第47页
- 第1页
- 第2页
- 第3页
- 第4页
- 第5页
- 第6页
- 第7页
- 第8页
- 第9页
- 第10页
- 第11页
- 第12页
- 第13页
- 第14页
- 第15页
- 第16页
- 第17页
- 第18页
- 第19页
- 第20页
- 第21页
- 第22页
- 第23页
- 第24页
- 第25页
- 第26页
- 第27页
- 第28页
- 第29页
- 第30页
- 第31页
- 第32页
- 第33页
- 第34页
- 第35页
- 第36页
- 第37页
- 第38页
- 第39页
- 第40页
- 第41页
- 第42页
- 第43页
- 第44页
- 第45页
- 第46页
- 第47页
- 第48页
- 第49页
- 第50页
- 第51页
- 第52页
- 第53页
- 第54页
- 第55页
- 第56页
- 第57页
- 第58页
- 第59页
- 第60页
- 第61页
- 第62页
- 第63页
- 第64页
- 第65页
- 第66页
- 第67页
- 第68页
- 第69页
- 第70页
- 第71页
- 第72页
- 第73页
- 第74页
- 第75页
- 第76页
- 第77页
- 第78页
- 第79页
- 第80页
- 第81页
- 第82页
- 第83页
- 第84页
- 第85页
- 第86页
- 第87页
- 第88页
- 第89页
- 第90页
- 第91页
- 第92页
- 第93页
- 第94页
- 第95页
- 第96页
- 第97页
- 第98页
- 第99页
- 第100页
- 第101页
- 第102页
- 第103页
- 第104页
- 第105页
- 第106页
- 第107页
- 第108页
- 第109页
- 第110页
- 第111页
- 第112页
- 第113页
- 第114页
- 第115页
- 第116页
- 第117页
1.(2024 广东,8,3 分)若点(0,y₁),(1,y₂),(2,y₃)都在二次函数 y = x²的图象上,则 ( )
A.y₃>y₂>y₁
B.y₂>y₁>y₃
C.y₁>y₃>y₂
D.y₃>y₁>y₂
A.y₃>y₂>y₁
B.y₂>y₁>y₃
C.y₁>y₃>y₂
D.y₃>y₁>y₂
答案:
A
2.(2022 广州,6,3 分)如图,抛物线 y = ax²+bx+c(a≠0)的对称轴为直线 x = -2,下列结论正确的是 ( )

A.a<0
B.c>0
C.当 x<-2 时,y 随 x 的增大而减小
D.当 x>-2 时,y 随 x 的增大而减小
A.a<0
B.c>0
C.当 x<-2 时,y 随 x 的增大而减小
D.当 x>-2 时,y 随 x 的增大而减小
答案:
C
∵二次函数的图象开口向上,
∴a>0,故A选项错误;
∵二次函数的图象与y轴的交点在y轴的负半轴上,
∴c<0,故B选项错误;抛物线的对称轴为直线x=-2,由图象可得当x<-2时,y随x的增大而减小,当x>-2时,y随x的增大而增大,故C选项正确,D选项错误.
∵二次函数的图象开口向上,
∴a>0,故A选项错误;
∵二次函数的图象与y轴的交点在y轴的负半轴上,
∴c<0,故B选项错误;抛物线的对称轴为直线x=-2,由图象可得当x<-2时,y随x的增大而减小,当x>-2时,y随x的增大而增大,故C选项正确,D选项错误.
3.(2024 广州,8,3 分)函数 y₁ = ax²+bx+c 与 y₂ = $\frac{k}{x}$的图象如图所示,当______时,y₁,y₂均随着 x 的增大而减小 ( )

A.x<-1
B.-1<x<0
C.0<x<2
D.x>1
A.x<-1
B.-1<x<0
C.0<x<2
D.x>1
答案:
D
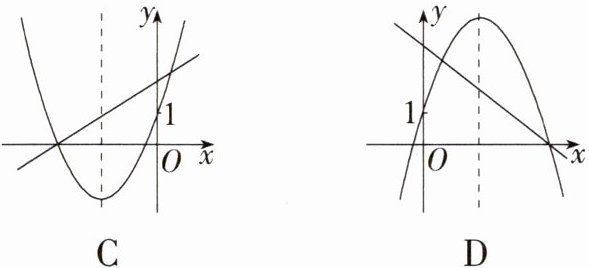
4.(2021 深圳,9,3 分)二次函数 y = ax²+bx+1 与一次函数 y = 2ax+b 在同一平面直角坐标系中的图象可能是 ( )


答案:
A
∵二次函数y=ax²+bx+1图象的对称轴为直线x=-$\frac{b}{2a}$,一次函数y=2ax+b的图象与x轴的交点坐标为(-$\frac{b}{2a}$,0),
∴一次函数y=2ax+b的图象经过二次函数y=ax²+bx+1图象的对称轴与x轴的交点.
∵二次函数y=ax²+bx+1图象的对称轴为直线x=-$\frac{b}{2a}$,一次函数y=2ax+b的图象与x轴的交点坐标为(-$\frac{b}{2a}$,0),
∴一次函数y=2ax+b的图象经过二次函数y=ax²+bx+1图象的对称轴与x轴的交点.
5.(2023 广东,10,3 分)如图,抛物线 y = ax²+c 经过正方形 OABC 的三个顶点 A,B,C,点 B 在 y 轴上,则 ac 的值为 ( )

A.-1
B.-2
C.-3
D.-4
A.-1
B.-2
C.-3
D.-4
答案:
B 过点A作AH⊥x轴于H,
∵四边形ABCO为正方形,
∴∠AOB=$\frac{1}{2}$×90°=45°,
∴∠AOH=∠BOH-∠AOB=90°-45°=45°,易得AH=OH.设点A(m,m),则点B(0,2m),
∴m=am²+c,c=2m,解得am=-1,m=$\frac{c}{2}$,
∴a·$\frac{c}{2}$=-1,
∴ac=-2.
B 过点A作AH⊥x轴于H,
∵四边形ABCO为正方形,
∴∠AOB=$\frac{1}{2}$×90°=45°,
∴∠AOH=∠BOH-∠AOB=90°-45°=45°,易得AH=OH.设点A(m,m),则点B(0,2m),
∴m=am²+c,c=2m,解得am=-1,m=$\frac{c}{2}$,
∴a·$\frac{c}{2}$=-1,
∴ac=-2.
6.(2020 深圳,11,3 分)二次函数 y = ax²+bx+c(a≠0)的图象的顶点坐标为(-1,n),部分图象如图所示.以下结论错误的是 ( )

A.abc>0
B.4ac-b²<0
C.3a+c>0
D.关于 x 的方程 ax²+bx+c = n+1 无实数根
A.abc>0
B.4ac-b²<0
C.3a+c>0
D.关于 x 的方程 ax²+bx+c = n+1 无实数根
答案:
6.C 因为图象开口向下,所以a<0.因为图象的对称轴为直线x=-$\frac{b}{2a}$=-1<0,所以b=2a<0.因为二次函数图象与y轴的交点在y轴的正半轴上,所以c>0,所以abc>0,故A中结论正确.因为函数图象与x轴有两个交点,所以一元二次方程ax²+bx+c=0有两个不相等的实数根,所以b²-4ac>0,即4ac-b²<0,故B中结论正确.由题图可知,当x=-3时,y<0.根据二次函数图象的对称性可知,当x=1时,y<0,即a+b+c<0,所以a+b+c=a+2a+c=3a+c<0,故C中结论错误.因为二次函数y=ax²+bx+c的图象的顶点坐标是(-1,n),所以把二次函数的图象向下平移(n+1)个单位长度后,二次函数的图象与x轴无公共点,所以关于x的方程ax²+bx+c-(n+1)=0无实数根,即关于x的方程ax²+bx+c=n+1无实数根,故D中结论正确.
7.(2021 广东,12,4 分)把抛物线 y = 2x²+1 向左平移 1 个单位长度,再向下平移 3 个单位长度,得到的抛物线的解析式为__________.
答案:
答案 y=2x²+4x
解析 把抛物线y=2x²+1向左平移1个单位长度,再向下平移3个单位长度,得到的抛物线的解析式为y=2(x+1)²+1-3=2(x²+2x+1)-2=2x²+4x.
解析 把抛物线y=2x²+1向左平移1个单位长度,再向下平移3个单位长度,得到的抛物线的解析式为y=2(x+1)²+1-3=2(x²+2x+1)-2=2x²+4x.
查看更多完整答案,请扫码查看