2025年全优课堂九年级数学下册华师大版
注:目前有些书本章节名称可能整理的还不是很完善,但都是按照顺序排列的,请同学们按照顺序仔细查找。练习册 2025年全优课堂九年级数学下册华师大版 答案主要是用来给同学们做完题方便对答案用的,请勿直接抄袭。
第17页
- 第1页
- 第2页
- 第3页
- 第4页
- 第5页
- 第6页
- 第7页
- 第8页
- 第9页
- 第10页
- 第11页
- 第12页
- 第13页
- 第14页
- 第15页
- 第16页
- 第17页
- 第18页
- 第19页
- 第20页
- 第21页
- 第22页
- 第23页
- 第24页
- 第25页
- 第26页
- 第27页
- 第28页
- 第29页
- 第30页
- 第31页
- 第32页
- 第33页
- 第34页
- 第35页
- 第36页
- 第37页
- 第38页
- 第39页
- 第40页
- 第41页
- 第42页
- 第43页
- 第44页
- 第45页
- 第46页
- 第47页
- 第48页
- 第49页
- 第50页
- 第51页
- 第52页
- 第53页
- 第54页
- 第55页
- 第56页
- 第57页
- 第58页
- 第59页
- 第60页
- 第61页
- 第62页
- 第63页
- 第64页
- 第65页
- 第66页
- 第67页
- 第68页
- 第69页
- 第70页
- 第71页
- 第72页
- 第73页
- 第74页
- 第75页
- 第76页
- 第77页
- 第78页
- 第79页
- 第80页
- 第81页
- 第82页
- 第83页
- 第84页
- 第85页
- 第86页
- 第87页
- 第88页
- 第89页
- 第90页
- 第91页
- 第92页
- 第93页
1. 将二次函数$y = x^{2}-2x + 3$化为$y=(x - h)^{2}+k$的形式,结果为( )
A. $y=(x + 1)^{2}+4$
B. $y=(x - 1)^{2}+4$
C. $y=(x + 1)^{2}+2$
D. $y=(x - 1)^{2}+2$
A. $y=(x + 1)^{2}+4$
B. $y=(x - 1)^{2}+4$
C. $y=(x + 1)^{2}+2$
D. $y=(x - 1)^{2}+2$
答案:
D 提示:$y = x^{2}-2x + 3 = x^{2}-2x + 1-1 + 3=(x - 1)^{2}+2$.
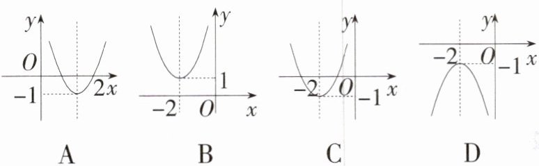
2. 二次函数$y = 2x^{2}+8x + 7$的图象大致是( )

答案:
C 提示:$y = 2x^{2}+8x + 7 = 2(x + 2)^{2}-1$,$\therefore$图象开口向上,对称轴为直线$x = - 2$,顶点为$(-2,-1)$.
3.(教材P18,T3变式)已知二次函数$y = ax^{2}+bx + c$,当$a = 1$,$b=-2$,$c = 1$时,请在下图的平面直角坐标系中画出此时二次函数的图象.

答案:
解:当$a = 1$,$b = - 2$,$c = 1$时,$y = x^{2}-2x + 1=(x - 1)^{2}$,$\therefore$该二次函数图象的顶点坐标为$(1,0)$,对称轴为直线$x = 1$.
列表:
|$x$|$\cdots$|$-1$|$0$|$1$|$2$|$3$|$\cdots$|
|$y$|$\cdots$|$4$|$1$|$0$|$1$|$4$|$\cdots$|
描点、连线,画出图象如下:
解:当$a = 1$,$b = - 2$,$c = 1$时,$y = x^{2}-2x + 1=(x - 1)^{2}$,$\therefore$该二次函数图象的顶点坐标为$(1,0)$,对称轴为直线$x = 1$.
列表:
|$x$|$\cdots$|$-1$|$0$|$1$|$2$|$3$|$\cdots$|
|$y$|$\cdots$|$4$|$1$|$0$|$1$|$4$|$\cdots$|
描点、连线,画出图象如下:
4. 如图,先在平面直角坐标系中画出二次函数$y=-x^{2}+2x$的大致图象;再在同一个平面直角坐标系中画出$y=-x^{2}+2x$的图象向上平移两个单位后的大致图象.

答案:
解:作图如下:
解:作图如下:
5. 抛物线$y=-x^{2}+2x + 3$的顶点坐标是( )
A. $(-1,4)$
B. $(1,3)$
C. $(-1,3)$
D. $(1,4)$
A. $(-1,4)$
B. $(1,3)$
C. $(-1,3)$
D. $(1,4)$
答案:
D 提示:$\because y=-x^{2}+2x + 3=-(x^{2}-2x + 1)+1 + 3=-(x - 1)^{2}+4$,$\therefore$抛物线$y=-x^{2}+2x + 3$的顶点坐标是$(1,4)$.
6. 已知二次函数$y=-x^{2}+2x + 1$,若$y$随$x$的增大而增大,则$x$的取值范围是( )
A. $x<1$
B. $x>1$
C. $x<2$
D. $x>2$
A. $x<1$
B. $x>1$
C. $x<2$
D. $x>2$
答案:
A 提示:$\because a=-1\lt0$,$\therefore$二次函数图象开口向下,又$\because$对称轴是直线$x=-\frac{b}{2a}=-\frac{2}{2\times(-1)} = 1$,$\therefore$当$x\lt1$时,$y$随$x$的增大而增大.
7. 若$A(2,y_{1})$,$B(-3,y_{2})$,$C(-1,y_{3})$三点在抛物线$y = x^{2}-4x - m$上,则$y_{1}$,$y_{2}$,$y_{3}$的大小关系是( )
A. $y_{1}>y_{2}>y_{3}$
B. $y_{2}>y_{1}>y_{3}$
C. $y_{2}>y_{3}>y_{1}$
D. $y_{3}>y_{1}>y_{2}$
A. $y_{1}>y_{2}>y_{3}$
B. $y_{2}>y_{1}>y_{3}$
C. $y_{2}>y_{3}>y_{1}$
D. $y_{3}>y_{1}>y_{2}$
答案:
C 提示:$\because$二次函数$y = x^{2}-4x - m$中$a = 1\gt0$,$\therefore$抛物线开口向上,对称轴为直线$x=-\frac{b}{2a}=2$.$\because A(2,y_{1})$中$x = 2$,$\therefore y_{1}$最小,又$\because B(-3,y_{2})$,$C(-1,y_{3})$都在对称轴的左侧,而在对称轴的左侧,即当$x\lt2$时,$y$随$x$的增大而减小,故$y_{2}\gt y_{3}$.$\therefore y_{2}\gt y_{3}\gt y_{1}$.
8. 如果抛物线$y=\frac{1}{2}x^{2}+(m - 1)x - m + 2$的对称轴是直线$x = 3$,那么$m$的值是________.
答案:
$-2$ 提示:$\because$抛物线$y=\frac{1}{2}x^{2}+(m - 1)x-m + 2$的对称轴是直线$x = 3$,$\therefore-\frac{b}{2a}=3$,即$-\frac{m - 1}{2\times\frac{1}{2}}=3$,解得$m=-2$.
9. 如果抛物线$y=(2 - a)x^{2}+3x - a$的开口向上,那么$a$的取值范围是________.
答案:
$a\lt2$ 提示:因为抛物线$y=(2 - a)x^{2}+3x - a$的开口向上,所以$2 - a\gt0$,即$a\lt2$.
10.(教材P18,T2变式)已知抛物线$y=-\frac{1}{2}x^{2}-x + 4$.
(1)确定它的顶点坐标和对称轴;
(2)$x$取何值时,$y$随$x$的增大而减小?
(1)确定它的顶点坐标和对称轴;
(2)$x$取何值时,$y$随$x$的增大而减小?
答案:
解:
(1)$\because y=-\frac{1}{2}x^{2}-x + 4$,其中$a=-\frac{1}{2}$,$b=-1$,$c = 4$,$\therefore-\frac{b}{2a}=-\frac{-1}{2\times(-\frac{1}{2})}=-1$,$\frac{4ac - b^{2}}{4a}=\frac{4\times(-\frac{1}{2})\times4-(-1)^{2}}{4\times(-\frac{1}{2})}=\frac{9}{2}$,$\therefore$它的顶点坐标为$(-1,\frac{9}{2})$,对称轴为直线$x=-1$;
(2)$\because$抛物线对称轴是直线$x=-1$,开口向下,$\therefore$当$x\gt - 1$时,$y$随$x$的增大而减小.
(1)$\because y=-\frac{1}{2}x^{2}-x + 4$,其中$a=-\frac{1}{2}$,$b=-1$,$c = 4$,$\therefore-\frac{b}{2a}=-\frac{-1}{2\times(-\frac{1}{2})}=-1$,$\frac{4ac - b^{2}}{4a}=\frac{4\times(-\frac{1}{2})\times4-(-1)^{2}}{4\times(-\frac{1}{2})}=\frac{9}{2}$,$\therefore$它的顶点坐标为$(-1,\frac{9}{2})$,对称轴为直线$x=-1$;
(2)$\because$抛物线对称轴是直线$x=-1$,开口向下,$\therefore$当$x\gt - 1$时,$y$随$x$的增大而减小.
11. 函数$y = ax^{2}+bx + c$的图象如图所示,下列选项不正确的是( )

A. $a>0$
B. $c>0$
C. $b>0$
D. $a + b - c>0$
A. $a>0$
B. $c>0$
C. $b>0$
D. $a + b - c>0$
答案:
B 提示:由图象开口向上可得$a\gt0$,故A正确;由$x=-\frac{b}{2a}\lt0$,可得$b\gt0$,故C正确;由二次函数$y = ax^{2}+bx + c$的图象交$y$轴于负半轴可得$c\lt0$,故B错误;$\because a\gt0$,$b\gt0$,$c\lt0$,$\therefore - c\gt0$,$\therefore a + b - c\gt0$,可得D正确.
查看更多完整答案,请扫码查看