第89页
- 第1页
- 第2页
- 第3页
- 第4页
- 第5页
- 第6页
- 第7页
- 第8页
- 第9页
- 第10页
- 第11页
- 第12页
- 第13页
- 第14页
- 第15页
- 第16页
- 第17页
- 第18页
- 第19页
- 第20页
- 第21页
- 第22页
- 第23页
- 第24页
- 第25页
- 第26页
- 第27页
- 第28页
- 第29页
- 第30页
- 第31页
- 第32页
- 第33页
- 第34页
- 第35页
- 第36页
- 第37页
- 第38页
- 第39页
- 第40页
- 第41页
- 第42页
- 第43页
- 第44页
- 第45页
- 第46页
- 第47页
- 第48页
- 第49页
- 第50页
- 第51页
- 第52页
- 第53页
- 第54页
- 第55页
- 第56页
- 第57页
- 第58页
- 第59页
- 第60页
- 第61页
- 第62页
- 第63页
- 第64页
- 第65页
- 第66页
- 第67页
- 第68页
- 第69页
- 第70页
- 第71页
- 第72页
- 第73页
- 第74页
- 第75页
- 第76页
- 第77页
- 第78页
- 第79页
- 第80页
- 第81页
- 第82页
- 第83页
- 第84页
- 第85页
- 第86页
- 第87页
- 第88页
- 第89页
- 第90页
- 第91页
- 第92页
1. (2023·湖南永州中考)关于x的一元一次方程2x + m = 5的解为x = 1,则m的值为 (
A.3
B.-3
C.7
D.-7
A
)A.3
B.-3
C.7
D.-7
答案:
A[提示:因为x=1是关于x的一元一次方程2x+m=5的解,所以2×1+m=5,所以m=3.]
2. (2023·海南中考)若代数式x + 2的值为7,则x等于 (
A.9
B.-9
C.5
D.-5
C
)A.9
B.-9
C.5
D.-5
答案:
C[提示:由题意,得x+2=7,解得x=5.]
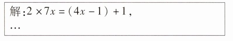
3. (2023·浙江衢州中考)小红在解方程$\frac{7x}{3}= \frac{4x - 1}{6}+1$时,第一步出现了错误:

(1)请在相应的方框内用横线划出小红的错误处.
(2)写出你的解答过程.
(1)请在相应的方框内用横线划出小红的错误处.
(2)写出你的解答过程.
答案:
解:
(1)如图.
解:2×7x=(4x-1)+1,
...
(2)去分母,得2×7x=(4x-1)+6.去括号,得14x=4x-1+6.移项,得14x-4x=-1+6.合并同类项,得10x=5.系数化为1,得$x=\frac{1}{2}$.
(1)如图.
解:2×7x=(4x-1)+1,
...
(2)去分母,得2×7x=(4x-1)+6.去括号,得14x=4x-1+6.移项,得14x-4x=-1+6.合并同类项,得10x=5.系数化为1,得$x=\frac{1}{2}$.
4. (2023·山东日照中考)《九章算术》是中国古代重要的数学著作,其中“盈不足术”记载:今有共买鸡,人出九,盈十一;人出六,不足十六.问人数鸡价各几何? 译文:今有人合伙买鸡,每人出9钱,会多出11钱;每人出6钱,又差16钱.问人数、买鸡的钱数各是多少? 设人数为x,可列方程为 (
A.9x + 11 = 6x + 16
B.9x - 11 = 6x - 16
C.9x + 11 = 6x - 16
D.9x - 11 = 6x + 16
D
)A.9x + 11 = 6x + 16
B.9x - 11 = 6x - 16
C.9x + 11 = 6x - 16
D.9x - 11 = 6x + 16
答案:
D[提示:由题意,得9x-11=6x+16.]
5. (2023·四川德阳中考)在初中数学文化节游园活动中,被称为“数学小王子”的王小明参加了“智取九宫格”游戏比赛,活动规则是:在九宫格中,除了已经填写的三个数之外的每一个方格中,填入一个数,使每一横行、每一竖列以及两条对角线上的3个数之和分别相等,且均为m.王小明抽取到的题目如图所示,他运用初中所学的数学知识,很快就完成了这个游戏,则m =

39
.
答案:
39[提示:设九宫格中最中间的数为x.因为第1列中间数与第2行最左侧的数重合,所以16+4=7+x,解得x=13.根据九宫格每一横行、每一竖列以及两条对角线上的3个数之和等于最中间数的3倍,所以m=3x=39.]
6. (2023·陕西中考)小红在一家文具店买了一种大笔记本4个和一种小笔记本6个,共用了62元.已知她买的这种大笔记本的单价比这种小笔记本的单价多3元,求该文具店中这种大笔记本的单价.
答案:
解:设该文具店中这种大笔记本的单价是x元,则小笔记本的单价是(x-3)元.因为买了一种大笔记本4个和一种小笔记本6个,共用了62元,所以4x+6(x-3)=62,解得x=8.答:该文具店中这种大笔记本的单价为8元.
7. (2023·河北中考)某磁性飞镖游戏的靶盘如图.珍珍玩了两局,每局投10次飞镖,若投到边界则不计入次数,需重新投.计分规则如下:

在第一局中,珍珍投中A区4次,B区2次,脱靶4次.
(1)求珍珍第一局的得分;
(2)第二局,珍珍投中A区k次,B区3次,其余全部脱靶.若本局得分比第一局提高了13分,求k的值.

在第一局中,珍珍投中A区4次,B区2次,脱靶4次.
(1)求珍珍第一局的得分;
(2)第二局,珍珍投中A区k次,B区3次,其余全部脱靶.若本局得分比第一局提高了13分,求k的值.
答案:
解:
(1)由题意,得4×3+2×1+4×(-2)=6(分).答:珍珍第一局的得分为6分.
(2)由题意,得3k+3×1+(10-k-3)×(-2)=6+13,解得k=6.所以k的值为6.
(1)由题意,得4×3+2×1+4×(-2)=6(分).答:珍珍第一局的得分为6分.
(2)由题意,得3k+3×1+(10-k-3)×(-2)=6+13,解得k=6.所以k的值为6.
查看更多完整答案,请扫码查看