第84页
- 第1页
- 第2页
- 第3页
- 第4页
- 第5页
- 第6页
- 第7页
- 第8页
- 第9页
- 第10页
- 第11页
- 第12页
- 第13页
- 第14页
- 第15页
- 第16页
- 第17页
- 第18页
- 第19页
- 第20页
- 第21页
- 第22页
- 第23页
- 第24页
- 第25页
- 第26页
- 第27页
- 第28页
- 第29页
- 第30页
- 第31页
- 第32页
- 第33页
- 第34页
- 第35页
- 第36页
- 第37页
- 第38页
- 第39页
- 第40页
- 第41页
- 第42页
- 第43页
- 第44页
- 第45页
- 第46页
- 第47页
- 第48页
- 第49页
- 第50页
- 第51页
- 第52页
- 第53页
- 第54页
- 第55页
- 第56页
- 第57页
- 第58页
- 第59页
- 第60页
- 第61页
- 第62页
- 第63页
- 第64页
- 第65页
- 第66页
- 第67页
- 第68页
- 第69页
- 第70页
- 第71页
- 第72页
- 第73页
- 第74页
- 第75页
- 第76页
- 第77页
- 第78页
- 第79页
- 第80页
- 第81页
- 第82页
- 第83页
- 第84页
- 第85页
- 第86页
- 第87页
- 第88页
- 第89页
- 第90页
- 第91页
- 第92页
- 第93页
- 第94页
- 第95页
- 第96页
- 第97页
- 第98页
- 第99页
- 第100页
- 第101页
- 第102页
- 第103页
- 第104页
- 第105页
- 第106页
- 第107页
- 第108页
- 第109页
- 第110页
- 第111页
- 第112页
- 第113页
- 第114页
- 第115页
- 第116页
- 第117页
7. 如果$\sqrt{3 + a}+(5 - b)^{2}=0$,那么点$A(a,b)$关于原点对称的点$A'$的坐标为(
A.$(3,5)$
B.$(3,-5)$
C.$(-3,5)$
D.$(5,-3)$
B
)A.$(3,5)$
B.$(3,-5)$
C.$(-3,5)$
D.$(5,-3)$
答案:
7.B
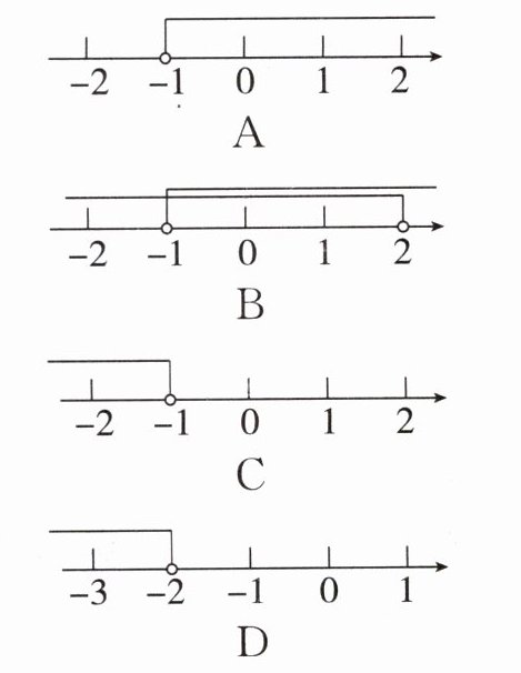
8. 已知点$P(a + 1,-\frac{a}{2}+1)$关于原点的对称点在第四象限,则$a$的取值范围在数轴上表示正确的是(

A.
B.
C.
D.
C
)A.
B.
C.
D.
答案:
8.C
9. 在平面直角坐标系中,点$M$坐标为$(3,-4)$,若点$M$关于原点对称的点记作$M'$,则点$M$与$M'$之间的距离为
10
.
答案:
9.10
10. 若将等腰直角三角形$AOB$按如图 23.2.3 - 7 所示的方式放置,$OB = 2$,则点$A$关于原点对称的点的坐标为

(-1,-1)
.
答案:
10.(-1,-1)
11. 如图 23.2.3 - 8 所示,$AB// CD// x$轴,且$AB = CD = 3$,$A$点坐标为$(-1,1)$,若$C(1,-1)$,
(1) 写出点$B$,$D$的坐标;
(2) 你发现点$A$,$B$,$C$,$D$ 的坐标之间有何特征?

(1) 写出点$B$,$D$的坐标;
(2) 你发现点$A$,$B$,$C$,$D$ 的坐标之间有何特征?
答案:
11.
(1)B(2,1),D(-2,-1).
(2)因为A(-1,1),C(1,-1)的横、纵坐标分别互为相反数,所以两点关于原点对称.同理,点B,D关于原点对称.
(1)B(2,1),D(-2,-1).
(2)因为A(-1,1),C(1,-1)的横、纵坐标分别互为相反数,所以两点关于原点对称.同理,点B,D关于原点对称.
12. 如图 23.2.3 - 9,已知点$A(2,3)$和直线$y = x$.
(1) 点$A$关于直线$y = x$的对称点为点$B$,点$A$关于原点的对称点为点$C$,写出点$B$,$C$的坐标;
(2) 若点$D$是点$B$关于原点的对称点,判断四边形$ABCD$的形状,并说明理由.

(1) 点$A$关于直线$y = x$的对称点为点$B$,点$A$关于原点的对称点为点$C$,写出点$B$,$C$的坐标;
(2) 若点$D$是点$B$关于原点的对称点,判断四边形$ABCD$的形状,并说明理由.
答案:
12.
(1)如答图23.2.3−6,因为A(2,3),所以点A关于直线y=x的对称点B的坐标为(3,2),点A关于原点的对称点C的坐标为(-2,-3).
(2)四边形ABCD是矩形.理由如下:
如答图23.2.3−6,因为B(3,2),所以点B关于原点的对称点D的坐标为(-3,-2).
连接BD,AC,因为点B与点D关于O对称,所以BO=DO.
因为点A与点C关于O对称,所以AO=CO.
所以四边形ABCD是平行四边形.
因为点A关于直线y=x的对称点为点B,所以线段AB垂直于直线y=x.设AB与直线y=x交于点E,则易证△AOE≌△BOE,所以AO=BO,所以AC=BD,所以四边形ABCD是矩形.
12.
(1)如答图23.2.3−6,因为A(2,3),所以点A关于直线y=x的对称点B的坐标为(3,2),点A关于原点的对称点C的坐标为(-2,-3).
(2)四边形ABCD是矩形.理由如下:
如答图23.2.3−6,因为B(3,2),所以点B关于原点的对称点D的坐标为(-3,-2).
连接BD,AC,因为点B与点D关于O对称,所以BO=DO.
因为点A与点C关于O对称,所以AO=CO.
所以四边形ABCD是平行四边形.
因为点A关于直线y=x的对称点为点B,所以线段AB垂直于直线y=x.设AB与直线y=x交于点E,则易证△AOE≌△BOE,所以AO=BO,所以AC=BD,所以四边形ABCD是矩形.
查看更多完整答案,请扫码查看