第66页
- 第1页
- 第2页
- 第3页
- 第4页
- 第5页
- 第6页
- 第7页
- 第8页
- 第9页
- 第10页
- 第11页
- 第12页
- 第13页
- 第14页
- 第15页
- 第16页
- 第17页
- 第18页
- 第19页
- 第20页
- 第21页
- 第22页
- 第23页
- 第24页
- 第25页
- 第26页
- 第27页
- 第28页
- 第29页
- 第30页
- 第31页
- 第32页
- 第33页
- 第34页
- 第35页
- 第36页
- 第37页
- 第38页
- 第39页
- 第40页
- 第41页
- 第42页
- 第43页
- 第44页
- 第45页
- 第46页
- 第47页
- 第48页
- 第49页
- 第50页
- 第51页
- 第52页
- 第53页
- 第54页
- 第55页
- 第56页
- 第57页
- 第58页
- 第59页
- 第60页
- 第61页
- 第62页
- 第63页
- 第64页
- 第65页
- 第66页
- 第67页
- 第68页
- 第69页
- 第70页
- 第71页
- 第72页
- 第73页
- 第74页
- 第75页
- 第76页
- 第77页
- 第78页
- 第79页
- 第80页
- 第81页
- 第82页
- 第83页
- 第84页
- 第85页
- 第86页
- 第87页
- 第88页
- 第89页
- 第90页
- 第91页
- 第92页
1. (2023·四川乐山中考)计算 $2a - a$ 的结果为 (
A.$a$
B.$-a$
C.$3a$
D.$1$
A
)A.$a$
B.$-a$
C.$3a$
D.$1$
答案:
A[提示:2a-a=a.]
2. (2023·浙江丽水中考)计算 $a^{2}+2a^{2}$ 的正确结果是 (
A.$2a^{2}$
B.$2a^{4}$
C.$3a^{2}$
D.$3a^{4}$
C
)A.$2a^{2}$
B.$2a^{4}$
C.$3a^{2}$
D.$3a^{4}$
答案:
C[提示:$a^{2}+2a^{2}=(1+2)a^{2}=3a^{2}.$]
3. (2023·湖北宜昌中考)在日历上,某些数满足一定的规律.如图是某年8月份的日历,任意选择其中所示的含4个数字的方框部分,设右上角的数字为$a$,则下列叙述中正确的是 (

A.左上角的数字为 $a + 1$
B.左下角的数字为 $a + 7$
C.右下角的数字为 $a + 8$
D.方框中4个位置的数相加,结果是4的倍数
D
)A.左上角的数字为 $a + 1$
B.左下角的数字为 $a + 7$
C.右下角的数字为 $a + 8$
D.方框中4个位置的数相加,结果是4的倍数
答案:
D[提示:A中,左上角的数字为a-1;B中,左下角的数字为a+6;C中,右下角的数字为a+7;D中,方框中4个位置的数相加=a+a-1+a+6+a+7=4a+12=4(a+3),结果是4的倍数.]
4. (2023·辽宁沈阳中考)当 $a + b = 3$ 时,代数式 $2(a + 2b)-(3a + 5b)+5$ 的值为
2
.
答案:
2[提示:$2(a+2b)-(3a+5b)+5=2a+4b-3a-5b+5=-a-b+5=-(a+b)+5$,当a+b=3时,原式=-3+5=2.]
5. (2023·广东汕头潮阳区期末)下列式子中,与 $-3a^{2}b$ 是同类项的是 (
A.$-3ab^{2}$
B.$-ba^{2}$
C.$2ab^{2}$
D.$2a^{3}b$
B
)A.$-3ab^{2}$
B.$-ba^{2}$
C.$2ab^{2}$
D.$2a^{3}b$
答案:
B[提示:与$-3a^{2}b$是同类项的是$-ba^{2}$.]
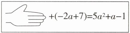
6. 王老师在黑板上书写了一个正确的演算过程,随后用手掌捂住了一个二次三项式,如图所示,则所捂的多项式为 (

A.$5a^{2}-a - 8$
B.$5a^{2}+3a - 8$
C.$5a^{2}-a + 6$
D.$-5a^{2}-3a + 8$
B
)A.$5a^{2}-a - 8$
B.$5a^{2}+3a - 8$
C.$5a^{2}-a + 6$
D.$-5a^{2}-3a + 8$
答案:
B[提示:$5a^{2}+a-1-(-2a+7)=5a^{2}+a-1+2a-7=5a^{2}+3a-8.$]
7. (2024·吉林长春农安县期末)在如图所示的运算程序中,如果开始输入的 $x$ 的值为 $-\frac{2}{3}$,则输出的结果为 (

A.$\frac{3}{2}$
B.$-\frac{3}{2}$
C.$\frac{9}{2}$
D.$-\frac{9}{2}$
C
)A.$\frac{3}{2}$
B.$-\frac{3}{2}$
C.$\frac{9}{2}$
D.$-\frac{9}{2}$
答案:
C[提示:因为$-\frac{2}{3}$是分数,所以$-\frac{1}{x}+3=\frac{3}{2}+3=\frac{9}{2}.$]
8. (2024·四川德阳中考)若一个多项式加上 $y^{2}+3xy - 4$,结果是 $3xy + 2y^{2}-5$,则这个多项式为
$y^{2}-1$
.
答案:
$y^{2}-1$[提示:$3xy+2y^{2}-5-(y^{2}+3xy-4)=3xy+2y^{2}-5-y^{2}-3xy+4=y^{2}-1.$]
9. 观察下面两列数:
$-2,-4,-6,-8,-10,-12……$
$-2,-5,-8,-11,-14,-17……$
通过探究可以发现,第1个相同的数是 $-2$,第2个相同的数是 $-8$,…,则第10个相同的数是
$-2,-4,-6,-8,-10,-12……$
$-2,-5,-8,-11,-14,-17……$
通过探究可以发现,第1个相同的数是 $-2$,第2个相同的数是 $-8$,…,则第10个相同的数是
-56
.若第 $n$ 个相同的数是 $-2018$,则 $n=$337
.
答案:
-56 337[提示:第1个相同的数是-2,第2个相同的数是$-8=-2-6$,第3个相同的数是$-14=-2-6×2$,第4个相同的数是$-20=-2-6×3$,...,第n个相同的数是$-2-6(n-1)=-6n+4$,所以n=10时,$-6×10+4=-56$,再令$-6n+4=-2018$,解得n=337.]
10. 已知 $A = 3x^{2}-x + 2y - 4xy,B = x^{2}-2x - y + xy - 5$.
(1)求 $A - 3B$;
(2)若 $(x + y-\frac{4}{5})^{2}+|xy + 1| = 0$,求 $A - 3B$ 的值.
(1)求 $A - 3B$;
(2)若 $(x + y-\frac{4}{5})^{2}+|xy + 1| = 0$,求 $A - 3B$ 的值.
答案:
解:
(1)因为$A=3x^{2}-x+2y-4xy,B=x^{2}-2x-y+xy-5,$所以$A-3B=3x^{2}-x+2y-4xy-3(x^{2}-2x-y+xy-5)=3x^{2}-x+2y-4xy-3x^{2}+6x+3y-3xy+15=5x+5y-7xy+15.(2)$因为$(x+y-\frac{4}{5})^{2}+$|xy+1|=0,所以$x+y-\frac{4}{5}=0,xy+1=0,$所以$x+y=\frac{4}{5},xy=-1,$所以$A-3B=5x+5y-7xy+15=5(x+y)-7xy+15=5×\frac{4}{5}-7×(-1)+15=4+7+15=26.$
(1)因为$A=3x^{2}-x+2y-4xy,B=x^{2}-2x-y+xy-5,$所以$A-3B=3x^{2}-x+2y-4xy-3(x^{2}-2x-y+xy-5)=3x^{2}-x+2y-4xy-3x^{2}+6x+3y-3xy+15=5x+5y-7xy+15.(2)$因为$(x+y-\frac{4}{5})^{2}+$|xy+1|=0,所以$x+y-\frac{4}{5}=0,xy+1=0,$所以$x+y=\frac{4}{5},xy=-1,$所以$A-3B=5x+5y-7xy+15=5(x+y)-7xy+15=5×\frac{4}{5}-7×(-1)+15=4+7+15=26.$
查看更多完整答案,请扫码查看