点坐标是(0,1),当x ≥ - 1时,B,C,D正确;y = $\frac{2}{x}$,图象在第一、三象限,当x < - 1时,C正确.综上,C符合.
6. 已知点$A(-1,1),B(1,1),C(2,4)$在同一个函数图象上,这个函数图象可能是 ( )

答案:
B 提示:
∵A(-1,1),B(1,1),
∴A与B关于y轴对称,故C,D错误;
∵B(1,1),C(2,4),当x > 0时,y随x的增大而增大,而B(1,1)在直线y = x上,C(2,4)不在直线y = x上,所以图象不会是直线,故A错误.
∵A(-1,1),B(1,1),
∴A与B关于y轴对称,故C,D错误;
∵B(1,1),C(2,4),当x > 0时,y随x的增大而增大,而B(1,1)在直线y = x上,C(2,4)不在直线y = x上,所以图象不会是直线,故A错误.
7. 已知函数$y = -(x - m)(x - n)$(其中$m < n$)的图象如图所示,则一次函数$y = mx + n$与反比例函数$y = \frac{m + n}{x}$的图象可能是 ( )


答案:
C 提示:由题图可知,m < - 1,n = 1,所以,m + n < 0,所以一次函数y = mx + n的图象经过第一、二、四象限,且与y轴相交于点(0,1),反比例函数y = $\frac{m + n}{x}$的图象位于第二、四象限,纵观各选项,只有C选项图象符合.
查看更多完整答案,请扫码查看