第11页
- 第1页
- 第2页
- 第3页
- 第4页
- 第5页
- 第6页
- 第7页
- 第8页
- 第9页
- 第10页
- 第11页
- 第12页
- 第13页
- 第14页
- 第15页
- 第16页
- 第17页
- 第18页
- 第19页
- 第20页
- 第21页
- 第22页
- 第23页
- 第24页
- 第25页
- 第26页
- 第27页
- 第28页
- 第29页
- 第30页
- 第31页
- 第32页
- 第33页
- 第34页
- 第35页
- 第36页
- 第37页
- 第38页
- 第39页
- 第40页
- 第41页
- 第42页
- 第43页
- 第44页
- 第45页
- 第46页
- 第47页
- 第48页
- 第49页
- 第50页
- 第51页
- 第52页
- 第53页
- 第54页
- 第55页
- 第56页
- 第57页
- 第58页
- 第59页
- 第60页
- 第61页
- 第62页
- 第63页
- 第64页
- 第65页
- 第66页
- 第67页
- 第68页
- 第69页
- 第70页
- 第71页
- 第72页
- 第73页
- 第74页
- 第75页
- 第76页
- 第77页
- 第78页
- 第79页
- 第80页
- 第81页
- 第82页
- 第83页
- 第84页
- 第85页
- 第86页
- 第87页
- 第88页
- 第89页
- 第90页
- 第91页
- 第92页
1. 如图,数轴上的点A,B分别对应数a,b,下列结论正确的是(

A.$ a < b $
B.$ a > b $
C.$ a = b $
D.$ b = 2a $
A
)A.$ a < b $
B.$ a > b $
C.$ a = b $
D.$ b = 2a $
答案:
A
2. 若$ a > b > 0 $,则在数轴上表示数a,b正确的是(

A
)
答案:
A
3. 在数轴上,位于$ -3.1 和 1.1 $之间的点表示的整数有(
A.5个
B.4个
C.3个
D.无数个
A
)A.5个
B.4个
C.3个
D.无数个
答案:
A[提示:如图,位于−3.1和1.1之间的点表示的整数有−3,−2,−1,0,1,共5个.]
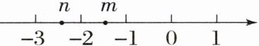
4. 已知有理数m,n在数轴上的位置如图,则m

>
n.(填“>”“<”或“=”)
答案:
>
5. 在如图所示的数轴上画出表示下列各数的点,并用“<”将这些数按从小到大的顺序连接起来.
$ -3.5 $ $ \dfrac{1}{2} $ $ -1\dfrac{1}{2} $ 4 0 2.5

$ -3.5 $ $ \dfrac{1}{2} $ $ -1\dfrac{1}{2} $ 4 0 2.5
答案:
解:如图,根据数轴的特点从左到右用“<”将这些数连接起来为−3.5<−1$\frac{1}{2}$<0<$\frac{1}{2}$<2.5<4.
解:如图,根据数轴的特点从左到右用“<”将这些数连接起来为−3.5<−1$\frac{1}{2}$<0<$\frac{1}{2}$<2.5<4.
6. (2023·广东广州越秀区期中)在$ -24 $,0,$ \dfrac{2}{5} $,2.5这四个数中,绝对值最大的数是(
A.$ -24 $
B.0
C.$ \dfrac{2}{5} $
D.2.5
A
)A.$ -24 $
B.0
C.$ \dfrac{2}{5} $
D.2.5
答案:
A
7. (教材P16练习T3变式)2023年1月某日零点,北京、上海、深圳、吉林的气温分别是$ -5^{\circ}C $,$ 6^{\circ}C $,$ 19^{\circ}C $,$ -22^{\circ}C $,当时这四个城市中,气温最低的是(
A.北京
B.上海
C.深圳
D.吉林
D
)A.北京
B.上海
C.深圳
D.吉林
答案:
D[提示:因为−22<−5<6<19,所以−22最小,即当时这四个城市中,气温最低的是吉林.]
8. 下列说法中不正确的有(
①最小的自然数是0;
②最大的负数是$ -1 $;
③绝对值最小的数是0;
④最小的正整数是1.
A.0个
B.1个
C.2个
D.3个
B
)①最小的自然数是0;
②最大的负数是$ -1 $;
③绝对值最小的数是0;
④最小的正整数是1.
A.0个
B.1个
C.2个
D.3个
答案:
B
9. (易错题)比较下列每组数的大小.
(1)$ -\dfrac{7}{12} 与 -\dfrac{5}{6} $;
(2)$ -\dfrac{9}{14} 与 -\dfrac{5}{8} $;
(3)$ \vert -3 \vert 与 -(-3) $;
(4)$ -1\dfrac{2}{5} 与 -1\dfrac{1}{3} $.
(1)$ -\dfrac{7}{12} 与 -\dfrac{5}{6} $;
(2)$ -\dfrac{9}{14} 与 -\dfrac{5}{8} $;
(3)$ \vert -3 \vert 与 -(-3) $;
(4)$ -1\dfrac{2}{5} 与 -1\dfrac{1}{3} $.
答案:
解:
(1)根据分数的基本性质,得−$\frac{5}{6}$=−$\frac{10}{12}$.根据有理数的大小比较法则,得−$\frac{7}{12}$>−$\frac{10}{12}$,即−$\frac{7}{12}$>−$\frac{5}{6}$.
(2)根据分数的基本性质,得−$\frac{9}{14}$=−$\frac{36}{56}$,−$\frac{5}{8}$=−$\frac{35}{56}$.根据有理数的大小比较法则,得−$\frac{35}{56}$>−$\frac{36}{56}$,即−$\frac{5}{8}$>−$\frac{9}{14}$.
(3)根据绝对值及相反数的定义,得$|-3|=3$,−(−3)=3,所以$|-3|$=−(−3).
(4)根据分数的基本性质,得−1$\frac{2}{5}$=−$\frac{7}{5}$=−$\frac{21}{15}$,−1$\frac{1}{3}$=−$\frac{4}{3}$=−$\frac{20}{15}$.根据有理数的大小比较法则,得−$\frac{20}{15}$>−$\frac{21}{15}$,即−1$\frac{1}{3}$>−1$\frac{2}{5}$.
(1)根据分数的基本性质,得−$\frac{5}{6}$=−$\frac{10}{12}$.根据有理数的大小比较法则,得−$\frac{7}{12}$>−$\frac{10}{12}$,即−$\frac{7}{12}$>−$\frac{5}{6}$.
(2)根据分数的基本性质,得−$\frac{9}{14}$=−$\frac{36}{56}$,−$\frac{5}{8}$=−$\frac{35}{56}$.根据有理数的大小比较法则,得−$\frac{35}{56}$>−$\frac{36}{56}$,即−$\frac{5}{8}$>−$\frac{9}{14}$.
(3)根据绝对值及相反数的定义,得$|-3|=3$,−(−3)=3,所以$|-3|$=−(−3).
(4)根据分数的基本性质,得−1$\frac{2}{5}$=−$\frac{7}{5}$=−$\frac{21}{15}$,−1$\frac{1}{3}$=−$\frac{4}{3}$=−$\frac{20}{15}$.根据有理数的大小比较法则,得−$\frac{20}{15}$>−$\frac{21}{15}$,即−1$\frac{1}{3}$>−1$\frac{2}{5}$.
查看更多完整答案,请扫码查看